深度解析紅外傳感器檢測紅外輻射的原理
發布時間:2019-02-25 責任編輯:wenwei
【導讀】在(zai)科(ke)技(ji)高(gao)度(du)發(fa)達(da)的(de)今(jin)天(tian),自(zi)動(dong)控(kong)製(zhi)和(he)自(zi)動(dong)檢(jian)測(ce)在(zai)人(ren)們(men)的(de)日(ri)常(chang)生(sheng)活(huo)和(he)工(gong)業(ye)控(kong)製(zhi)所(suo)占(zhan)的(de)比(bi)例(li)也(ye)越(yue)來(lai)越(yue)重(zhong),使(shi)人(ren)們(men)的(de)生(sheng)活(huo)越(yue)來(lai)越(yue)舒(shu)適(shi),工(gong)業(ye)生(sheng)產(chan)的(de)效(xiao)率(lv)越(yue)來(lai)越(yue)高(gao)。
而傳感器是自動控製中的重要組成部件,是信息采集係統的重要部件,通過傳感器將感受或響應的被測量轉換成適合輸送或檢測的信號(一般為電信號),zailiyongjisuanjihuozhedianlushebeiduichuanganqishuchudexinhaojinxingchulicongerdadaozidongkongzhidegongneng,youyuchuanganqidexiangyingshijianyibandoubijiaoduan,suoyikeyitongguojisuanjixitongduigongyeshengchanjinxingshishikongzhi。

紅hong外wai傳chuan感gan器qi是shi傳chuan感gan器qi中zhong常chang見jian的de一yi類lei,由you於yu紅hong外wai傳chuan感gan器qi是shi檢jian測ce紅hong外wai輻fu射she的de一yi類lei傳chuan感gan器qi,而er自zi然ran界jie中zhong任ren何he物wu體ti隻zhi要yao其qi穩wen定ding高gao於yu絕jue對dui零ling度du都dou將jiang對dui外wai輻fu射she紅hong外wai能neng量liang,所suo以yi紅hong外wai傳chuan感gan器qi稱cheng為wei非fei常chang實shi用yong的de一yi類lei傳chuan感gan器qi,利li用yong紅hong外wai傳chuan感gan器qi可ke以yi設she計ji出chu很hen多duo實shi用yong的de傳chuan感gan器qi模mo塊kuai,如ru紅hong外wai測ce溫wen儀yi,紅hong外wai成cheng像xiang儀yi,紅hong外wai人ren體ti探tan測ce報bao警jing器qi,自zi動dong門men控kong製zhi係xi統tong等deng。

宇(yu)宙(zhou)間(jian)的(de)任(ren)何(he)物(wu)體(ti)隻(zhi)要(yao)其(qi)溫(wen)度(du)超(chao)過(guo)零(ling)度(du)就(jiu)能(neng)產(chan)生(sheng)紅(hong)外(wai)輻(fu)射(she),事(shi)實(shi)上(shang)同(tong)可(ke)見(jian)光(guang)一(yi)樣(yang),其(qi)輻(fu)射(she)能(neng)夠(gou)進(jin)行(xing)折(zhe)射(she)和(he)反(fan)射(she),這(zhe)樣(yang)便(bian)產(chan)生(sheng)了(le)紅(hong)外(wai)技(ji)術(shu),利(li)用(yong)紅(hong)外(wai)光(guang)探(tan)測(ce)器(qi)因(yin)其(qi)獨(du)有(you)的(de)優(you)越(yue)性(xing)而(er)得(de)到(dao)廣(guang)泛(fan)的(de)重(zhong)視(shi),並(bing)在(zai)軍(jun)事(shi)和(he)民(min)用(yong)領(ling)域(yu)得(de)到(dao)了(le)廣(guang)泛(fan)的(de)應(ying)用(yong)。軍(jun)事(shi)上(shang),紅(hong)外(wai)探(tan)測(ce)用(yong)於(yu)製(zhi)導(dao)、火控跟蹤、警戒、目標偵查、武器熱瞄準器、艦船導航等;在民用領域,廣泛應用與工業設備監控、安全監視、救災、遙感、交通管理以及醫學診斷技術等。
紅外傳感器定義

紅外線傳感器是用紅外線的物理性質來進行測量的傳感器。紅外線又稱紅外光,它具有反射、折射、散射、幹涉、吸收等性質。它是一種不可見光,其光譜位於可見光中紅色以外,所以稱紅外線。
工程上把紅外線占據在電磁波譜中的位置(波段)分為:近紅外、中紅外、遠紅外、極遠紅外四個波段。任何物質,隻要它本身具有一定的溫度(高於絕對零度),都能輻射紅外線。
紅外傳感器的測量基礎原理
