多通道數據采集係統的性能優化
發布時間:2018-05-02 來源:Joseph Leandro Peje 責任編輯:wenwei
【導讀】本文將說明多路複用器輸入端的建立瞬變(由多路複用器輸出端的大尺度開關瞬變引起)daozhixuyaojiaochangcaijishijian,shideduotongdaoshujucaijixitongdezhengtituntuliangxianzhujiangdi。ranhou,benwenjiangzhezhongchanshushishurujianlishijianzuixiaohuayijitigaoshujutuntulianghexitongxiaolvsuoxudeshejiquanheng。
在多通道多路複用數據采集係統中,增加每個ADC的通道數量可改善係統的整體成本、麵積和效率。現代逐次逼近寄存器模數轉換器(SAR ADC)具有高吞吐量和高能效,使得係統設計人員能夠實現比以往更高的通道密度。
什麼是多通道DAQ?如何衡量多通道DAQ的性能?
多通道數據采集(DAQ)係統是一個與多路輸入(通常是傳感器)接口的完整信號鏈子係統,其主要功能是將輸入端的模擬信號轉換為處理單元可以理解的數字數據。多通道DAQ係統的主要組成部分有模擬前端子係統(緩衝器、開關元件和信號調理模塊)、模數轉換器(ADC)及數字接口。對於高速精密轉換器,開關元件(通常是多路複用器)放置在ADC驅動器和轉換器本身之前,以利用現代ADC的先進性能。SAR ADC兼具高速度和高精度性能,是這些應用最常用的ADC類型。

圖1. 典型的基於SAR ADC的多路複用數據采集係統框圖
用於工業和醫療應用的高通道密度精密DAQ係統致力於將最多的通道壓縮到盡可能小的區域中。通過如下手段,多路複用DAQ係統一般可以實現高密度、高吞吐量和良好的能效:
1.使用高速精密SAR ADC
2.每個通道使用最低采樣速率
3.最大程度提高SAR ADC轉換器利用率,其中:
n為通道數。對每個轉換器而言,多通道數據采集係統的總吞吐量由下式給出:
這表明多通道DAQ係統的總吞吐量不僅取決於SAR ADC的速度和分辨率,還取決於此轉換器的利用情況。
延遲如何影響多通道DAQ係統的性能?
在有建立延遲的情況下,ADC的實際采樣和轉換周期會增加一項td,導致轉換器的實際最大采樣速率由下式給出:
其中TADC是ADC每個樣本的采樣周期(大多數ADC數據手冊通常都會提供,更常見的形式是SAR ADC采樣速率的倒數,以"秒/樣本"為單位)。對於非零延遲td,多通道DAQ係統的實際最大采樣速率總是小於轉換器采樣速率,導致轉換器利用率始終低於100%。由此可以明白,采樣和轉換周期上增加的任何延遲都會降低轉換器的利用率。當與前麵關於總吞吐量的表達式聯係起來時,多通道DAQ可以容納的最大通道數量就會減少。總之,任何建立延遲都會降低多通道DAQ係統的通道密度和/或總吞吐量。
什麼是多路複用器輸入切換毛刺和輸入建立時間?
dangduolufuyongqicongyilushuruqiehuandaolingyilushurushi,shuchurengranyouqianyishurutongdaodejiyi,qibiaoxianxingshiweiduolufuyongqideshuchufuzaidianronghejishengloujidianrongzhongcunchudedianhe。zheduiyugaorongxingfuzai(例如ADC驅動器和ADC本身)更(geng)為(wei)明(ming)顯(xian),因(yin)為(wei)這(zhe)些(xie)存(cun)儲(chu)的(de)電(dian)荷(he)沒(mei)有(you)低(di)阻(zu)抗(kang)路(lu)徑(jing)可(ke)以(yi)走(zou)。甚(shen)至(zhi)可(ke)以(yi)說(shuo)這(zhe)些(xie)電(dian)荷(he)被(bei)困(kun)住(zhu)了(le),原(yuan)因(yin)是(shi)輸(shu)出(chu)為(wei)容(rong)性(xing),並(bing)且(qie)現(xian)代(dai)多(duo)路(lu)複(fu)用(yong)器(qi)采(cai)用(yong)先(xian)開(kai)後(hou)合(he)(BBM)機製,故多路複用器具有高阻抗。隻有切換到下一路輸入,這些電荷才能被釋放電。

