線性光耦原理與電路設計
發布時間:2019-08-20 責任編輯:wenwei
【導讀】guanggelishiyizhonghenchangyongdexinhaogelixingshi。changyongguangouqijianjiqiwaiweidianluzucheng。youyuguangoudianlujiandan,zaishuzigelidianluhuoshujuchuanshudianluzhongchangchangyongdao,ruUART協議的20mA電流環。對於模擬信號,光耦因為輸入輸出的線形較差,並且隨溫度變化較大,限製了其在模擬信號隔離的應用。
1. 線形光耦介紹
guanggelishiyizhonghenchangyongdexinhaogelixingshi。changyongguangouqijianjiqiwaiweidianluzucheng。youyuguangoudianlujiandan,zaishuzigelidianluhuoshujuchuanshudianluzhongchangchangyongdao,ruUART協議的20mA電流環。對於模擬信號,光耦因為輸入輸出的線形較差,並且隨溫度變化較大,限製了其在模擬信號隔離的應用。
對於高頻交流模擬信號,變壓器隔離是最常見的選擇,但對於支流信號卻不適用。一些廠家提供隔離放大器作為模擬信號隔離的解決方案,如ADI的AD202,能夠提供從直流到幾K的頻率內提供0.025%的線性度,但這種隔離器件內部先進行電壓-頻率轉換,對產生的交流信號進行變壓器隔離,然後進行頻率-電壓轉換得到隔離效果。集成的隔離放大器內部電路複雜,體積大,成本高,不適合大規模應用。
monixinhaogelideyigebijiaohaodexuanzeshishiyongxianxingguangou。xianxingguangoudegeliyuanliyuputongguangoumeiyouchabie,zhishijiangputongguangoudedanfadanshoumoshishaojiagaibian,zengjiayigeyongyufankuideguangjieshoudianluyongyufankui。zheyang,suiranlianggeguangjieshoudianludoushifeixianxingde,danlianggeguangjieshoudianludefeixianxingtexingdoushiyiyangde,zheyang,jiukeyitongguofankuitongludefeixianxinglaidixiaozhitongtongludefeixianxing,congerdadaoshixianxianxinggelidemude。
市場上的線性光耦有幾中可選擇的芯片,如Agilent公司的HCNR200/201,TI子公司TOAS的TIL300,CLARE的LOC111等。這裏以HCNR200/201為例介紹。
2. 芯片介紹與原理說明
HCNR200/201的內部框圖如下所示

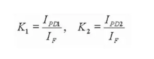
其中1、2引作為隔離信號的輸入,3、4引腳用於反饋,5、6引腳用於輸出。1、2引腳之間的電流記作IF,3、4引腳之間和5、6引腳之間的電流分別記作IPD1和IPD2。輸入信號經過電壓-電流轉化,電壓的變化體現在電流IF上,IPD1和IPD2基本與IF成線性關係,線性係數分別記為K1和K2,即

K1與K2一般很小(HCNR200是0.50%),並且隨溫度變化較大(HCNR200的變化範圍在0.25%到0.75%之間),但芯片的設計使得K1和K2相等。在後麵可以看到,在合理的外圍電路設計中,真正影響輸出/輸入比值的是二者的比值K3,線性光耦正利用這種特性才能達到滿意的線性度的。
HCNR200和HCNR201的內部結構完全相同,差別在於一些指標上。相對於HCNR200,HCNR201提供更高的線性度。
采用HCNR200/201進行隔離的一些指標如下所示:
* 線性度:HCNR200:0.25%,HCNR201:0.05%;
* 線性係數K3:HCNR200:15%,HCNR201:5%;
* 溫度係數:-65ppm/oC;
* 隔離電壓:1414V;
* 信號帶寬:直流到大於1MHz。
從(cong)上(shang)麵(mian)可(ke)以(yi)看(kan)出(chu),和(he)普(pu)通(tong)光(guang)耦(ou)一(yi)樣(yang),線(xian)性(xing)光(guang)耦(ou)真(zhen)正(zheng)隔(ge)離(li)的(de)是(shi)電(dian)流(liu),要(yao)想(xiang)真(zhen)正(zheng)隔(ge)離(li)電(dian)壓(ya),需(xu)要(yao)在(zai)輸(shu)出(chu)和(he)輸(shu)出(chu)處(chu)增(zeng)加(jia)運(yun)算(suan)放(fang)大(da)器(qi)等(deng)輔(fu)助(zhu)電(dian)路(lu)。下(xia)麵(mian)對(dui)HCNR200/201的典型電路進行分析,對電路中如何實現反饋以及電流-電壓、電壓-電流轉換進行推導與說明。
3. 典型電路分析
Agilent公司的HCNR200/201的手冊上給出了多種實用電路,其中較為典型的一種如下圖所示:

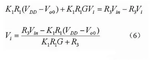
設輸入端電壓為Vin,輸出端電壓為Vout,光耦保證的兩個電流傳遞係數分別為K1、K2,顯然,,和之間的關係取決於和之間的關係。
將前級運放的電路提出來看,如下圖所示:

設運放負端的電壓為,運放輸出端的電壓為,在運放不飽和的情況下二者滿足下麵的關係:
Vo=Voo-GVi (1)
其中是在運放輸入差模為0時的輸出電壓,G為運放的增益,一般比較大。
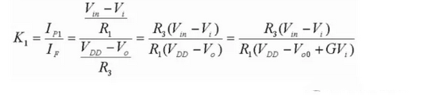
忽略運放負端的輸入電流,可以認為通過R1的電流為IP1,根據R1的歐姆定律得:

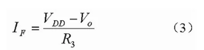
通過R3兩端的電流為IF,根據歐姆定律得:

其中,為光耦2腳的電壓,考慮到LED導通時的電壓基本不變,這裏的作為常數對待。
根據光耦的特性,即
K1=IP1/IF (4)
將和的表達式代入上式,可得:

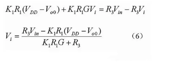
上式經變形可得到:

將的表達式代入(3)式可得:

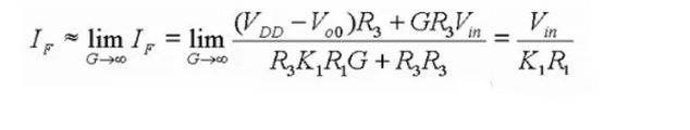
考慮到G特別大,則可以做以下近似:

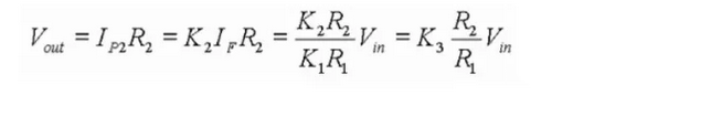
這樣,輸出與輸入電壓的關係如下:

可見,在上述電路中,輸出和輸入成正比,並且比例係數隻由K3和R1、R2確定。一般選R1=R2,達到隻隔離不放大的目的。
4. 輔助電路與參數確定
上麵的推導都是假定所有電路都是工作在線性範圍內的,要想做到這一點需要對運放進行合理選型,並且確定電阻的阻值。
4.1 運放選型
運放可以是單電源供電或正負電源供電,上麵給出的是單電源供電的例子。為了能使輸入範圍能夠從0到VCC,需要運放能夠滿擺幅工作,另外,運放的工作速度、壓擺率不會影響整個電路的性能。TI公司的LMV321單運放電路能夠滿足以上要求,可以作為HCNR200/201的外圍電路。
4.2 阻值確定
電阻的選型需要考慮運放的線性範圍和線性光耦的最大工作電流IFmax。K1已知的情況下,IFmax又確定了IPD1的最大值IPD1max,這樣,由於Vo的範圍最小可以為0,這樣,由於考慮到IFmax大有利於能量的傳輸,這樣,一般取最大值。
另外,由於工作在深度負反饋狀態的運放滿足虛短特性,因此,考慮IPD1的限製,這樣,R2的確定可以根據所需要的放大倍數確定,例如如果不需要放大,隻需將R2=R1即可。
另外由於光耦會產生一些高頻的噪聲,通常在R2處並聯電容,構成低通濾波器,具體電容的值由輸入頻率以及噪聲頻率確定。
4.3 參數確定實例
假設確定Vcc=5V,輸入在0-4V之間,輸出等於輸入,采用LMV321運放芯片以及上麵電路,下麵給出參數確定的過程。
* 確定IFmax:HCNR200/201的手冊上推薦器件工作的25mA左右;
* 確定R3:R3=5V/25mA=200;
* 確定R1:;
* 確定R2:R2=R1=32K。
5. 總結
本文給出了線性光耦的簡單介紹以及電路設計、參數選擇等使用中的注意事項與參考設計,並對電路的設計方法給出相應的推導與解釋,供廣大電子工程師參考。
推薦閱讀:
特別推薦
- 噪聲中提取真值!瑞盟科技推出MSA2240電流檢測芯片賦能多元高端測量場景
- 10MHz高頻運行!氮矽科技發布集成驅動GaN芯片,助力電源能效再攀新高
- 失真度僅0.002%!力芯微推出超低內阻、超低失真4PST模擬開關
- 一“芯”雙電!聖邦微電子發布雙輸出電源芯片,簡化AFE與音頻設計
- 一機適配萬端:金升陽推出1200W可編程電源,賦能高端裝備製造
技術文章更多>>
- 一秒檢測,成本降至萬分之一,光引科技把幾十萬的台式光譜儀“搬”到了手腕上
- AI服務器電源機櫃Power Rack HVDC MW級測試方案
- 突破工藝邊界,奎芯科技LPDDR5X IP矽驗證通過,速率達9600Mbps
- 通過直接、準確、自動測量超低範圍的氯殘留來推動反滲透膜保護
- 從技術研發到規模量產:恩智浦第三代成像雷達平台,賦能下一代自動駕駛!
技術白皮書下載更多>>
- 車規與基於V2X的車輛協同主動避撞技術展望
- 數字隔離助力新能源汽車安全隔離的新挑戰
- 汽車模塊拋負載的解決方案
- 車用連接器的安全創新應用
- Melexis Actuators Business Unit
- Position / Current Sensors - Triaxis Hall
熱門搜索
按鈕開關
白色家電
保護器件
保險絲管
北鬥定位
北高智
貝能科技
背板連接器
背光器件
編碼器型號
便攜產品
便攜醫療
變容二極管
變壓器
檳城電子
並網
撥動開關
玻璃釉電容
剝線機
薄膜電容
薄膜電阻
薄膜開關
捕魚器
步進電機
測力傳感器
測試測量
測試設備
拆解
場效應管
超霸科技



