用脈衝響應來分析後均衡ISI
發布時間:2018-05-10 來源:Ransom Stephens 責任編輯:wenwei
【導讀】對信號完整性工程師來說,分析閉眼圖可不是件容易的事。傳輸信道的頻率響應會導致符號間幹擾(ISI),這是造成閉眼問題的主要原因。本文探討如何測量均衡後遺留下的ISI,即所謂的駐留ISI。我們也可以看到,決策反饋均衡(DFE)其實是很簡單的。利用SBRx(t)可以計算均衡方案如何影響串擾。
每個信號完整性工程師都知道,分析閉眼圖從來都不是容易的事。傳輸信道的頻率響應(或缺少帶寬)會導致符號間幹擾(ISI),這是造成閉眼問題的元凶。之前我寫過關於閉眼分析技術的文章,這次我們將探討如何測量均衡後遺留下的ISI,即所謂的駐留ISI。在此過程中,我們將認識到決策反饋均衡(DFE)其實是很簡單的。
脈衝響應在定義高速串行總線的技術標準中越來越受歡迎。你可通過碼型發生器發送一長串0、後接一個1、然後另一長串0來產生脈衝。也就是說,脈衝是不歸零(NRZ)位,脈衝響應則與SBR(單比特響應)相同。
與窄峰響應(impulse response)一樣,脈衝響應也包括電路以及軌跡、連接器、線纜、引腳、焊球的阻抗等信息。無論幅值還是相位,它們都是內置的。你甚至可通過在侵擾器(aggressor)上傳輸脈衝來產生串擾脈衝響應,並在受體上測量SBRx(t)。
圖1顯示(a)窄峰和(b)脈衝響應是等價的。

圖1:傳輸信道的有限帶寬延長了(a)窄峰,h(t);(b)單個比特,SBR(t)。(圖片來源:Anritsu公司)。
脈衝響應SBR(t)與窄峰響應h(t)有如下關係:
其中pulse(t)是一長串0、一個1(對於PAM4,是一個3),以及另一長串0。
可以用矢量網絡分析儀(VNA)的頻域來測量脈衝響應SBR(t),並借助時域反射法/時域透射率法(TDR / TDT),或使用示波器。從仿真中提取也很容易。
因為脈衝響應測量提供了關於信道的所有信息——所有關於信道的線性和時間不變的信息,這應該是我們需要考慮的一切,用於特定性能變量的測量和計算指標包括信道工作裕度(COM)和信噪比失真率(SNDR)。
在實際係統中,接收器以波特率(即NRZ的比特率和PAM4比特率的一半)離散地對每個符號進行一次波形采樣。
其中總和是在脈衝響應的持續時間內累加的。SBR(t)的粒度和h(t)通常是每單位間隔(UI)M=32個采樣,如圖2所示。

圖2:每個UI采樣M次的SBR(t),產生比每個UI采樣一次更詳細的波形。(圖片來源:Anritsu)
采樣點tsp是位於SBR(t)初始上升後的一個UI。
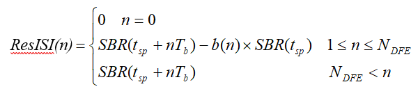
駐留ISI,可稱之為ResISI(n),是均衡後每個UI保留的ISI。為計算ResISI(n),我們需要在發射脈衝中包含發射器均衡——去加重或發射器前饋均衡(FFE)。我們還需要將接收器連續時間線性均衡(CTLE)的影響包括在內,這在ADS(Keysight高級設計係統)等IBIS仿真器中很容易實現。決策反饋均衡(DFE)可以手動輸入:

ResISI(n)是預均衡脈衝響應和後均衡脈衝響應之差,完美的均衡意味著對於所有n,ResISI(n)= 0。其中最酷的部分(我認為它很酷)是如何通過其抽頭b(n)將DFE明確包含在內。這是顯而易見的,對吧?但仍然不可思議。
為得到駐留ISI的單個參數測量值,隻需添加其組成部分,即根平方和,就像為直角三角形添加一條邊一樣。
你可以在圖3中看到三個均衡器是如何影響脈衝的。

圖3:有和沒有均衡的脈衝響應的ADS IBIS仿真。(圖片來源:Wild River和Keysight)
可以使用同樣的方法,利用SBRx(t)來計算均衡方案如何影響串擾。借助侵擾器的SBR和SBRx,可以通過明確包含DFE的方式(就如我們對ResISI所做的)來計算任何波形的後均衡形狀。也就是說,你可以看到波形在深植到接收器內部的削波器(slicer)上看起來是什麼樣子。
本文轉載自電子技術設計。
推薦閱讀:
特別推薦
- 噪聲中提取真值!瑞盟科技推出MSA2240電流檢測芯片賦能多元高端測量場景
- 10MHz高頻運行!氮矽科技發布集成驅動GaN芯片,助力電源能效再攀新高
- 失真度僅0.002%!力芯微推出超低內阻、超低失真4PST模擬開關
- 一“芯”雙電!聖邦微電子發布雙輸出電源芯片,簡化AFE與音頻設計
- 一機適配萬端:金升陽推出1200W可編程電源,賦能高端裝備製造
技術文章更多>>
- 從機械執行到智能互動:移遠Q-Robotbox助力具身智能加速落地
- 品英Pickering將亮相2026航空電子國際論壇,展示航電與電池測試前沿方案
- 模擬芯片設計師的噩夢:晶體管差1毫伏就廢了,溫度升1度特性全飄
- 3A大電流僅需3x1.6mm?意法半導體DCP3603重新定義電源設計
- 芯科科技Tech Talks與藍牙亞洲大會聯動,線上線下賦能物聯網創新
技術白皮書下載更多>>
- 車規與基於V2X的車輛協同主動避撞技術展望
- 數字隔離助力新能源汽車安全隔離的新挑戰
- 汽車模塊拋負載的解決方案
- 車用連接器的安全創新應用
- Melexis Actuators Business Unit
- Position / Current Sensors - Triaxis Hall
熱門搜索