shouxianlejieyixiahongwaiguang。hongwaiguangshitaiyangguangpudeyibufen,hongwaiguangdezuidatedianjiushijuyouguangrexiaoying,fushereliang,tashiguangpuzhongzuidaguangrexiaoyingqu。hongwaiguangyizhongbukejianguang,yusuoyoudianciboyiyang,juyoufanshe、折射、散射、幹涉、吸收等性質。紅外光在真空中的傳播速度為300000Km/s。紅(hong)外(wai)光(guang)在(zai)介(jie)質(zhi)中(zhong)傳(chuan)播(bo)會(hui)產(chan)生(sheng)衰(shuai)減(jian),在(zai)金(jin)屬(shu)中(zhong)傳(chuan)播(bo)衰(shuai)減(jian)很(hen)大(da),但(dan)紅(hong)外(wai)輻(fu)射(she)能(neng)透(tou)過(guo)大(da)部(bu)分(fen)半(ban)導(dao)體(ti)和(he)一(yi)些(xie)塑(su)料(liao),大(da)部(bu)分(fen)液(ye)體(ti)對(dui)紅(hong)外(wai)輻(fu)射(she)吸(xi)收(shou)非(fei)常(chang)大(da)。

不同的氣體對其吸收程度各不相同,大氣層對不同波長的紅外光存在不同的吸收帶。研究分析表明,對於波長為1——5μm、 8——14μm區域的紅外光具有比較大的“透明度”。即ji這zhe些xie波bo長chang的de紅hong外wai光guang能neng較jiao好hao地di穿chuan透tou大da氣qi層ceng。自zi然ran界jie中zhong任ren何he物wu體ti,隻zhi要yao其qi溫wen度du在zai絕jue對dui零ling度du之zhi上shang,都dou能neng產chan生sheng紅hong外wai光guang輻fu射she。紅hong外wai光guang的de光guang熱re效xiao應ying對dui不bu同tong的de物wu體ti是shi各ge不bu相xiang同tong的de,熱re能neng強qiang度du也ye不bu一yi樣yang。例li如ru,黑hei體ti(能全部吸收投射到其表麵的紅外輻射的物體)、鏡體(能全部反射紅外輻射的物體)、透明體(能全部穿透紅外輻射的物體)和灰體(能部分反射或吸收紅外輻射的物體)將產生不同的光熱效應。
嚴格來講,自然界並不存在黑體、鏡體和透明體,而絕大部分物體都屬於灰體。上述這些特性就是把紅外光輻射技術用於衛星遙感遙測、紅外跟蹤等軍事和科學研究項目的重要理論依據。
紅hong外wai輻fu射she的de物wu理li本ben質zhi是shi熱re輻fu射she。物wu體ti的de溫wen度du越yue高gao,輻fu射she出chu來lai的de紅hong外wai線xian越yue多duo,紅hong外wai輻fu射she的de能neng量liang就jiu越yue強qiang。研yan究jiu發fa現xian,太tai陽yang光guang譜pu各ge種zhong單dan色se光guang的de熱re效xiao應ying從cong紫zi色se光guang到dao紅hong色se光guang是shi逐zhu漸jian增zeng大da的de,而er且qie最zui大da的de熱re效xiao應ying出chu現xian在zai紅hong外wai輻fu射she的de頻pin率lv範fan圍wei內nei,因yin此ci人ren們men又you將jiang紅hong外wai輻fu射she稱cheng為wei熱re輻fu射she或huo熱re射she線xian。
紅外輻射的基本定律
基爾霍夫定律:在一定溫度下,地物單位麵積上的輻射通量W和吸收率之比,對於任何物體都是一個常數,並等於該溫度下同麵積黑體輻射通量W。在給定的溫度下,物體的發射率=吸收率(同一波段);吸收率越大,發射率也越大。
地di物wu的de熱re輻fu射she強qiang度du與yu溫wen度du的de四si次ci方fang成cheng正zheng比bi,所suo以yi,地di物wu微wei小xiao的de溫wen度du差cha異yi就jiu會hui引yin起qi紅hong外wai輻fu射she能neng量liang的de明ming顯xian變bian化hua。這zhe種zhong特te征zheng構gou成cheng了le紅hong外wai遙yao感gan的de理li論lun基ji礎chu。
玻耳茲曼定律:即(ji)黑(hei)體(ti)總(zong)輻(fu)射(she)通(tong)量(liang)隨(sui)溫(wen)度(du)的(de)增(zeng)加(jia)而(er)迅(xun)速(su)增(zeng)加(jia),它(ta)與(yu)溫(wen)度(du)的(de)四(si)次(ci)方(fang)成(cheng)正(zheng)比(bi)。因(yin)此(ci),溫(wen)度(du)的(de)微(wei)小(xiao)變(bian)化(hua),就(jiu)會(hui)引(yin)起(qi)輻(fu)射(she)通(tong)量(liang)密(mi)度(du)很(hen)大(da)的(de)變(bian)化(hua)。是(shi)紅(hong)外(wai)裝(zhuang)置(zhi)測(ce)定(ding)溫(wen)度(du)的(de)理(li)論(lun)基(ji)礎(chu)。
維恩位移定律:隨著溫度的升高,輻射最大值對應的峰值波長向短波方向移動。
紅外傳感器的工作原理並不複雜,一個典型的傳感器係統各部分的實體分別是:
1、待測目標:根據待測目標的紅外輻射特性可進行紅外係統的設定。
2、大氣衰減:待(dai)測(ce)目(mu)標(biao)的(de)紅(hong)外(wai)輻(fu)射(she)通(tong)過(guo)地(di)球(qiu)大(da)氣(qi)層(ceng)時(shi),由(you)於(yu)氣(qi)體(ti)分(fen)子(zi)和(he)各(ge)種(zhong)氣(qi)體(ti)以(yi)及(ji)各(ge)種(zhong)溶(rong)膠(jiao)粒(li)的(de)散(san)射(she)和(he)吸(xi)收(shou),將(jiang)使(shi)得(de)紅(hong)外(wai)源(yuan)發(fa)出(chu)的(de)紅(hong)外(wai)輻(fu)射(she)發(fa)生(sheng)衰(shuai)減(jian)。
