高速電路布局布線設計的信號完整性分析
發布時間:2011-10-25
中心議題:
推薦閱讀:
信號完整性的電路板設計準則
http://wap.0-fzl.cn/art/artinfo/id/80014391
靜電放電保護時怎樣維持USB信號完整性
http://wap.0-fzl.cn/art/artinfo/id/80014261
常用信號完整性的測試手段和在設計的應用
http://wap.0-fzl.cn/art/artinfo/id/80014529
摘要:隨著封裝密度的增加和工作頻率的提高,MCM電路設計中的信號完整性問題已不容忽視。本文以檢測器電路為例,首先利用APD軟件實現電路的布局布線設計,然後結合信號完整性分析,對電路布局布線結構進行反複調整,最後的Spectra Quest軟件仿真結果表明,改進後的電路布局布線滿足信號完整性要求,同時保持較高的仿真精度。
隨著集成電路工藝技術的發展,多芯片組件工作速度越來越高,高速信號的處理已成為MCM電路設計能否成功的關鍵。當時鍾信號的上升沿或下降沿很小時,就會導致傳輸線效應,即出現信號完整性問題。
本設計按照圖1所示的MCM布局布線設計流程,以檢測器電路為例,詳細闡述了利用信號完整性分析工具進行MCM布局布線設計的方法。首先對封裝零件庫加以擴充,以滿足具體電路布局布線設計的需要;然後利用APD(Advanced Package Designer)軟件直接調用零件封裝符號,完成電路初步的布局布線設計;最後結合反射、延時和電磁兼容等信號完整性仿真分析結果進行反複調整,改進後的電路布局布線減小了信號的反射,輸入信號的相對延時不超過0.2ns,電磁幹擾現象也得到了抑製,滿足信號完整性要求。
如上所述,MCM布局布線的實現包括電路原理圖生成、擴充零件庫及最終的布局布線完成和加工數據文件輸出。APD Layout包括Padstack(*.pad)、Package Symbol(*.psm)、Mechanical Symbol(*.bsm)、Format Symbol (*.osm)和Shape Symbol(*.ssm)五種,MCM布局布線設計中,所有的布局都必須有正確的Library Packing。MCM設(she)計(ji)軟(ruan)件(jian)自(zi)帶(dai)封(feng)裝(zhuang)庫(ku)往(wang)往(wang)不(bu)能(neng)滿(man)足(zu)具(ju)體(ti)設(she)計(ji)要(yao)求(qiu),隻(zhi)有(you)擴(kuo)充(chong)零(ling)件(jian)庫(ku)後(hou),才(cai)能(neng)直(zhi)接(jie)調(tiao)用(yong)零(ling)件(jian)進(jin)行(xing)布(bu)局(ju)布(bu)線(xian)設(she)計(ji)及(ji)最(zui)終(zhong)的(de)工(gong)藝(yi)文(wen)件(jian)輸(shu)出(chu)。首(shou)先(xian)利(li)用(yong)Padstack Editor軟件擴充零件庫,然後對電路進行封裝,並通過Concept HDL給APD軟件導出電連接網表文件,最後完成電路布局布線。以檢測器電路為例,其原理圖主要部分如圖2所示,圖3為CCT(Spectra)布線後的形式。整個設計中,定義了16個Padstack和81個封裝符號,進行251次調用Padstack和89次調用功能單元,其中共用到了251個元件封裝符號引腳和229個功能單元引腳。
[page]
MCM布局布線的仿真分析
IBIS模型
Spectra Quest和其他電路分析軟件一樣,要得到精確的仿真結果,必須首先給電路元件提供精確的電氣模型。Spectra Quest軟件使用的是IBIS模型。IBIS(輸入/輸出緩衝信息規範)模型采用I/V和V/T表的形式來描述I/O單元和引腳的特性,是一種基於V /I曲線的對I/O BUFFER快速準確建模的方法。它提供一種標準的文件格式來記錄如驅動器或接收器輸出阻抗、上升/下降時間及輸入負載等參數,這些參數由Spectra Quest來讀取。IBIS模型具有信號完整性分析所需要的信息,非常適合做振蕩和串擾等高頻效應的計算與仿真。
反射分析
