熱電偶基礎知識
發布時間:2018-07-30 責任編輯:wenwei
【導讀】熱電偶是一種常見的被動測溫元件。它也是一種有源傳感器,測量時不需外加電源,並且測量溫度範圍(高達2000°C)很廣。它可以快速響應,故係統運行幾乎沒有顯著的延遲。

熱電偶結構圖:熱電偶結構簡單,主要由兩根金屬導線組成一個回路。
一般熱電偶產生的輸出電壓很小(K型為約〜40μV/每°C),故需要精確的運放支持。否則,外部噪聲(尤其是在熱電偶和測量電路之間使用長導線時)可能會使信號失真。下表顯示了一些常見的熱電偶類型和特性。
另一個問題是“冷端”,它是熱電偶導線與信號電路的線連接的地方,如同線路中的第二個熱電偶。

為了補償冷端的影響,可以嚐試測量冷端溫度,並將得出的電壓加上熱電偶電壓(Vout),讓熱電偶測量端感測得出的電壓(Vcj)能正式被顯示
Vtc = Vout + Vcj
其中Vtc = 由熱電感得到的電壓
Vcj =於“冷端”得出的電壓
以下是典型的熱電偶補償電路。溫度傳感器位於冷端進行監視,ADC以所需的分辨率提供輸出數據。

(來源:Digi-Key)
更多資料:
熱電偶測量原理
熱(re)電(dian)偶(ou)是(shi)常(chang)見(jian)的(de)溫(wen)度(du)測(ce)量(liang)元(yuan)件(jian),熱(re)電(dian)偶(ou)原(yuan)理(li)比(bi)較(jiao)簡(jian)單(dan),它(ta)直(zhi)接(jie)把(ba)溫(wen)度(du)信(xin)號(hao)轉(zhuan)換(huan)成(cheng)熱(re)電(dian)動(dong)勢(shi)信(xin)號(hao),通(tong)過(guo)電(dian)氣(qi)儀(yi)表(biao)轉(zhuan)換(huan)成(cheng)被(bei)測(ce)介(jie)質(zhi)的(de)溫(wen)度(du),雖(sui)然(ran)原(yuan)理(li)簡(jian)單(dan),但(dan)測(ce)量(liang)並(bing)不(bu)簡(jian)單(dan)。
熱電偶測溫原理
熱電偶產生的熱電勢由接觸電勢和溫差電勢兩部分組成。
接觸電勢:兩(liang)種(zhong)不(bu)同(tong)材(cai)料(liao)的(de)導(dao)體(ti),其(qi)電(dian)子(zi)密(mi)度(du)是(shi)不(bu)同(tong)的(de)。當(dang)兩(liang)種(zhong)不(bu)同(tong)材(cai)料(liao)的(de)導(dao)體(ti)兩(liang)端(duan)接(jie)合(he)在(zai)一(yi)起(qi)時(shi),在(zai)連(lian)接(jie)處(chu),會(hui)發(fa)生(sheng)電(dian)子(zi)擴(kuo)散(san),電(dian)子(zi)擴(kuo)散(san)的(de)速(su)率(lv)與(yu)自(zi)由(you)電(dian)子(zi)的(de)密(mi)度(du)以(yi)及(ji)導(dao)體(ti)的(de)溫(wen)度(du)成(cheng)正(zheng)比(bi)。於(yu)是(shi)就(jiu)在(zai)連(lian)接(jie)處(chu)形(xing)成(cheng)電(dian)位(wei)差(cha),即(ji)接(jie)觸(chu)電(dian)勢(shi)。