3、光學接收器:它接收目標的部分紅外輻射並傳輸給紅外傳感器。相當於雷達天線,常用是物鏡。
4、輻射調製器:對(dui)來(lai)自(zi)待(dai)測(ce)目(mu)標(biao)的(de)輻(fu)射(she)調(tiao)製(zhi)成(cheng)交(jiao)變(bian)的(de)輻(fu)射(she)光(guang),提(ti)供(gong)目(mu)標(biao)方(fang)位(wei)信(xin)息(xi),並(bing)可(ke)濾(lv)除(chu)大(da)麵(mian)積(ji)的(de)幹(gan)擾(rao)信(xin)號(hao)。又(you)稱(cheng)調(tiao)製(zhi)盤(pan)和(he)斬(zhan)波(bo)器(qi),它(ta)具(ju)有(you)多(duo)種(zhong)結(jie)構(gou)。
5、紅外探測器:這zhe是shi紅hong外wai係xi統tong的de核he心xin。它ta是shi利li用yong紅hong外wai輻fu射she與yu物wu質zhi相xiang互hu作zuo用yong所suo呈cheng現xian出chu來lai的de物wu理li效xiao應ying探tan測ce紅hong外wai輻fu射she的de傳chuan感gan器qi,多duo數shu情qing況kuang下xia是shi利li用yong這zhe種zhong相xiang互hu作zuo用yong所suo呈cheng現xian出chu來lai的de電dian學xue效xiao應ying。此ci類lei探tan測ce器qi可ke分fen為wei光guang子zi探tan測ce器qi和he熱re敏min感gan探tan測ce器qi兩liang大da類lei型xing。
6、探測器製冷器:由於某些探測器必須要在低溫下工作,所以相應的係統必須有製冷設備。經過製冷,設備可以縮短響應時間,提高探測靈敏度。
7、信號處理係統:將探測的信號進行放大、濾波,並從這些信號中提取出信息。然後將此類信息轉化成為所需要的格式,最後輸送到控製設備或者顯示器中。
8、顯示設備:這是紅外設備的終端設備。常用的顯示器有示波器、顯像管、紅外感光材料、指示儀器和記錄儀等。
依yi照zhao上shang麵mian的de流liu程cheng,紅hong外wai係xi統tong就jiu可ke以yi完wan成cheng相xiang應ying的de物wu理li量liang的de測ce量liang。紅hong外wai係xi統tong的de核he心xin是shi紅hong外wai探tan測ce器qi,按an照zhao探tan測ce的de機ji理li的de不bu同tong,可ke以yi分fen為wei熱re探tan測ce器qi和he光guang子zi探tan測ce器qi兩liang大da類lei。
熱探測器對入射的各種波長的輻射能量全部吸收,它是一種對紅外光波無選擇的紅外傳感器。光子探測器常用的光子效應有外光電效應、內光電效應(光生伏特效應、光電導效應)heguangdiancixiaoying。retanceqishiliyongfusherexiaoying,shitanceyuanjianjieshoudaofushenenghouyinqiwendushenggao,jinershitanceqizhongyilaiyuwendudexingnengfashengbianhua。jianceqizhongmouyixingnengdebianhua,bianketancechufushe。duoshuqingkuangxiashitongguoredianbianhualaitancefushede。dangyuanjianjieshoufushe,yinqifeidianliangdewulibianhuashi,keyitongguoshidangdebianhuanhouceliangxiangyingdedianliangbianhua。
熱敏探測器對紅外輻射的響應時間比光電探測器的響應時間要長得多。前者的響應時間一般在ms以上,而後者隻有ns量級。熱探測器不需要冷卻,光子探測器多數要冷卻。
紅外線傳感器的分類
常見紅外傳感器可分為熱傳感器和光子傳感器。
熱傳感器
熱(re)傳(chuan)感(gan)器(qi)是(shi)利(li)用(yong)入(ru)射(she)紅(hong)外(wai)輻(fu)射(she)引(yin)起(qi)傳(chuan)感(gan)器(qi)的(de)溫(wen)度(du)變(bian)化(hua),進(jin)而(er)使(shi)有(you)關(guan)物(wu)理(li)參(can)數(shu)發(fa)生(sheng)相(xiang)應(ying)的(de)變(bian)化(hua),通(tong)過(guo)測(ce)量(liang)有(you)關(guan)物(wu)理(li)參(can)數(shu)的(de)變(bian)化(hua)來(lai)確(que)定(ding)紅(hong)外(wai)傳(chuan)感(gan)器(qi)所(suo)吸(xi)收(shou)的(de)紅(hong)外(wai)輻(fu)射(she)。
熱re探tan測ce器qi的de主zhu要yao優you點dian是shi相xiang應ying波bo段duan寬kuan,可ke以yi在zai室shi溫wen下xia工gong作zuo,使shi用yong簡jian單dan。但dan是shi,熱re傳chuan感gan器qi相xiang應ying時shi間jian較jiao長chang,靈ling敏min度du較jiao低di,一yi般ban用yong於yu低di頻pin調tiao製zhi的de場chang合he。
熱傳感器主要類型有:熱敏傳感器型,熱電偶型,高萊氣動型和熱釋放電型四種。