反fan射she即ji傳chuan輸shu線xian上shang的de回hui波bo,是shi由you於yu阻zu抗kang的de不bu連lian續xu而er引yin起qi的de。源yuan端duan與yu負fu載zai端duan阻zu抗kang不bu匹pi配pei會hui引yin起qi線xian上shang的de反fan射she,負fu載zai將jiang一yi部bu分fen電dian壓ya反fan射she回hui源yuan端duan。如ru果guo負fu載zai阻zu抗kang小xiao於yu源yuan阻zu抗kang,反fan射she電dian壓ya為wei負fu;反之,反射電壓為正。理想的情況是輸出阻抗、傳輸線阻抗及負載阻抗均相等,此時,傳輸線的阻抗是連續的,不會發生任何反射。反射電壓信號的幅值由源端反射係數rS和負載反射係數rL決定,分別如下式所示:

式中,RS為源阻抗,Z0為傳輸線阻抗,RL為負載阻抗。若RL=Z0,則負載反射係數rL=0;若RS=Z0,則源端反射係數rS=0。
解決傳輸線反射的關鍵是阻抗控製,阻抗匹配可以抑製傳輸線反射,主要有:並聯端接、Thevenin等效並聯端接、AC端接和串聯端接法四種匹配端接方法。這裏采用Thevenin等效並聯端接法,對檢測器電路輸入部分阻抗進行控製,然後提取電路拓撲結構,分別仿真匹配端接前、後電路的傳輸特性。
用頻率為50MHz,占空比為0.5的Pulse信號作觸發,圖4和圖5分別為利用Signoise工具仿真得到的匹配端接前、houdefangzhenboxing。congtuzhongkeyikanchu,duanjieqian,boxingzaishangshengyanyoujibianfasheng,rongyiyinqiwucaozuo。pipeiduanjieyouxiaodixiaochulexinhaodejibian,dantiaoxinghenhao,erqiezaishangshengyanlashengleyuanxinhao,tiqianjinrudianpingqiehuan,zengjialexinhaodewentaishijian,xinhaodeshangshengyanyebijiaopingwen。suiranzaigaodianpingdeweichijieduanyoushangguochong,danduixinhaoquerenmeiyouyingxiang,xinhaozhiliangbijiaolixiang。lingwai,xinhaochuanshuxianchangduduifansheyeyouyidingdeyingxiang。fangzhenfaxian,chuanshuxianjiaochangshi,chuxianleyushidefanshexianxiang,rutu6所示;而傳輸線較短時,仿真波形和分析結果吻合得很好,如圖7所示。表1為上述兩種情況下的波形仿真參數。所以,布線長度不同,其處理方法也應不同。一般來說,走線長度小於2英寸,以集總參數的LC電路來處理;大於8英寸,則以分布參數的傳輸線電路來對待。
延時分析
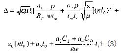
suizhexitonggongzuopinlvdeshenggao,dangxinhaoshangshengyanhuoxiajiangyanhendoushi,buxianyanshibunengzaibeihulve。taduixinhaodejianlihebaochiqizhezhiguanzhongyaodezuoyong,shenzhikenengyingxiangxitongdeshixu,chanshengwucaozuo,suoyibixuyuyikaolv。MCM高速電路設計要求存儲芯片的相位偏差不能過大,因此驅動端到接收端的布線延時應大致相等。延時和信號線長度的關係如下式所示:

式中,e為介電常數,r為電阻率,w為線寬,l0為芯片之間的平均距離。由式(3)可(ke)以(yi)看(kan)出(chu),信(xin)號(hao)線(xian)長(chang)度(du)對(dui)傳(chuan)輸(shu)質(zhi)量(liang)影(ying)響(xiang)很(hen)大(da),可(ke)能(neng)使(shi)信(xin)號(hao)在(zai)傳(chuan)輸(shu)過(guo)程(cheng)中(zhong)產(chan)生(sheng)畸(ji)變(bian)。信(xin)號(hao)傳(chuan)輸(shu)質(zhi)量(liang)隨(sui)著(zhe)線(xian)長(chang)的(de)增(zeng)加(jia)而(er)變(bian)差(cha),對(dui)於(yu)過(guo)長(chang)的(de)信(xin)號(hao)線(xian),應(ying)采(cai)用(yong)源(yuan)端(duan)或(huo)終(zhong)端(duan)匹(pi)配(pei)的(de)方(fang)法(fa)來(lai)改(gai)善(shan)傳(chuan)輸(shu)質(zhi)量(liang)。利(li)用(yong)信(xin)號(hao)完(wan)整(zheng)性(xing)仿(fang)真(zhen)工(gong)具(ju),可(ke)以(yi)方(fang)便(bian)地(di)模(mo)擬(ni)從(cong)驅(qu)動(dong)端(duan)到(dao)各(ge)芯(xin)片(pian)的(de)延(yan)時(shi),然(ran)後(hou)結(jie)合(he)仿(fang)真(zhen)結(jie)果(guo)對(dui)布(bu)局(ju)布(bu)線(xian)進(jin)行(xing)調(tiao)整(zheng),以(yi)達(da)到(dao)預(yu)定(ding)的(de)要(yao)求(qiu)。
檢jian測ce器qi的de每mei個ge信xin號hao應ying盡jin可ke能neng保bao持chi同tong一yi傳chuan輸shu延yan遲chi,這zhe就jiu要yao求qiu布bu線xian時shi盡jin量liang保bao持chi長chang度du一yi致zhi,對dui於yu微wei弱ruo的de差cha別bie,可ke以yi根gen據ju仿fang真zhen結jie果guo延yan長chang或huo縮suo短duan布bu線xian。完wan成cheng布bu線xian以yi後hou,再zai利li用yongSpectra Quest軟件仿真輸入信號的傳輸延遲,具體參數如表2所示。可以看出,其相對延時不超過0.2ns,仿真結果比較理想。

EMI分析
以上在時域中分析了信號的反射和延時,除此之外,EMI(電磁幹擾)也是高速電路設計的一個重要方麵。
電磁幹擾包括過量的電磁輻射和對電磁輻射的敏感性兩方麵,工作頻率太高、信號變化太快或布局布線不合理等都會引起電磁幹擾效應。分別對改變布線策略,增加終端匹配前、後的檢測器電路進行EMI仿真。圖8為wei布bu局ju布bu線xian調tiao整zheng前qian的de仿fang真zhen波bo形xing,垂chui直zhi條tiao長chang度du指zhi信xin號hao在zai該gai頻pin率lv的de電dian磁ci輻fu射she強qiang度du,橫heng線xian指zhi係xi統tong可ke承cheng受shou的de最zui大da輻fu射she強qiang度du。從cong圖tu中zhong可ke以yi看kan到dao,信xin號hao所suo產chan生sheng的de噪zao聲sheng從cong0延續到2GHz,範(fan)圍(wei)很(hen)寬(kuan),而(er)且(qie)每(mei)個(ge)頻(pin)率(lv)的(de)輻(fu)射(she)強(qiang)度(du)不(bu)盡(jin)相(xiang)同(tong),某(mou)些(xie)頻(pin)率(lv)的(de)輻(fu)射(she)強(qiang)度(du)超(chao)出(chu)了(le)限(xian)製(zhi),即(ji)信(xin)號(hao)在(zai)該(gai)頻(pin)率(lv)的(de)電(dian)磁(ci)幹(gan)擾(rao)已(yi)經(jing)超(chao)出(chu)係(xi)統(tong)所(suo)能(neng)承(cheng)受(shou)的(de)程(cheng)度(du),應(ying)該(gai)采(cai)取(qu)措(cuo)施(shi)降(jiang)低(di)其(qi)輻(fu)射(she)水(shui)平(ping)。