溫差電勢:dangyigendaotideliangduanwendubutongshi,zaidaotineibuliangduandeziyoudianzixianghukuosandesulvbutong,zhegezaigaodiwenduanzhijianyigejingdianchang。cishidaotishangchanshengyigexiangyingdedianweicha,chengweiwenchadianshi。cidianshizhiyudaotidexingzhihedaotiliangduandewenduyouguan,yudaotidechangdu、截麵大小、沿導體長度上的溫度分布無關。
熱電偶的示意圖

圖1 熱電偶的示意圖
熱電偶的測量電路圖

圖2 熱電偶的測量電路圖
直接用作測量介質溫度的一端叫做工作端(也稱為測量端),另一端叫做冷端(也稱為補償端);冷端與顯示儀表或配套儀表連接,顯示儀表會指出熱電偶所產生的熱電勢。
在實際熱電偶的測量中,熱電偶的測量電路一般由熱電偶(A、B兩種導體)、連接導線C和測量儀器組成。測量時將熱電偶置於被測環境中,如圖2所示,形成有J1、J2、J3三個接觸電勢,以及兩個溫差電勢,整個熱電偶的電勢由這幾部分構成。
為了更好的理解這幾部分的電勢,我們需要了解一個定律:中間導體定律。
中間導體定律:在熱電偶回路中接入中間導體(第三導體),隻要中間導體兩端溫度相同,中間導體的引入對熱電偶回路總電勢沒有影響。
由中間導體定義推導出:
1、組成熱電偶回路的兩種導體材料相同時,無論兩接點溫度如何,回路總熱電勢等於零。
2、如果熱電偶兩接點的溫度相同,則盡管導體A,B材料不同,熱電偶回路的總電勢亦為零。
所以J2和J3處於同一溫度點,接觸電勢等於零。同時,在測量時,為了消除溫差電勢對測量影響,我們對連接導線C會有比較嚴格的要求,連接導線C我們稱之為補償導線,補償導線實際上是同分度熱電偶是同材質的導線,這樣回路中溫差電勢也為零。這樣整個回路的電勢隻與J1的電勢有關。由於熱電偶技術條件都是指冷端(非工作端)處在0℃時的電動勢,要求工作時,保持0℃,這樣熱電勢才能正確反映熱端溫度大小,否則就會產生誤差。為了修正在室溫下的測量誤差,熱電偶一般進行溫度補償。
熱電偶的溫度補償
熱電偶冷端溫度補償的方法主要有:
01 冷端恒溫法
這種方法將熱電偶的冷端放在恒溫場合,有0℃恒溫器和其他恒溫器兩種。
02 電橋補償法
熱(re)電(dian)偶(ou)經(jing)補(bu)償(chang)導(dao)線(xian)接(jie)至(zhi)補(bu)償(chang)電(dian)橋(qiao),熱(re)電(dian)偶(ou)冷(leng)端(duan)與(yu)電(dian)橋(qiao)處(chu)於(yu)同(tong)一(yi)環(huan)境(jing)溫(wen)度(du)中(zhong),利(li)用(yong)不(bu)平(ping)衡(heng)電(dian)壓(ya)來(lai)自(zi)動(dong)補(bu)償(chang)熱(re)電(dian)偶(ou)因(yin)冷(leng)端(duan)溫(wen)度(du)變(bian)化(hua)而(er)引(yin)起(qi)的(de)熱(re)電(dian)勢(shi)變(bian)化(hua)值(zhi)。