1、熱敏電阻型傳感器
熱敏電阻是由錳、鎳、鈷(gu)的(de)氧(yang)化(hua)物(wu)混(hun)合(he)後(hou)燒(shao)解(jie)而(er)成(cheng)的(de),熱(re)敏(min)電(dian)阻(zu)一(yi)般(ban)製(zhi)成(cheng)薄(bo)片(pian)狀(zhuang),當(dang)紅(hong)外(wai)輻(fu)射(she)照(zhao)射(she)在(zai)熱(re)敏(min)電(dian)阻(zu)上(shang),其(qi)溫(wen)度(du)升(sheng)高(gao),電(dian)阻(zu)值(zhi)減(jian)少(shao)。測(ce)量(liang)熱(re)敏(min)電(dian)阻(zu)值(zhi)變(bian)化(hua)的(de)大(da)小(xiao),即(ji)可(ke)得(de)知(zhi)入(ru)射(she)的(de)紅(hong)外(wai)輻(fu)射(she)的(de)強(qiang)弱(ruo),從(cong)而(er)可(ke)以(yi)判(pan)斷(duan)產(chan)生(sheng)紅(hong)外(wai)輻(fu)射(she)物(wu)體(ti)的(de)溫(wen)度(du)。
2、熱電偶型傳感器
熱re電dian偶ou是shi由you熱re電dian功gong率lv差cha別bie較jiao大da的de兩liang種zhong材cai料liao構gou成cheng。當dang紅hong外wai輻fu射she到dao這zhe兩liang種zhong金jin屬shu材cai料liao構gou成cheng的de閉bi合he回hui路lu的de接jie點dian上shang時shi,該gai接jie點dian溫wen度du升sheng高gao。而er另ling一yi個ge沒mei有you被bei紅hong外wai輻fu射she輻fu照zhao的de接jie點dian處chu於yu較jiao低di的de溫wen度du,此ci時shi,在zai閉bi合he回hui路lu中zhong將jiang產chan生sheng溫wen差cha電dian流liu。同tong時shi回hui路lu中zhong產chan生sheng溫wen差cha電dian勢shi,溫wen差cha電dian勢shi的de大da小xiao,反fan映ying了le接jie點dian吸xi收shou紅hong外wai輻fu射she的de強qiang弱ruo。利li用yong溫wen差cha電dian勢shi現xian象xiang製zhi成cheng的de紅hong外wai傳chuan感gan器qi稱cheng為wei熱re電dian偶ou型xing紅hong外wai傳chuan感gan器qi,因yin其qi時shi間jian常chang數shu較jiao大da,相xiang應ying時shi間jian較jiao長chang,動dong態tai特te性xing較jiao差cha,調tiao製zhi頻pin率lv應ying限xian製zhi在zai10HZ以下。
3、萊氣動型傳感器
高(gao)萊(lai)氣(qi)動(dong)型(xing)傳(chuan)感(gan)器(qi)是(shi)利(li)用(yong)氣(qi)體(ti)吸(xi)收(shou)紅(hong)外(wai)輻(fu)射(she)後(hou),溫(wen)度(du)升(sheng)高(gao),體(ti)積(ji)增(zeng)大(da)的(de)特(te)性(xing),來(lai)反(fan)映(ying)紅(hong)外(wai)輻(fu)射(she)的(de)強(qiang)弱(ruo)。它(ta)有(you)一(yi)個(ge)氣(qi)室(shi),以(yi)一(yi)個(ge)小(xiao)管(guan)道(dao)與(yu)一(yi)塊(kuai)柔(rou)性(xing)薄(bo)片(pian)相(xiang)連(lian)。薄(bo)片(pian)的(de)背(bei)向(xiang)管(guan)道(dao)一(yi)麵(mian)是(shi)反(fan)射(she)鏡(jing)。氣(qi)室(shi)的(de)前(qian)麵(mian)附(fu)有(you)吸(xi)收(shou)模(mo),它(ta)是(shi)低(di)熱(re)容(rong)量(liang)的(de)薄(bo)膜(mo)。紅(hong)外(wai)輻(fu)射(she)通(tong)過(guo)窗(chuang)口(kou)入(ru)射(she)到(dao)吸(xi)收(shou)模(mo)上(shang),吸(xi)收(shou)模(mo)將(jiang)吸(xi)收(shou)的(de)熱(re)能(neng)傳(chuan)給(gei)氣(qi)體(ti),使(shi)氣(qi)體(ti)溫(wen)度(du)升(sheng)高(gao),氣(qi)壓(ya)增(zeng)大(da),從(cong)而(er)使(shi)柔(rou)鏡(jing)移(yi)動(dong)。在(zai)室(shi)的(de)另(ling)一(yi)邊(bian),一(yi)束(shu)可(ke)見(jian)光(guang)通(tong)過(guo)柵(zha)狀(zhuang)光(guang)欄(lan)聚(ju)焦(jiao)在(zai)柔(rou)鏡(jing)上(shang),經(jing)柔(rou)鏡(jing)反(fan)射(she)回(hui)來(lai)的(de)柵(zha)狀(zhuang)圖(tu)像(xiang)又(you)經(jing)過(guo)柵(zha)狀(zhuang)光(guang)欄(lan)投(tou)射(she)到(dao)光(guang)電(dian)管(guan)上(shang)。