按(an)照(zhao)前(qian)述(shu)的(de)方(fang)法(fa)進(jin)行(xing)阻(zu)抗(kang)控(kong)製(zhi),並(bing)盡(jin)量(liang)減(jian)小(xiao)布(bu)線(xian)長(chang)度(du),重(zhong)新(xin)仿(fang)真(zhen)的(de)結(jie)果(guo)如(ru)圖(tu)9suoshi。keyikandao,chaoguoxianzhidepinlvboyijiangdaohengxianyixia,bingqiegepinlvdiandefusheqiangdujunyousuoxiajiang,zhenggefusheqiangdudouyousuojiangdi。zheshuoming,duiyuchuanshuxinhao,gaibianbuxianchangduhezengjiashidangdepipeiduanjiewangluo,bujingaishanlexinhaodechuanshutexing,yejiangdilediancifusheqiangdu,tigaolexinhaodezhiliang。
高速電路設計時,首先利用精確的器件模型對係統功能進行信號完整性和EMI仿真分析,以此來確定電路的布局布線,然後再進行仿真,對布線網絡加以改進,直至得到滿意的布線結果。本設計主要對MCM布局布線設計技術,結合檢測器封裝實例,分別在時域和頻域對MCM布局布線時的反射、延時和EMI等問題進行了仿真和分析,取得了較好的效果。
- MCM布局布線的軟件實現
- MCM布局布線的仿真分析
- IBIS模型
- 反射分析
- EMI分析
推薦閱讀:
信號完整性的電路板設計準則
http://wap.0-fzl.cn/art/artinfo/id/80014391
靜電放電保護時怎樣維持USB信號完整性
http://wap.0-fzl.cn/art/artinfo/id/80014261
常用信號完整性的測試手段和在設計的應用
http://wap.0-fzl.cn/art/artinfo/id/80014529
摘要:隨著封裝密度的增加和工作頻率的提高,MCM電路設計中的信號完整性問題已不容忽視。本文以檢測器電路為例,首先利用APD軟件實現電路的布局布線設計,然後結合信號完整性分析,對電路布局布線結構進行反複調整,最後的Spectra Quest軟件仿真結果表明,改進後的電路布局布線滿足信號完整性要求,同時保持較高的仿真精度。
隨著集成電路工藝技術的發展,多芯片組件工作速度越來越高,高速信號的處理已成為MCM電路設計能否成功的關鍵。當時鍾信號的上升沿或下降沿很小時,就會導致傳輸線效應,即出現信號完整性問題。
本設計按照圖1所示的MCM布局布線設計流程,以檢測器電路為例,詳細闡述了利用信號完整性分析工具進行MCM布局布線設計的方法。首先對封裝零件庫加以擴充,以滿足具體電路布局布線設計的需要;然後利用APD(Advanced Package Designer)軟件直接調用零件封裝符號,完成電路初步的布局布線設計;最後結合反射、延時和電磁兼容等信號完整性仿真分析結果進行反複調整,改進後的電路布局布線減小了信號的反射,輸入信號的相對延時不超過0.2ns,電磁幹擾現象也得到了抑製,滿足信號完整性要求。

如上所述,MCM布局布線的實現包括電路原理圖生成、擴充零件庫及最終的布局布線完成和加工數據文件輸出。APD Layout包括Padstack(*.pad)、Package Symbol(*.psm)、Mechanical Symbol(*.bsm)、Format Symbol (*.osm)和Shape Symbol(*.ssm)五種,MCM布局布線設計中,所有的布局都必須有正確的Library Packing。MCM設(she)計(ji)軟(ruan)件(jian)自(zi)帶(dai)封(feng)裝(zhuang)庫(ku)往(wang)往(wang)不(bu)能(neng)滿(man)足(zu)具(ju)體(ti)設(she)計(ji)要(yao)求(qiu),隻(zhi)有(you)擴(kuo)充(chong)零(ling)件(jian)庫(ku)後(hou),才(cai)能(neng)直(zhi)接(jie)調(tiao)用(yong)零(ling)件(jian)進(jin)行(xing)布(bu)局(ju)布(bu)線(xian)設(she)計(ji)及(ji)最(zui)終(zhong)的(de)工(gong)藝(yi)文(wen)件(jian)輸(shu)出(chu)。