力學傳感器種類及壓阻式力傳感器簡介
發布時間:2019-02-20 責任編輯:wenwei
【導讀】力學傳感器是將各種力學量轉換為電信號的器件,力學量可分為幾何學量、運動學量及力學量三部分,其中幾何學量指的是位移、形變、尺寸等,運動學量是指幾何學量的時間函數,如速度、加速度等。力學量包括質量、力、力矩、壓力、應力等。根據被測力學的不同,這裏我們首先要介紹的是應用最為廣泛的應變式壓力傳感器。
力學傳感器的種類繁多,如電阻應變片壓力傳感器、半導體應變片壓力傳感器、壓阻式壓力傳感器、電感式壓力傳感器、電容式壓力傳感器、諧振式壓力傳感器及電容式加速度傳感器等。但應用最為廣泛的是壓阻式壓力、傳感器,它具有極低價格和較高的精度以及較好的線性特性。

zailejieyazushilichuanganqishi,womenshouxianrenshiyixiadianzuyingbianpianzhezhongyuanjian。dianzuyingbianpianshiyizhongjiangbeicejianshangdeyingbianbianhuazhuanhuanchengweiyizhongdianxinhaodeminganqijian。tashiyazushiyingbianchuanganqidezhuyaozuchengbufenzhiyi。dianzuyingbianpianyingyongzuiduodeshijinshudianzuyingbianpianhebandaotiyingbianpianliangzhong。
金(jin)屬(shu)電(dian)阻(zu)應(ying)變(bian)片(pian)又(you)有(you)絲(si)狀(zhuang)應(ying)變(bian)片(pian)和(he)金(jin)屬(shu)箔(bo)狀(zhuang)應(ying)變(bian)片(pian)兩(liang)種(zhong)。通(tong)常(chang)是(shi)將(jiang)應(ying)變(bian)片(pian)通(tong)過(guo)特(te)殊(shu)的(de)粘(zhan)和(he)劑(ji)緊(jin)密(mi)的(de)粘(zhan)合(he)在(zai)產(chan)生(sheng)力(li)學(xue)應(ying)變(bian)基(ji)體(ti)上(shang),當(dang)基(ji)體(ti)受(shou)力(li)發(fa)生(sheng)應(ying)力(li)變(bian)化(hua)時(shi),電(dian)阻(zu)應(ying)變(bian)片(pian)也(ye)一(yi)起(qi)產(chan)生(sheng)形(xing)變(bian),使(shi)應(ying)變(bian)片(pian)的(de)阻(zu)值(zhi)發(fa)生(sheng)改(gai)變(bian),從(cong)而(er)使(shi)加(jia)在(zai)電(dian)阻(zu)上(shang)的(de)電(dian)壓(ya)發(fa)生(sheng)變(bian)化(hua)。
zhezhongyingbianpianzaishoulishichanshengdezuzhibianhuatongchangjiaoxiao,yiguzhezhongyingbianpiandouzuchengyingbiandianqiao,bingtongguohouxudeyibiaofangdaqijinxingfangda,zaichuanshugeichulidianlu(通常是A/D轉換和CPU)顯示或執行機構。金屬電阻應變片的內部結構由基體材料、金屬應變絲或應變箔、絕緣保護片和引出線等部分組成。
根據不同的用途,電阻應變片的阻值可以由設計者設計,但電阻的取值範圍應注意:zuzhitaixiao,suoxudequdongdianliutaida,tongshiyingbianpiandefarezhishibenshendewenduguo髙,butongdehuanjingzhongshiyong,shiyingbianpiandezuzhibianhuataida,shuchulingdianpiaoyimingxian,tiaolingdianluguoyufuza。erdianzutaida,zukangtaigao,kangwaijiededianciganraonenglijiaocha。
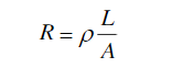