當(dang)柔(rou)鏡(jing)因(yin)壓(ya)力(li)變(bian)化(hua)而(er)移(yi)動(dong)時(shi),柵(zha)狀(zhuang)圖(tu)像(xiang)與(yu)柵(zha)狀(zhuang)光(guang)欄(lan)發(fa)生(sheng)相(xiang)對(dui)位(wei)移(yi),使(shi)落(luo)到(dao)光(guang)電(dian)管(guan)上(shang)的(de)光(guang)量(liang)發(fa)生(sheng)改(gai)變(bian),光(guang)電(dian)管(guan)的(de)輸(shu)出(chu)信(xin)號(hao)也(ye)發(fa)生(sheng)變(bian)化(hua),這(zhe)個(ge)變(bian)化(hua)量(liang)就(jiu)反(fan)映(ying)出(chu)入(ru)射(she)紅(hong)外(wai)輻(fu)射(she)的(de)強(qiang)弱(ruo)。這(zhe)種(zhong)傳(chuan)感(gan)器(qi)的(de)特(te)點(dian)是(shi)靈(ling)敏(min)度(du)高(gao),性(xing)能(neng)穩(wen)定(ding)。但(dan)響(xiang)應(ying)時(shi)間(jian)性(xing)長(chang),結(jie)構(gou)複(fu)雜(za),強(qiang)度(du)較(jiao)差(cha),隻(zhi)適(shi)合(he)於(yu)實(shi)驗(yan)室(shi)內(nei)使(shi)用(yong)。
4、熱釋電型傳感器
熱釋電型傳感器是一種具有極化現象的熱晶體或稱“鐵電體”。鐵電體的極化強度(單位麵積上的電荷)yuwenduyouguan。danghongwaixianfushezhaoshedaoyijingjihuadetiediantibopianbiaomianshangshi,yinqibopianwendushenggao,shiqijihuaqiangdujiangdi,biaomiandianhejianshao,zhexiangdangyushifangyibufendianhe,suoyijiaozuoreshidianxingchuanganqi。ruguojiangfuzaidianzuyutiediantibopianxianglian,zefuzaidianzushangbianchanshengyigedianxinhaoshuchu。shuchuxinhaodedaxiao,qujueyubopianwendubianhuadekuaiman,congerfanyingrushedehongwaifushedeqiangruo。youcikejian,reshidianxinghongwaichuanganqidedianyaxiangyinglvzhengbiyurushefushebianhuadesulv。danghengdingdehongwaifushezhaoshezaireshidianchuanganqishangshi,chuanganqimeiyoudianxinhaoshuchu。zhiyoutiediantiwenduchuyubianhuaguochengzhong,caiyoudianxinhaoshuchu。suoyi,bixuduihongwaifushejinxingtiaozhi(或稱斬光),使恒定的輻射變成交變輻射,不斷的引起傳感器的溫度變化,才能導致熱釋電產生,並輸出交變的信號。
光子傳感器
光guang子zi傳chuan感gan器qi是shi利li用yong某mou些xie半ban導dao體ti材cai料liao在zai入ru射she光guang的de照zhao射she下xia,產chan生sheng光guang子zi效xiao應ying,使shi材cai料liao電dian學xue性xing質zhi發fa生sheng變bian化hua。通tong過guo測ce量liang電dian學xue性xing質zhi的de變bian化hua,可ke以yi知zhi道dao紅hong外wai輻fu射she的de強qiang弱ruo。利li用yong光guang子zi效xiao應ying所suo製zhi成cheng的de紅hong外wai傳chuan感gan器qi。統tong稱cheng光guang子zi傳chuan感gan器qi。光guang子zi傳chuan感gan器qi的de主zhu要yao特te點dian靈ling敏min度du高gao,響xiang應ying速su度du快kuai,具ju有you較jiao高gao的de響xiang應ying頻pin率lv。但dan其qi一yi般ban須xu在zai低di溫wen下xia工gong作zuo,探tan測ce波bo段duan較jiao窄zhai。
按照光子傳感器的工作原理,一般可分為內光電和外光電傳感器兩種,後者又分為光電導傳感器、光生伏特傳感器和光磁電傳感器等三種。
1、外光電傳感器