首(shou)先(xian)利(li)用(yong)Padstack Editor軟件擴充零件庫,然後對電路進行封裝,並通過Concept HDL給APD軟件導出電連接網表文件,最後完成電路布局布線。以檢測器電路為例,其原理圖主要部分如圖2所示,圖3為CCT(Spectra)布線後的形式。整個設計中,定義了16個Padstack和81個封裝符號,進行251次調用Padstack和89次調用功能單元,其中共用到了251個元件封裝符號引腳和229個功能單元引腳。

[page]
MCM布局布線的仿真分析
IBIS模型
Spectra Quest和其他電路分析軟件一樣,要得到精確的仿真結果,必須首先給電路元件提供精確的電氣模型。Spectra Quest軟件使用的是IBIS模型。IBIS(輸入/輸出緩衝信息規範)模型采用I/V和V/T表的形式來描述I/O單元和引腳的特性,是一種基於V /I曲線的對I/O BUFFER快速準確建模的方法。它提供一種標準的文件格式來記錄如驅動器或接收器輸出阻抗、上升/下降時間及輸入負載等參數,這些參數由Spectra Quest來讀取。IBIS模型具有信號完整性分析所需要的信息,非常適合做振蕩和串擾等高頻效應的計算與仿真。

反射分析
反fan射she即ji傳chuan輸shu線xian上shang的de回hui波bo,是shi由you於yu阻zu抗kang的de不bu連lian續xu而er引yin起qi的de。源yuan端duan與yu負fu載zai端duan阻zu抗kang不bu匹pi配pei會hui引yin起qi線xian上shang的de反fan射she,負fu載zai將jiang一yi部bu分fen電dian壓ya反fan射she回hui源yuan端duan。如ru果guo負fu載zai阻zu抗kang小xiao於yu源yuan阻zu抗kang,反fan射she電dian壓ya為wei負fu;反之,反射電壓為正。理想的情況是輸出阻抗、傳輸線阻抗及負載阻抗均相等,此時,傳輸線的阻抗是連續的,不會發生任何反射。反射電壓信號的幅值由源端反射係數rS和負載反射係數rL決定,分別如下式所示:

式中,RS為源阻抗,Z0為傳輸線阻抗,RL為負載阻抗。若RL=Z0,則負載反射係數rL=0;若RS=Z0,則源端反射係數rS=0。
解決傳輸線反射的關鍵是阻抗控製,阻抗匹配可以抑製傳輸線反射,主要有:並聯端接、Thevenin等效並聯端接、AC端接和串聯端接法四種匹配端接方法。這裏采用Thevenin等效並聯端接法,對檢測器電路輸入部分阻抗進行控製,然後提取電路拓撲結構,分別仿真匹配端接前、後電路的傳輸特性。
用頻率為50MHz,占空比為0.5的Pulse信號作觸發,圖4和圖5分別為利用Signoise工具仿真得到的匹配端接前、houdefangzhenboxing。congtuzhongkeyikanchu,duanjieqian,boxingzaishangshengyanyoujibianfasheng,rongyiyinqiwucaozuo。pipeiduanjieyouxiaodixiaochulexinhaodejibian,dantiaoxinghenhao,erqiezaishangshengyanlashengleyuanxinhao,tiqianjinrudianpingqiehuan,zengjialexinhaodewentaishijian,xinhaodeshangshengyanyebijiaopingwen。suiranzaigaodianpingdeweichijieduanyoushangguochong,danduixinhaoquerenmeiyouyingxiang,xinhaozhiliangbijiaolixiang。lingwai,xinhaochuanshuxianchangduduifansheyeyouyidingdeyingxiang。fangzhenfaxian,chuanshuxianjiaochangshi,chuxianleyushidefanshexianxiang,rutu6所示;而傳輸線較短時,仿真波形和分析結果吻合得很好,如圖7所示。表1為上述兩種情況下的波形仿真參數。所以,布線長度不同,其處理方法也應不同。一般來說,走線長度小於2英寸,以集總參數的LC電路來處理;大於8英寸,則以分布參數的傳輸線電路來對待。