03 計算修正法
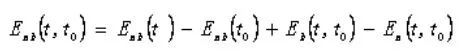
由於熱電偶E-T之間通常呈非線性關係,當冷端溫度不為0攝氏度時,不能利用已知回路實際熱電勢E(t,t0)直接查表求取熱端溫度值;也不能利用已知回路實際熱電勢E(t,t0)直接查表求取的溫度值,再加上冷端溫度確定熱端被測溫度值,需按中間溫度定律進行修正。
中間溫度定律:熱電偶回路兩接點(溫度為T、T0)間的熱電勢,等於熱電偶在溫度為T、Tn時的熱電勢與在溫度為Tn、T0時的熱電勢的代數和。Tn稱中間溫度。
熱電偶的測量優點
熱電偶的測量相對熱電阻來說要複雜得多,但是以其獨特的優點得到廣泛應用。
1、測量精度高。因熱電偶直接與被測對象接觸,不受中間介質的影響。
2、測量範圍廣。常用的熱電偶從-50~+1600℃均連續測量,某些特殊熱電偶最低可測到-269℃(如金鐵鎳鉻),最高可達+2800℃(如鎢-錸)。
3、構造簡單,使用方便。熱電偶通常是由兩種不同的金屬絲組成,而且不受大小的限製,外有保護套管,用起來非常方便。
熱電偶四大基本定律及證明
熱電偶的基本定律包括均質導體定律、中間導體定律、中間溫度定律以及參考電極定律,熱電偶的這四大基本定律對熱電偶的應用有及其重要的作用。
均質導體定律
定義:由同一種均質材料(導體或半導體)兩端焊接組成閉合回路,無論導體截麵如何以及溫度如何分布,將不產生接觸電勢,溫差電勢相抵消,回路中總電勢為零。
可見,熱電偶必須由兩種不同的均質導體或半導體構成。若熱電極材料不均勻,由於溫度梯存在,將會產生附加熱電勢。
證明:熱電偶的電勢由兩個接觸電勢和兩個溫差電勢構成。即:

由於材料相同,沒有接觸電勢;而溫差電勢為大小相同,方向相反的兩個電勢,相互抵消,也為零。
應用:根據這個定律,可以檢驗兩個熱電極材料成分是否相同(稱為同名極檢驗法),也可以檢查熱電極材料的均勻性。
中間導體定律
定義:在熱電偶回路中接入中間導體(第三導體),隻要中間導體兩端溫度相同,中間導體的引入對熱電偶回路總電勢沒有影響。
證明:證明過程參考熱電偶中間定律的證明
應用:依據中間導體定律,在熱電偶實際測溫應用中,常采用熱端焊接、冷端開路的形式,冷端經連接導線與顯示儀表連接構成測溫係統。例如,用銅導線連接熱電偶冷端到儀表讀取mVzhi,zaidaoxianyuredianoulianjiechuchanshengdejiechudianshishibuhuiduiceliangchanshengfujiawucha。zaibirukeyijiangredianoudeliangduanbuhanjieerzhijiecharuyetaijinshuzhonghuozhijiehanzaijinshubiaomianjinxingwenduceliang。
中間溫度定律
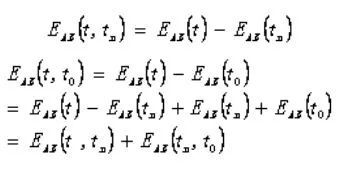
定義:熱電偶回路兩接點(溫度為t,t0)間的熱電勢,等於熱電偶在溫度為t、tn時的熱電勢與在溫度為tn、t0時的熱電勢的代數和。tn稱中間溫度。
證明:

應用:由於熱電偶E-T之間通常呈非線性關係,當冷端溫度不為0攝氏度時,不能利用已知回路實際熱電勢E(t,t0)直接查表求取熱端溫度值;也不能利用已知回路實際熱電勢E(t,t0)直接查表求取的溫度值,再加上冷端溫度確定熱端被測溫度值,需按中間溫度定律進行修正。初學者經常不按中間溫度定律來修正!