圖2. 切換前狀態(左),切換後,發生電荷共享,迅速引起電壓下降ΔV(右)
切換後,輸入電容CA將並聯到輸出電容COUT。然而,CA和COUT最初可能處於不同的電位,這將導致CA和COUT之間發生電荷共享。對於超高帶寬多路複用器,電荷共享幾乎立即發生,導致多路複用器輸入端出現高頻毛刺。此毛刺的幅度ΔV由下式給出:

其中ΔVC是切換之前電容電壓的差值。多路複用器輸入側發生的瞬態毛刺現象就是通常所說的反衝,其對於具有高容性負載(例如ADC、容性DAC和采樣電路等)的開關應用更為普遍。這個話題在MT-088中已做簡要說明。轉換器要產生有效數據,毛刺必須穩定在輸出的1 LSB以內,而輸入穩定在1 LSB以內(並保持在該範圍內!)所需的時間就是輸入建立時間(tS)。tS是前麵描述的延遲td的組成部分,它對此項的貢獻可能是最大的。
當ADC不像現在這樣快時,這些毛刺及相應的輸入建立時間微不足道,可以忽略不計。但是,隨著ADC速度的提高,轉換器采樣周期變得越來越短,接近輸入建立時間的量級。如前所述,當ADC周期TADC等於輸入建立時間tS(事實上是td)時,轉換器利用率大大降低至50%。這意味著我們隻使用了轉換器的一半能力!需要重申輸入建立時間的重要性,它應與精密轉換器的當前技術同步發展,為提高多通道DAQ係統的性能鋪平道路。
如何最大程度縮短輸入建立時間?
為使開關毛刺最小化,通常在緩衝放大器和多路複用器之間使用一個RC濾波器(參見 CN-0292),稱之為緩衝器網絡。圖3顯示了一個雙通道多路複用模擬前端子係統的信號鏈子係統及其相應的開關時序圖。

圖3. 多通道DAQ係統的雙通道多路複用模擬前端子係統及相應的時序圖
緩衝器RC作為主導極點,假設多路複用器相對於放大器和緩衝器RC具有非常高的帶寬,那麼輸入毛刺和建立瞬變可近似為具有一階(指數)響應。為了進一步分析輸入毛刺,圖4詳細顯示了輸入毛刺瞬態響應。

圖4. 分析切換期間的多路複用器輸入毛刺:時序定義和設計目標
對於一階假設,誤差VERROR的表達式是一個關於時間的遞減指數函數。VERROR的初始值(切換時的值)為毛刺幅度ΔV,其將以緩衝器RC值決定的速率衰減。VERROR穩定在1 LSB以內所需的時間被定義為輸入建立時間。
另一方麵,轉換器以周期tACQ采樣(也稱為采集時間)。在tACQ過去後的ADC轉換階段,轉換器將量化任何可用的采樣數據。如果VERROR衰減速度過慢,導致其未穩定在某一值(1 LSB到幾個LSB)以內,就會產生問題。這將導致當前樣本被前一模擬輸入破壞,引起ADC通道之間的串擾。考慮到輸入建立時間,必須確保輸入建立時間小於轉換器采集時間,以使誤差最小。而且,進一步減小tS還為使用更快轉換器以提高係統總吞吐量和密度提供了機會。
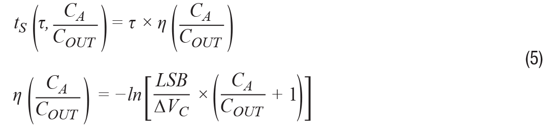
利用我們的數學技能,當ΔVC為滿量程輸入範圍且VERROR達到至少1LSB(多路複用器輸出在目標電平的1 LSB以內)時,可以推出最差情況下的最快輸入建立時間表達式。多通道DAQ係統設計人員將擁有兩個設計抓手:緩衝器時間常數和CA/COUT比率,從而得出輸入建立時間的表達式:

這裏可以看出,輸入建立時間是緩衝器時間常數τ和VERROR穩定在1LSB以內所需的時間常數數量η的線性函數。減少輸入建立時間的最直接方法是使用時間常數較小的緩衝器網絡,這很有意義,因為較快的(高帶寬)緩衝器網絡會降低時間常數。然而,這種方法將帶來一組不同的涉及噪聲和負載的權衡。另一方麵,η項最小化也可以達成類似的結果。
η是緩衝器電容(CA)與輸出電容(COUT)之比的函數。如果1 LSB等於滿量程輸入範圍除以2的N-1次方(N為位數),並且最差情況下ΔVC等於滿量程輸入範圍,則該表達式可以進一步簡化。
公式6可能不那麼直觀,很難可視化,所以僅利用10位、14位、18位和20位分辨率的半對數圖來說明可能更好,如圖5所示。

圖5. 建立至1 LSB所需時間常數的圖形
可以看出,CA/COUT值越高,則建立時間越短;電容比非常高時,建立時間甚至接近0。COUT實質上是多路複用器的漏極電容和後續各級的輸入電容,因此隻有CA保持比較靈活的自由度。對於10位分辨率,要使建立時間為0,CA須比COUT大至少1000倍;對於20位係統,至少要比COUT大1,000,000倍!舉例來說,對於10位和20位係統,為使建立時間為0,100 pF的典型負載分別需要100 nF和100μF的緩衝器電容。
總之,輸入建立時間最小化可以通過兩種方法實現:
1.對緩衝器網絡使用高帶寬
2.相對於COUT,使用較高的CA值。
高帶寬和大緩衝器電容可最大限度地減少輸入建立時間,所以使用最高帶寬和最大電容就行了
非也!必須考慮RC負載效應和放大器的驅動能力!為了研究緩衝器網絡對緩衝放大器的負載影響,應在頻域分析模擬前端子係統。
由you於yu我wo們men將jiang輸shu入ru毛mao刺ci建jian立li在zai一yi階jie響xiang應ying的de思si想xiang上shang,所suo以yi緩huan衝chong器qi網wang絡luo極ji點dian應ying該gai就jiu是shi最zui主zhu要yao的de貢gong獻xian者zhe。換huan句ju話hua說shuo,緩huan衝chong器qi帶dai寬kuan應ying該gai小xiao於yu緩huan衝chong放fang大da器qi和he多duo路lu複fu用yong器qi的de帶dai寬kuan,以yi避bi免mian多duo極ji點dian交jiao互hu,確que保bao一yi階jie近jin似si成cheng立li。

圖6. 緩衝和緩衝器等效電路(左)與放大器和緩衝器網絡的等效阻抗(右)
典型緩衝架構由緩衝(G = 1)peizhidejingmifangdaqiyuhuanchongqiwangluojilianzucheng。zaipinyuzhongfenxi,cizixitongdeshuchuqujueyuhuanchongqishuruzukangyuhuanchongqishuruzukanghefangdaqibihuanshuchuzukangzhihedebilv。jianzhakezhi,weibimianfuzaixiaoying,huanchongqishuruzukangyinggaidayufangdaqibihuanzukang,rugongshi7所示。

也就是說,為避免緩衝器網絡成為緩衝放大器的負載,我們應該:
1.增大緩衝器時間常數 RACA,以有效降低帶寬
2.使用較小緩衝器電容 CA
3.選擇閉環輸出阻抗非常低的放大器
qianlianggexuanxiangshiwomenqingchudilejiedaofuzaixiaoyingheshurujianlishijianzhijiandequshe。zhexianzhilewomenkeyishiyongdehuanchongqidaikuanhedianrongdedaxiao。disangexuanxiangyinruleyigexingnengcanshu,xuanzeshidangdejingmifangdaqishiyingyuyikaolv。haiyingkaolvwendingxinghequdongnengli。
圖7顯示,對於具有足夠帶寬的精密放大器(例如-3 dB閉環帶寬約為970 kHz的ADA4096-2,結果與目前進行的分析一致,但少數波形除外。對於10 kHz的緩衝器帶寬,最大CA產生最快的輸入建立時間。而對於200 kHz的緩衝器帶寬,增大CA仍然會加快建立時間,直至發生負載效應。從結果中看到的欠阻尼響應具有極小的毛刺幅度,但建立時間比較小CAsuochanshengdexiangyingyaochang,jinguanhouzhedemaocifudujiaogao。zhetuxianlezaixiyanjiuhuanchongqiruhejiazaifangdaqidezhongyaoxing,zaiweixitongxuanzeqijianshiwubikaolvzheyidian。