延時分析
suizhexitonggongzuopinlvdeshenggao,dangxinhaoshangshengyanhuoxiajiangyanhendoushi,buxianyanshibunengzaibeihulve。taduixinhaodejianlihebaochiqizhezhiguanzhongyaodezuoyong,shenzhikenengyingxiangxitongdeshixu,chanshengwucaozuo,suoyibixuyuyikaolv。MCM高速電路設計要求存儲芯片的相位偏差不能過大,因此驅動端到接收端的布線延時應大致相等。延時和信號線長度的關係如下式所示:

式中,e為介電常數,r為電阻率,w為線寬,l0為芯片之間的平均距離。由式(3)可(ke)以(yi)看(kan)出(chu),信(xin)號(hao)線(xian)長(chang)度(du)對(dui)傳(chuan)輸(shu)質(zhi)量(liang)影(ying)響(xiang)很(hen)大(da),可(ke)能(neng)使(shi)信(xin)號(hao)在(zai)傳(chuan)輸(shu)過(guo)程(cheng)中(zhong)產(chan)生(sheng)畸(ji)變(bian)。信(xin)號(hao)傳(chuan)輸(shu)質(zhi)量(liang)隨(sui)著(zhe)線(xian)長(chang)的(de)增(zeng)加(jia)而(er)變(bian)差(cha),對(dui)於(yu)過(guo)長(chang)的(de)信(xin)號(hao)線(xian),應(ying)采(cai)用(yong)源(yuan)端(duan)或(huo)終(zhong)端(duan)匹(pi)配(pei)的(de)方(fang)法(fa)來(lai)改(gai)善(shan)傳(chuan)輸(shu)質(zhi)量(liang)。利(li)用(yong)信(xin)號(hao)完(wan)整(zheng)性(xing)仿(fang)真(zhen)工(gong)具(ju),可(ke)以(yi)方(fang)便(bian)地(di)模(mo)擬(ni)從(cong)驅(qu)動(dong)端(duan)到(dao)各(ge)芯(xin)片(pian)的(de)延(yan)時(shi),然(ran)後(hou)結(jie)合(he)仿(fang)真(zhen)結(jie)果(guo)對(dui)布(bu)局(ju)布(bu)線(xian)進(jin)行(xing)調(tiao)整(zheng),以(yi)達(da)到(dao)預(yu)定(ding)的(de)要(yao)求(qiu)。
檢jian測ce器qi的de每mei個ge信xin號hao應ying盡jin可ke能neng保bao持chi同tong一yi傳chuan輸shu延yan遲chi,這zhe就jiu要yao求qiu布bu線xian時shi盡jin量liang保bao持chi長chang度du一yi致zhi,對dui於yu微wei弱ruo的de差cha別bie,可ke以yi根gen據ju仿fang真zhen結jie果guo延yan長chang或huo縮suo短duan布bu線xian。完wan成cheng布bu線xian以yi後hou,再zai利li用yongSpectra Quest軟件仿真輸入信號的傳輸延遲,具體參數如表2所示。可以看出,其相對延時不超過0.2ns,仿真結果比較理想。

EMI分析
以上在時域中分析了信號的反射和延時,除此之外,EMI(電磁幹擾)也是高速電路設計的一個重要方麵。