—般(ban)均(jun)為(wei)幾(ji)十(shi)歐(ou)至(zhi)幾(ji)十(shi)千(qian)歐(ou)左(zuo)右(you)。電(dian)阻(zu)應(ying)變(bian)片(pian)的(de)工(gong)作(zuo)原(yuan)理(li)金(jin)屬(shu)電(dian)阻(zu)應(ying)變(bian)片(pian)的(de)工(gong)作(zuo)原(yuan)理(li)是(shi)吸(xi)附(fu)在(zai)基(ji)體(ti)材(cai)料(liao)上(shang)應(ying)變(bian)電(dian)阻(zu)隨(sui)機(ji)械(xie)形(xing)變(bian)而(er)產(chan)生(sheng)阻(zu)值(zhi)變(bian)化(hua)的(de)現(xian)象(xiang),俗(su)稱(cheng)為(wei)電(dian)阻(zu)應(ying)變(bian)效(xiao)應(ying)。金(jin)屬(shu)導(dao)體(ti)的(de)電(dian)阻(zu)值(zhi)R可用下式表示:
式中:p——金屬導體的電阻率(Ocm2/m)A——導體的截麵積(cm2)L——導體的長度(m)我wo們men以yi金jin屬shu絲si應ying變bian電dian阻zu為wei例li,當dang金jin屬shu絲si受shou外wai力li作zuo用yong時shi,其qi長chang度du和he截jie麵mian積ji都dou會hui發fa生sheng變bian化hua,從cong上shang式shi中zhong可ke很hen容rong易yi看kan出chu,其qi電dian阻zu值zhi即ji會hui發fa生sheng改gai變bian,假jia如ru金jin屬shu絲si受shou外wai力li作zuo用yong而er伸shen長chang時shi,其qi長chang度du增zeng加jia,而er截jie麵mian積ji減jian少shao,電dian阻zu值zhi便bian會hui增zeng大da。
當金屬絲受外力作用而壓縮時,長度減小而截麵增加,電阻值則會減小。隻要測出加在電阻的變化(通常是測量電阻兩端的電壓),即(ji)可(ke)獲(huo)得(de)應(ying)變(bian)金(jin)屬(shu)絲(si)的(de)應(ying)變(bian)情(qing)況(kuang)。壓(ya)電(dian)式(shi)力(li)傳(chuan)感(gan)器(qi)是(shi)利(li)用(yong)石(shi)英(ying)晶(jing)體(ti)的(de)縱(zong)向(xiang)壓(ya)電(dian)效(xiao)應(ying),將(jiang)力(li)轉(zhuan)換(huan)成(cheng)電(dian)荷(he)的(de)變(bian)換(huan)裝(zhuang)置(zhi)。傳(chuan)感(gan)器(qi)產(chan)生(sheng)的(de)電(dian)荷(he)正(zheng)比(bi)於(yu)被(bei)測(ce)外(wai)力(li),通(tong)過(guo)電(dian)荷(he)放(fang)大(da)器(qi)將(jiang)電(dian)荷(he)按(an)比(bi)例(li)轉(zhuan)換(huan)成(cheng)電(dian)壓(ya),用(yong)電(dian)壓(ya)表(biao)或(huo)其(qi)他(ta)顯(xian)示(shi)器(qi)讀(du)出(chu)其(qi)大(da)小(xiao)及(ji)變(bian)化(hua)。
推薦閱讀:
特別推薦
- 噪聲中提取真值!瑞盟科技推出MSA2240電流檢測芯片賦能多元高端測量場景
- 10MHz高頻運行!氮矽科技發布集成驅動GaN芯片,助力電源能效再攀新高
- 失真度僅0.002%!力芯微推出超低內阻、超低失真4PST模擬開關
- 一“芯”雙電!聖邦微電子發布雙輸出電源芯片,簡化AFE與音頻設計
- 一機適配萬端:金升陽推出1200W可編程電源,賦能高端裝備製造
技術文章更多>>
- 從機械執行到智能互動:移遠Q-Robotbox助力具身智能加速落地
- 品英Pickering將亮相2026航空電子國際論壇,展示航電與電池測試前沿方案
- 模擬芯片設計師的噩夢:晶體管差1毫伏就廢了,溫度升1度特性全飄
- 3A大電流僅需3x1.6mm?意法半導體DCP3603重新定義電源設計
- 芯科科技Tech Talks與藍牙亞洲大會聯動,線上線下賦能物聯網創新
技術白皮書下載更多>>
- 車規與基於V2X的車輛協同主動避撞技術展望
- 數字隔離助力新能源汽車安全隔離的新挑戰
- 汽車模塊拋負載的解決方案
- 車用連接器的安全創新應用
- Melexis Actuators Business Unit
- Position / Current Sensors - Triaxis Hall
熱門搜索
按鈕開關
白色家電
保護器件
保險絲管
北鬥定位
北高智
貝能科技
背板連接器
背光器件
編碼器型號
便攜產品
便攜醫療
變容二極管
變壓器
檳城電子
並網
撥動開關
玻璃釉電容
剝線機
薄膜電容
薄膜電阻
薄膜開關
捕魚器
步進電機
測力傳感器
測試測量
測試設備
拆解
場效應管
超霸科技