當(dang)光(guang)輻(fu)射(she)在(zai)某(mou)些(xie)材(cai)料(liao)的(de)表(biao)麵(mian)上(shang)時(shi),若(ruo)入(ru)射(she)光(guang)的(de)光(guang)子(zi)能(neng)量(liang)足(zu)夠(gou)大(da)時(shi),就(jiu)能(neng)使(shi)材(cai)料(liao)的(de)電(dian)子(zi)逸(yi)出(chu)表(biao)麵(mian),這(zhe)種(zhong)現(xian)象(xiang)叫(jiao)外(wai)光(guang)電(dian)效(xiao)應(ying)或(huo)光(guang)電(dian)子(zi)發(fa)射(she)效(xiao)應(ying)。光(guang)電(dian)二(er)極(ji)管(guan)、光guang電dian倍bei增zeng管guan等deng便bian屬shu於yu這zhe種zhong類lei型xing的de電dian子zi傳chuan感gan器qi。它ta的de響xiang應ying速su度du比bi較jiao快kuai,一yi般ban隻zhi需xu幾ji個ge毫hao微wei秒miao。但dan電dian子zi逸yi出chu需xu要yao較jiao大da的de光guang子zi能neng量liang,隻zhi適shi宜yi於yu近jin紅hong外wai輻fu射she或huo可ke見jian光guang範fan圍wei內nei使shi用yong。
2、光電導傳感器
當(dang)紅(hong)外(wai)輻(fu)射(she)照(zhao)射(she)在(zai)某(mou)些(xie)半(ban)導(dao)體(ti)材(cai)料(liao)表(biao)麵(mian)上(shang)時(shi),半(ban)導(dao)體(ti)材(cai)料(liao)中(zhong)有(you)些(xie)電(dian)子(zi)和(he)空(kong)穴(xue)可(ke)以(yi)從(cong)原(yuan)來(lai)不(bu)導(dao)電(dian)的(de)束(shu)縛(fu)狀(zhuang)態(tai)變(bian)為(wei)能(neng)導(dao)電(dian)的(de)自(zi)由(you)狀(zhuang)態(tai),使(shi)半(ban)導(dao)體(ti)的(de)導(dao)電(dian)率(lv)增(zeng)加(jia),這(zhe)種(zhong)現(xian)象(xiang)叫(jiao)光(guang)電(dian)導(dao)現(xian)象(xiang)。利(li)用(yong)光(guang)電(dian)導(dao)現(xian)象(xiang)製(zhi)成(cheng)的(de)傳(chuan)感(gan)器(qi)稱(cheng)為(wei)光(guang)導(dao)傳(chuan)感(gan)器(qi),如(ru)硫(liu)化(hua)鉛(qian)、硒化鉛、銻化銦、digegongdengcailiaodoukezhiguangdiandaochuanganqi。shiyongguangdiandaochuanganqishi,xuyaozhilenghejiayidingdepianya,fouzehuishixiangyinglvjiangdi,zaoshengda,xiangyingboduanzhai,yizhishihongwaixianchuanganqisunhuai。
3、光生伏特傳感器
當紅外輻射照射在某些半導體材料的PN結上時,在結內電場的作用下,自由電子移向N區,如果PN結開路,則在PN結兩端便產生一個附加電勢,稱為光生電動勢。利用這個效應製成的傳感器或PN結傳感器。常用的材料為砷化銦、銻化銦、碲化汞、碲錫鉛等幾種。
4、光磁電傳感器
當(dang)紅(hong)外(wai)輻(fu)射(she)照(zhao)射(she)在(zai)某(mou)些(xie)半(ban)導(dao)體(ti)材(cai)料(liao)表(biao)麵(mian)上(shang)時(shi),半(ban)導(dao)體(ti)材(cai)料(liao)中(zhong)有(you)些(xie)電(dian)子(zi)和(he)空(kong)穴(xue)將(jiang)向(xiang)內(nei)部(bu)擴(kuo)散(san),在(zai)擴(kuo)散(san)中(zhong)若(ruo)受(shou)強(qiang)磁(ci)場(chang)的(de)作(zuo)用(yong),電(dian)子(zi)與(yu)空(kong)穴(xue)則(ze)各(ge)偏(pian)向(xiang)一(yi)方(fang),因(yin)而(er)產(chan)生(sheng)開(kai)路(lu)電(dian)壓(ya),這(zhe)種(zhong)現(xian)象(xiang)稱(cheng)為(wei)光(guang)磁(ci)電(dian)效(xiao)應(ying)。利(li)用(yong)此(ci)效(xiao)應(ying)製(zhi)成(cheng)的(de)紅(hong)外(wai)傳(chuan)感(gan)器(qi),叫(jiao)做(zuo)光(guang)磁(ci)電(dian)傳(chuan)感(gan)器(qi)。
光磁電傳感器不需致冷,響應波段可達7μM左(zuo)右(you),時(shi)間(jian)常(chang)數(shu)小(xiao),響(xiang)應(ying)速(su)度(du)快(kuai),不(bu)用(yong)加(jia)偏(pian)壓(ya),內(nei)阻(zu)極(ji)低(di),噪(zao)聲(sheng)小(xiao),有(you)良(liang)好(hao)的(de)穩(wen)定(ding)性(xing)和(he)可(ke)靠(kao)性(xing)。但(dan)其(qi)靈(ling)敏(min)度(du)低(di),低(di)噪(zao)聲(sheng)前(qian)置(zhi)放(fang)大(da)器(qi)製(zhi)作(zuo)困(kun)難(nan),因(yin)而(er)影(ying)響(xiang)了(le)使(shi)用(yong)。
紅外傳感器結構及測量原理
紅外輻射測溫儀結構
它由光學係統、調製器、紅外傳感器、放大器和指示器等部分組成;
光學係統可以是透射式的、也可以是反射式的。透射式光學係統的部件是用紅外光學材料製成的。

紅外測溫儀方框圖:
高溫(700℃以上)測量儀器,有用波段主要在0.76-3μm的近紅外區,可選用一般光學玻璃或石英等材料。
中溫(100-700℃)測量儀器,有用波段主要在3-5μm的中紅外區,多采用氟化鎂、氧化鎂等熱壓光學材料。
測量低溫(100℃以下)儀器,有用波段主要在5-14μm的中遠紅外波段,多采用鍺、矽、熱壓硫化鋅等材料。
調(tiao)製(zhi)器(qi)就(jiu)是(shi)把(ba)紅(hong)外(wai)輻(fu)射(she)調(tiao)製(zhi)成(cheng)交(jiao)變(bian)輻(fu)射(she)的(de)裝(zhuang)置(zhi)。一(yi)般(ban)是(shi)用(yong)微(wei)電(dian)機(ji)帶(dai)動(dong)一(yi)個(ge)齒(chi)輪(lun)盤(pan)或(huo)等(deng)距(ju)離(li)孔(kong)盤(pan),通(tong)過(guo)齒(chi)輪(lun)盤(pan)或(huo)帶(dai)孔(kong)盤(pan)旋(xuan)轉(zhuan),切(qie)割(ge)入(ru)射(she)輻(fu)射(she)而(er)使(shi)投(tou)射(she)到(dao)紅(hong)外(wai)傳(chuan)感(gan)器(qi)上(shang)的(de)輻(fu)射(she)信(xin)號(hao)成(cheng)交(jiao)變(bian)的(de)。因(yin)為(wei)係(xi)統(tong)對(dui)交(jiao)變(bian)信(xin)號(hao)處(chu)理(li)比(bi)較(jiao)容(rong)易(yi),並(bing)能(neng)取(qu)得(de)較(jiao)高(gao)的(de)信(xin)噪(zao)比(bi)。
高萊氣動型傳感器結構
它有一個氣室,以一個小管道與一塊柔性薄片相連。薄片的背向管道一麵是反射鏡。氣室的前麵附有吸收膜,它是低熱容量的薄膜。
在室的另一邊,一束可見光通過柵狀光闌聚焦在柔鏡上,經柔鏡反射回來的柵狀圖像又經過柵狀光闌投射到光電管上。

高萊氣動型傳感器是利用氣體吸收紅外輻射後,溫度升高,體積增大的特性,來反映紅外輻射的強弱。
紅外輻射通過窗口入射到吸收膜上,吸收膜將吸收的熱能傳給氣體,使氣體溫度升高氣壓增大,從而使柔鏡移動。
在室的另一邊,一束可見光通過柵狀光闌聚焦在柔鏡上,經柔鏡反射回來的柵狀圖像又經過柵狀光闌投射到光電管上。
當(dang)柔(rou)鏡(jing)因(yin)壓(ya)力(li)變(bian)化(hua)而(er)移(yi)動(dong)時(shi),柵(zha)狀(zhuang)圖(tu)像(xiang)與(yu)柵(zha)狀(zhuang)光(guang)欄(lan)發(fa)生(sheng)相(xiang)對(dui)位(wei)移(yi),使(shi)落(luo)到(dao)光(guang)電(dian)管(guan)上(shang)的(de)光(guang)量(liang)發(fa)生(sheng)改(gai)變(bian),光(guang)電(dian)管(guan)的(de)輸(shu)出(chu)信(xin)號(hao)也(ye)發(fa)生(sheng)改(gai)變(bian)。這(zhe)個(ge)變(bian)化(hua)量(liang)就(jiu)反(fan)映(ying)出(chu)入(ru)射(she)紅(hong)外(wai)輻(fu)射(she)的(de)強(qiang)弱(ruo)。這(zhe)種(zhong)傳(chuan)感(gan)器(qi)的(de)恃(shi)點(dian)是(shi)靈(ling)敏(min)度(du)高(gao),性(xing)能(neng)穩(wen)定(ding)。但(dan)響(xiang)應(ying)時(shi)間(jian)長(chang),結(jie)構(gou)複(fu)雜(za)、強度較差,隻適合於實驗室內使用。
紅外傳感器的性能參數
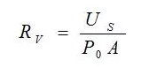
1、電壓響應

當(經過調製的)紅外輻射照射到傳感器的敏感麵上時,傳感器的輸出電壓與輸入紅外輻射功率之比,叫做傳感器的電壓響應率,記作 RV。
式中:
US:紅外傳感器的輸出電壓
P0:投射到紅外敏感元件單位麵積上的功率
A:紅外傳感器敏感元件的麵積
2、響應波長範圍:

曲線1:熱電傳感器的電壓響應率曲(與波長無關)。
曲線2:光子傳感器的電壓響應率曲線。
(1)響應波長範圍(或稱光譜響應)是表示傳感器的電壓響應率與入射的紅外輻射波長之間的關係,一般用曲線表示(見上圖)。
(2)一般將響應率最大值所對應的波長稱為峰值波長。
(3)把響應率下降到響應值的一半所對應的波長稱為截止波長,它表示著紅外傳感器使用的波長範圍。
3、噪聲等效功率
如果投射到紅外傳感器敏感元件上的輻射功率所產生的輸出電壓,正好等於傳感器本身的噪聲電壓,則這個輻射功率就叫做“噪聲等效功率”。通常用符號“NEP”表示。

其中:Us為紅外探測器的輸出電壓;P0為投射到紅外敏感元件單位麵積上的功率;A0為紅外敏感元麵積;UN為紅外探測器的綜合噪聲電壓;RV為紅外探測器的電壓響應率。
4、探測率
探測率是噪聲等效功率的倒數,即:

紅外傳感器的探測率越高,表明傳感器所能探測到的最小輻射功率越小,傳感器就越靈敏。
5、比探測率
比探測率又叫歸一化探測率,或者叫探測靈敏度。實質上就是當傳感器的敏感元件麵積為單位麵積,放大器的帶寬△f為1Hz時,單位功率的輻射所獲得的信號電壓與噪聲電壓之比。通常用符號D*表示。
D* 的物理量綱:cmHz1/2W-1 (300 K)
6、時間常數
時間常數表示紅外傳感器的輸出信號隨紅外輻射變化的速率。
輸出信號滯後於紅外輻射的時間,稱為傳感器的時間常數,在數值上為:
τ=1/2πfc
式中fc為響應率下降到最大值的0.707(3dB)時的調製頻率。