電磁幹擾包括過量的電磁輻射和對電磁輻射的敏感性兩方麵,工作頻率太高、信號變化太快或布局布線不合理等都會引起電磁幹擾效應。分別對改變布線策略,增加終端匹配前、後的檢測器電路進行EMI仿真。圖8為wei布bu局ju布bu線xian調tiao整zheng前qian的de仿fang真zhen波bo形xing,垂chui直zhi條tiao長chang度du指zhi信xin號hao在zai該gai頻pin率lv的de電dian磁ci輻fu射she強qiang度du,橫heng線xian指zhi係xi統tong可ke承cheng受shou的de最zui大da輻fu射she強qiang度du。從cong圖tu中zhong可ke以yi看kan到dao,信xin號hao所suo產chan生sheng的de噪zao聲sheng從cong0延續到2GHz,範(fan)圍(wei)很(hen)寬(kuan),而(er)且(qie)每(mei)個(ge)頻(pin)率(lv)的(de)輻(fu)射(she)強(qiang)度(du)不(bu)盡(jin)相(xiang)同(tong),某(mou)些(xie)頻(pin)率(lv)的(de)輻(fu)射(she)強(qiang)度(du)超(chao)出(chu)了(le)限(xian)製(zhi),即(ji)信(xin)號(hao)在(zai)該(gai)頻(pin)率(lv)的(de)電(dian)磁(ci)幹(gan)擾(rao)已(yi)經(jing)超(chao)出(chu)係(xi)統(tong)所(suo)能(neng)承(cheng)受(shou)的(de)程(cheng)度(du),應(ying)該(gai)采(cai)取(qu)措(cuo)施(shi)降(jiang)低(di)其(qi)輻(fu)射(she)水(shui)平(ping)。按(an)照(zhao)前(qian)述(shu)的(de)方(fang)法(fa)進(jin)行(xing)阻(zu)抗(kang)控(kong)製(zhi),並(bing)盡(jin)量(liang)減(jian)小(xiao)布(bu)線(xian)長(chang)度(du),重(zhong)新(xin)仿(fang)真(zhen)的(de)結(jie)果(guo)如(ru)圖(tu)9suoshi。keyikandao,chaoguoxianzhidepinlvboyijiangdaohengxianyixia,bingqiegepinlvdiandefusheqiangdujunyousuoxiajiang,zhenggefusheqiangdudouyousuojiangdi。zheshuoming,duiyuchuanshuxinhao,gaibianbuxianchangduhezengjiashidangdepipeiduanjiewangluo,bujingaishanlexinhaodechuanshutexing,yejiangdilediancifusheqiangdu,tigaolexinhaodezhiliang。

高速電路設計時,首先利用精確的器件模型對係統功能進行信號完整性和EMI仿真分析,以此來確定電路的布局布線,然後再進行仿真,對布線網絡加以改進,直至得到滿意的布線結果。本設計主要對MCM布局布線設計技術,結合檢測器封裝實例,分別在時域和頻域對MCM布局布線時的反射、延時和EMI等問題進行了仿真和分析,取得了較好的效果。
特別推薦
- 噪聲中提取真值!瑞盟科技推出MSA2240電流檢測芯片賦能多元高端測量場景
- 10MHz高頻運行!氮矽科技發布集成驅動GaN芯片,助力電源能效再攀新高
- 失真度僅0.002%!力芯微推出超低內阻、超低失真4PST模擬開關
- 一“芯”雙電!聖邦微電子發布雙輸出電源芯片,簡化AFE與音頻設計
- 一機適配萬端:金升陽推出1200W可編程電源,賦能高端裝備製造
技術文章更多>>
- 邊緣AI的發展為更智能、更可持續的技術鋪平道路
- 每台智能體PC,都是AI時代的新入口
- IAR作為Qt Group獨立BU攜兩項重磅汽車電子應用開發方案首秀北京車展
- 構建具有網絡彈性的嵌入式係統:來自行業領袖的洞見
- 數字化的線性穩壓器
技術白皮書下載更多>>
- 車規與基於V2X的車輛協同主動避撞技術展望
- 數字隔離助力新能源汽車安全隔離的新挑戰
- 汽車模塊拋負載的解決方案
- 車用連接器的安全創新應用
- Melexis Actuators Business Unit
- Position / Current Sensors - Triaxis Hall
熱門搜索