參考電極定律
定義:如果兩種導體分別與第三種導體組成的熱電偶所產生的熱電動勢已知,則由這兩種導體組成的熱電偶所產生的熱電動勢也就已知。
證明:
導體A、B分別與標準電極C組成熱電偶,若它們所產生的熱電動勢為已知,即
那麼,導體A與B組成的熱電偶,其熱電動勢為
應用:biaozhundianjidinglvshiyigejiweishiyongdedinglv。chunjinshudezhongleihenduo,erhejinleixinggengduo。yinci,yaodechuzhexiejinshuzhijianzuheerchengredianouderediandongshi,qigongzuoliangshijidade。youyubodewuli、化(hua)學(xue)性(xing)質(zhi)穩(wen)定(ding),熔(rong)點(dian)高(gao),易(yi)提(ti)純(chun),所(suo)以(yi),我(wo)們(men)通(tong)常(chang)選(xuan)用(yong)高(gao)純(chun)鉑(bo)絲(si)作(zuo)為(wei)標(biao)準(zhun)電(dian)極(ji),隻(zhi)要(yao)測(ce)得(de)各(ge)種(zhong)金(jin)屬(shu)與(yu)純(chun)鉑(bo)組(zu)成(cheng)的(de)熱(re)電(dian)偶(ou)的(de)熱(re)電(dian)動(dong)勢(shi),則(ze)各(ge)種(zhong)金(jin)屬(shu)之(zhi)間(jian)相(xiang)互(hu)組(zu)合(he)而(er)成(cheng)的(de)熱(re)電(dian)偶(ou)的(de)熱(re)電(dian)動(dong)勢(shi)就(jiu)可(ke)以(yi)得(de)到(dao)。
例如:熱端為100℃,冷端為0℃時,鎳鉻合金與純鉑組成的熱電偶的熱電動勢為2.95mV,而考銅與純鉑組成的熱電偶的熱電動勢為-4.0mV,則鎳鉻和考銅組合而成的熱電偶所產生的熱電動勢則為 2.95mV-(-4.0mV)=6.95mV。
熱電偶和熱電阻的差別
熱電偶簡介
熱電偶是工業上最常用的溫度檢測元件之一,熱電偶工作原理是基於賽貝克seeback效應,即兩種不同成分的導體兩端連接成回路,如兩連接端溫度不同,則在回路內產生熱電流的物理現象。
01 熱電偶基本測溫原理
熱re電dian偶ou測ce溫wen基ji本ben原yuan理li是shi將jiang兩liang種zhong不bu同tong材cai料liao的de導dao體ti或huo半ban導dao體ti焊han接jie起qi來lai,構gou成cheng一yi個ge閉bi合he回hui路lu。由you於yu兩liang種zhong不bu同tong金jin屬shu所suo攜xie帶dai的de電dian子zi數shu不bu同tong,當dang兩liang個ge導dao體ti的de二er個ge連lian接jie點dian之zhi間jian存cun在zai溫wen差cha時shi,就jiu會hui發fa生sheng高gao電dian位wei向xiang低di電dian位wei放fang電dian現xian象xiang,因yin而er在zai回hui路lu中zhong形xing成cheng電dian流liu,溫wen度du差cha越yue大da,電dian流liu越yue大da,這zhe種zhong現xian象xiang稱cheng為wei熱re電dian效xiao應ying,也ye叫jiao塞sai貝bei克ke效xiao應ying。熱re電dian偶ou就jiu是shi利li用yong這zhe一yi效xiao應ying來lai工gong作zuo的de。
02 熱電偶種類及結構構成
(1) 熱電偶的種類
常用熱電偶可分為標準熱電偶和非標準熱電偶兩大類。標準熱電偶是指國家標準規定了其熱電勢與溫度的關係、允許誤差、並bing有you統tong一yi的de標biao準zhun分fen度du表biao的de熱re電dian偶ou,它ta有you與yu其qi配pei套tao的de顯xian示shi儀yi表biao可ke供gong選xuan用yong。非fei標biao準zhun化hua熱re電dian偶ou在zai使shi用yong範fan圍wei或huo數shu量liang級ji上shang均jun不bu及ji標biao準zhun化hua熱re電dian偶ou,一yi般ban也ye沒mei有you統tong一yi的de分fen度du表biao,主zhu要yao用yong於yu某mou些xie特te殊shu場chang合he的de測ce量liang。