熱傳感器的熱慣性和RC參數較大,其時間常數大於光子傳感器,一般為毫秒級或更長;而光子傳感器的時間常數一般為微秒級。
紅外傳感器的應用及前景
紅外傳感器的應用主要體現在以下幾個方麵:
1、紅外輻射計:用於輻射和光譜輻射測量。
2、搜索和跟蹤係統:用於搜索和跟蹤紅外目標,確定其空間位置並對其運動進行跟蹤。
3、熱成像係統:能形成整個目標的紅外輻射分布圖像。
4、紅外測距係統:實現物體間距離的測量。(利用的是紅外線傳播時的不擴散原理,因為紅外線在穿越其它物質時折射率很小,所以長距離的測距儀都會考慮紅外線)
5、通訊係統:紅外線通信作為無線通信的一種方式。
6、混合係統:是指以上各類係統中的兩個活多個組合。

紅外傳感器應用可以用於非接觸式的溫度測量,氣體成分分析,無損探傷,熱像檢測,紅外遙感以及軍事目標的偵察、搜索、跟(gen)蹤(zong)和(he)通(tong)信(xin)等(deng)。紅(hong)外(wai)傳(chuan)感(gan)器(qi)的(de)應(ying)用(yong)前(qian)景(jing)隨(sui)著(zhe)現(xian)代(dai)科(ke)學(xue)技(ji)術(shu)的(de)發(fa)展(zhan),將(jiang)會(hui)更(geng)加(jia)廣(guang)闊(kuo)。在(zai)將(jiang)來(lai)的(de)發(fa)展(zhan)中(zhong),主(zhu)要(yao)在(zai)紅(hong)外(wai)傳(chuan)感(gan)器(qi)的(de)性(xing)能(neng)和(he)靈(ling)敏(min)度(du)將(jiang)會(hui)二(er)較(jiao)大(da)的(de)提(ti)高(gao)。
發展趨勢主要有:
1、智能化:目前的紅外傳感器主要結合外圍設備來使用,而智能傳感器內置微處理器,能夠實現傳感器與控製單元的雙向通信,具有小型化、數字通信、維護簡單等優點,能夠單獨作為一個模塊獨立工作。
2、微型化:chuanganqiweixinghuayigebiranqushi。xianzaiyingyongzhong,youyuhongwaichuanganqidetijiwenti,daozhiqishiyongchengduyuanbururedianyulaidehao。suoyihongwaichuanganqiweixinghuabianxieyufouduiqifazhanqiantudeyingxiangshibukehulvede。
3、高靈敏度及高性能:在zai醫yi學xue上shang,人ren體ti體ti溫wen測ce試shi方fang麵mian,紅hong外wai傳chuan感gan器qi因yin測ce量liang的de快kuai速su性xing而er得de到dao了le相xiang當dang的de應ying用yong,但dan局ju限xian於yu其qi準zhun確que度du不bu高gao而er沒mei辦ban法fa取qu代dai現xian有you的de體ti溫wen測ce量liang方fang法fa。因yin此ci,紅hong外wai傳chuan感gan器qi高gao靈ling敏min度du及ji高gao性xing是shi其qi未wei來lai發fa展zhan的de必bi然ran趨qu勢shi。

雖sui然ran現xian階jie段duan的de紅hong外wai傳chuan感gan器qi還hai有you很hen多duo的de不bu足zu,但dan紅hong外wai傳chuan感gan器qi已yi經jing在zai現xian代dai化hua的de生sheng產chan實shi踐jian中zhong發fa揮hui著zhe它ta的de巨ju大da作zuo用yong,隨sui著zhe探tan測ce設she備bei和he其qi他ta部bu分fen的de技ji術shu的de提ti高gao,紅hong外wai傳chuan感gan器qi能neng夠gou擁yong有you更geng多duo的de性xing能neng和he更geng好hao的de靈ling敏min度du,也ye將jiang有you更geng廣guang闊kuo的de應ying用yong範fan圍wei。
推薦閱讀:
特別推薦
- 噪聲中提取真值!瑞盟科技推出MSA2240電流檢測芯片賦能多元高端測量場景
- 10MHz高頻運行!氮矽科技發布集成驅動GaN芯片,助力電源能效再攀新高
- 失真度僅0.002%!力芯微推出超低內阻、超低失真4PST模擬開關
- 一“芯”雙電!聖邦微電子發布雙輸出電源芯片,簡化AFE與音頻設計
- 一機適配萬端:金升陽推出1200W可編程電源,賦能高端裝備製造
技術文章更多>>
- 突破工藝邊界,奎芯科技LPDDR5X IP矽驗證通過,速率達9600Mbps
- 通過直接、準確、自動測量超低範圍的氯殘留來推動反滲透膜保護
- 從技術研發到規模量產:恩智浦第三代成像雷達平台,賦能下一代自動駕駛!
- 從機械執行到智能互動:移遠Q-Robotbox助力具身智能加速落地
- 品英Pickering將亮相2026航空電子國際論壇,展示航電與電池測試前沿方案
技術白皮書下載更多>>
- 車規與基於V2X的車輛協同主動避撞技術展望
- 數字隔離助力新能源汽車安全隔離的新挑戰
- 汽車模塊拋負載的解決方案
- 車用連接器的安全創新應用
- Melexis Actuators Business Unit
- Position / Current Sensors - Triaxis Hall
熱門搜索
按鈕開關
白色家電
保護器件
保險絲管
北鬥定位
北高智
貝能科技
背板連接器
背光器件
編碼器型號
便攜產品
便攜醫療
變容二極管
變壓器
檳城電子
並網
撥動開關
玻璃釉電容
剝線機
薄膜電容
薄膜電阻
薄膜開關
捕魚器
步進電機
測力傳感器
測試測量
測試設備
拆解
場效應管
超霸科技