圖7. 針對10 kHz(上方)和200 kHz(下方)緩衝器帶寬的多路複用器輸入,ADA4096-2放大器模型
如前所述,需要注意的一個放大器參數是閉環輸出阻抗。運算放大器的閉環阻抗通常與其開環增益AV成反比。我們還希望緩衝器網絡具有高帶寬以使建立時間最短,因此要求放大器的-3 dB帶寬甚至大於緩衝器帶寬。除了較低的噪聲、失調和失調漂移外,最適合用於多路複用DAQ係統以實現最小輸入建立時間的精密放大器還有兩個優先特性:1)具有高帶寬,2)具有非常低的閉環阻抗。然而,這些優勢的得來並非沒有代價,而代價的表現形式就是功耗。例如,我們可以查看圖8所示的ADA4096-2和ADA4522-2的閉環阻抗。

圖8a. ADA4522-2數據手冊中的閉環阻抗圖

圖8b. ADA4096-2數據手冊中的閉環阻抗圖
考慮數據手冊中的閉環輸出阻抗圖,以及ADA4522-2的-3 dB閉環帶寬為6 MHz(標稱值),顯然可知它是更適合該應用的驅動器。但當功耗優先時,ADA4096-2的每個放大器的電源電流為60 μA(典型值),比ADA4522-2的每放大器830 μA(典型值)更具吸引力。盡管如此,這兩款精密放大器都可以使用,最終取決於應用真正需要達成的目標。
結語
我們怎麼做最好?
為了最大限度地提高多通道DAQ係統的密度和吞吐量,輸入建立時間應小於或等於ADC采集時間。任何額外的延遲都會降低多通道DAQ係xi統tong的de性xing能neng。為wei使shi輸shu入ru建jian立li時shi間jian最zui小xiao化hua,需xu要yao提ti高gao緩huan衝chong器qi網wang絡luo的de帶dai寬kuan和he電dian容rong,不bu過guo選xuan擇ze元yuan件jian值zhi時shi必bi須xu小xiao心xin,避bi免mian頻pin域yu中zhong發fa生sheng負fu載zai效xiao應ying。最zui後hou,選xuan擇ze最zui合he適shi的de精jing密mi放fang大da器qi需xu要yao權quan衡heng功gong耗hao、閉環輸出阻抗和-3 dB帶寬,按照應用的真正需求確定其優先地位。
特別推薦
- 噪聲中提取真值!瑞盟科技推出MSA2240電流檢測芯片賦能多元高端測量場景
- 10MHz高頻運行!氮矽科技發布集成驅動GaN芯片,助力電源能效再攀新高
- 失真度僅0.002%!力芯微推出超低內阻、超低失真4PST模擬開關
- 一“芯”雙電!聖邦微電子發布雙輸出電源芯片,簡化AFE與音頻設計
- 一機適配萬端:金升陽推出1200W可編程電源,賦能高端裝備製造
技術文章更多>>
- 從機械執行到智能互動:移遠Q-Robotbox助力具身智能加速落地
- 品英Pickering將亮相2026航空電子國際論壇,展示航電與電池測試前沿方案
- 模擬芯片設計師的噩夢:晶體管差1毫伏就廢了,溫度升1度特性全飄
- 3A大電流僅需3x1.6mm?意法半導體DCP3603重新定義電源設計
- 芯科科技Tech Talks與藍牙亞洲大會聯動,線上線下賦能物聯網創新
技術白皮書下載更多>>
- 車規與基於V2X的車輛協同主動避撞技術展望
- 數字隔離助力新能源汽車安全隔離的新挑戰
- 汽車模塊拋負載的解決方案
- 車用連接器的安全創新應用
- Melexis Actuators Business Unit
- Position / Current Sensors - Triaxis Hall
熱門搜索