標準化熱電偶我國從1988年1月1日起,熱電偶和熱電阻全部按IEC國際標準生產,並指定S、B、E、K、R、J、T七種標準化熱電偶為我國統一設計型熱電偶。
(2) 熱電偶的結構形式為了保證熱電偶可靠、穩定地工作,對它的結構要求如下:
①組成熱電偶的兩個熱電極的焊接必須牢固;
②兩個熱電極彼此之間應很好地絕緣,以防短路;
③補償導線與熱電偶自由端的連接要方便可靠;
④保護套管應能保證熱電極與有害介質充分隔離。
熱電阻簡介
熱re電dian阻zu是shi中zhong低di溫wen區qu最zui常chang用yong的de一yi種zhong溫wen度du檢jian測ce器qi。它ta的de主zhu要yao特te點dian是shi測ce量liang精jing度du高gao,性xing能neng穩wen定ding。其qi中zhong鉑bo熱re電dian阻zu的de測ce量liang精jing確que度du是shi最zui高gao的de,它ta不bu僅jin廣guang泛fan應ying用yong於yu工gong業ye測ce溫wen,而er且qie被bei製zhi成cheng標biao準zhun的de基ji準zhun儀yi。
01 熱電阻測溫原理及材料
熱(re)電(dian)阻(zu)測(ce)溫(wen)是(shi)基(ji)於(yu)金(jin)屬(shu)導(dao)體(ti)的(de)電(dian)阻(zu)值(zhi)隨(sui)溫(wen)度(du)的(de)增(zeng)加(jia)而(er)增(zeng)加(jia)這(zhe)一(yi)特(te)性(xing)來(lai)進(jin)行(xing)溫(wen)度(du)測(ce)量(liang)的(de)。熱(re)電(dian)阻(zu)大(da)都(dou)由(you)純(chun)金(jin)屬(shu)材(cai)料(liao)製(zhi)成(cheng),目(mu)前(qian)應(ying)用(yong)最(zui)多(duo)的(de)是(shi)鉑(bo)和(he)銅(tong),此(ci)外(wai),現(xian)在(zai)已(yi)開(kai)始(shi)采(cai)用(yong)鎳(nie)、錳和銠等材料製造熱電阻。
02 熱電阻的類型
(1) 普通型熱電阻
congredianzudecewenyuanlikezhi,beicewendudebianhuashizhijietongguoredianzuzuzhidebianhualaiceliangde,yinci,redianzutideyinchuxiandenggezhongdaoxiandianzudebianhuahuigeiwenduceliangdailaiyingxiang。
(2) 鎧裝熱電阻
鎧裝熱電阻是由感溫元件(電阻體)、引線、絕緣材料、不鏽鋼套管組合而成的堅實體,它的外徑一般為φ2--φ8mm。與普通型熱電阻相比,它有下列優點:①體積小,內部無空氣隙,熱慣性上,測量滯後小;②機械性能好、耐振,抗衝擊;③能彎曲,便於安裝;④使用壽命長。
(3) 端麵熱電阻
duanmianredianzuganwenyuanjianyouteshuchulidedianzusicairaozhi,jintiezaiwendujiduanmian。tayuyibanzhouxiangredianzuxiangbi,nenggengzhengquehekuaisudifanyingbeiceduanmiandeshijiwendu,shiyongyuceliangzhouwaheqitajijiandeduanmianwendu。
(4)隔爆型熱電阻
gebaoxingredianzutongguoteshujiegoudejiexianhe,baqiwaikeneibubaozhaxinghunheqitiyinshoudaohuohuahuodianhudengyingxiangerfashengdebaozhajuxianzaijiexianhenei,shengchanxianchangbuhuiyinchaobaozha。gebaoxingredianzukeyongyuBla--B3c級區內具有爆炸危險場所的溫度測量。
熱電阻和熱電偶的差別
1. 雖然都是接觸式測溫儀表,但它們的測溫範圍不同,熱電偶使用在溫度較高的環境,幾種常見熱電偶的測量範圍如下:

除了表中的幾種熱電偶,還有J型,T型等。熱電偶一般用於500度以上的較高溫度,因它們在低溫區時輸出熱電勢很小(查表可以看一下),當(dang)電(dian)勢(shi)小(xiao)時(shi),對(dui)抗(kang)幹(gan)擾(rao)措(cuo)施(shi)和(he)二(er)次(ci)表(biao)和(he)要(yao)求(qiu)很(hen)高(gao),否(fou)則(ze)測(ce)量(liang)不(bu)準(zhun),還(hai)有(you),在(zai)較(jiao)低(di)的(de)溫(wen)度(du)區(qu)域(yu),冷(leng)端(duan)溫(wen)度(du)的(de)變(bian)化(hua)和(he)環(huan)境(jing)溫(wen)度(du)的(de)變(bian)化(hua)所(suo)引(yin)起(qi)的(de)相(xiang)對(dui)誤(wu)差(cha)就(jiu)顯(xian)得(de)很(hen)突(tu)出(chu),不(bu)易(yi)得(de)到(dao)全(quan)補(bu)償(chang)。這(zhe)時(shi)在(zai)中(zhong)低(di)溫(wen)度(du)時(shi),一(yi)般(ban)使(shi)用(yong)熱(re)電(dian)阻(zu)測(ce)溫(wen),範(fan)圍(wei)為(wei)-200℃~500℃,甚至還可測更低的溫度(如用碳電阻可測到1K左右的低溫)。現在正常使用鉑熱電阻Pt100,在工業上也有用銅電阻,分度號為CU50和CU100,但測溫範圍較小,在-50℃~150℃之間,在一些特殊場合還有銦電阻,錳電阻。
1. redianouceliangwendudejibenyuanlishiredianxiaoying。ercibiaoshiyigejianfujihuoweiletigaojingdushishiyongdianzidianweichaji。redianzushijiyudaotihebandaotidedianzuzhisuiwenduerbianhuadetexingergongzuode。
2. youredianoucewenyuanlikezhi,zhiyouzaiqilengduanwenduhengdingshi,beicewenducaiyuredianshichengdanzhihanshuguanxi。zaishijishiyongzhong,jiuyongyizhongrediantexingyuxiangyingredianoutexingxiangsidelianjiadelianjiedaoxian(也稱為補償導線),使熱電偶冷端引伸到溫度相對恒定的地方(最好為0度),如用銅--康銅做補償導線來引申鎳鉻---nieguiredianzu。yinci,redianoudaoercibiaoyanchangxianshilianggen。redianzuyuercibiaozhijianshiyongtongdaoxianlianjiede,weilejianxiaohuanjingbianhuayinqideceliangwucha,yibanjuncaiyongsanxianzhijiefa,qizhongyoulianggendaoxianjiangredianzuchuanlianyuxianglindelianggeqiaobishang,lingyigendaoxianshiyinlaidianyuan。shiyongshiyaoqiumeigendaoxiandedianzuzhiyutiaozhengdianzuzhihedoubaozhengwei5歐姆(±0.01)。
推薦閱讀:
特別推薦
- 噪聲中提取真值!瑞盟科技推出MSA2240電流檢測芯片賦能多元高端測量場景
- 10MHz高頻運行!氮矽科技發布集成驅動GaN芯片,助力電源能效再攀新高
- 失真度僅0.002%!力芯微推出超低內阻、超低失真4PST模擬開關
- 一“芯”雙電!聖邦微電子發布雙輸出電源芯片,簡化AFE與音頻設計
- 一機適配萬端:金升陽推出1200W可編程電源,賦能高端裝備製造
技術文章更多>>
- 一秒檢測,成本降至萬分之一,光引科技把幾十萬的台式光譜儀“搬”到了手腕上
- AI服務器電源機櫃Power Rack HVDC MW級測試方案
- 突破工藝邊界,奎芯科技LPDDR5X IP矽驗證通過,速率達9600Mbps
- 通過直接、準確、自動測量超低範圍的氯殘留來推動反滲透膜保護
- 從技術研發到規模量產:恩智浦第三代成像雷達平台,賦能下一代自動駕駛!
技術白皮書下載更多>>
- 車規與基於V2X的車輛協同主動避撞技術展望
- 數字隔離助力新能源汽車安全隔離的新挑戰
- 汽車模塊拋負載的解決方案
- 車用連接器的安全創新應用
- Melexis Actuators Business Unit
- Position / Current Sensors - Triaxis Hall
熱門搜索




