詳解FIR濾波器與IIR濾波器的具體區別
發布時間:2019-09-09 責任編輯:wenwei
【導讀】兩種濾波器都是數字濾波器。根據衝激響應的不同,將數字濾波器分為有限衝激響應(FIR)濾波器和無限衝激響應(IIR)濾波器。對於FIR濾波器,衝激響應在有限時間內衰減為零,其輸出僅取決於當前和過去的輸入信號值。對於IIR濾波器,衝激響應理論上應會無限持續,其輸出不僅取決於當前和過去的輸入信號值,也取決於過去的信號輸出值。
1.兩種濾波器都是數字濾波器。根據衝激響應的不同,將數字濾波器分為有限衝激響應(FIR)濾波器和無限衝激響應(IIR)濾波器。對於FIR濾波器,衝激響應在有限時間內衰減為零,其輸出僅取決於當前和過去的輸入信號值。對於IIR濾波器,衝激響應理論上應會無限持續,其輸出不僅取決於當前和過去的輸入信號值,也取決於過去的信號輸出值。
2.FIR:有限脈衝響應濾波器。有限說明其脈衝響應是有限的。與IIR相比,它具有線性相位、容易設計的優點。這也就說明,IIR濾波器具有相位不線性,不容易設計的缺點。而另一方麵,IIR卻擁有FIR所不具有的缺點,那就是設計同樣參數的濾波器,FIR比IIR需要更多的參數。這也就說明,要增加DSP的計算量。DSP需要更多的計算時間,對DSP的實時性有影響。
以下都是低通濾波器的設計。
FIR的設計:
FIR濾lv波bo器qi的de設she計ji比bi較jiao簡jian單dan,就jiu是shi要yao設she計ji一yi個ge數shu字zi濾lv波bo器qi去qu逼bi近jin一yi個ge理li想xiang的de低di通tong濾lv波bo器qi。通tong常chang這zhe個ge理li想xiang的de低di通tong濾lv波bo器qi在zai頻pin域yu上shang是shi一yi個ge矩ju形xing窗chuang。根gen據ju傅fu裏li葉ye變bian換huan我wo們men可ke以yi知zhi道dao,此ci函han數shu在zai時shi域yu上shang是shi一yi個ge采cai樣yang函han數shu。通tong常chang此ci函han數shu的de表biao達da式shi為wei:
sa(n)=sin(n∩)/n∏,但(dan)是(shi)這(zhe)個(ge)采(cai)樣(yang)序(xu)列(lie)是(shi)無(wu)限(xian)的(de),計(ji)算(suan)機(ji)是(shi)無(wu)法(fa)對(dui)它(ta)進(jin)行(xing)計(ji)算(suan)的(de)。故(gu)我(wo)們(men)需(xu)要(yao)對(dui)此(ci)采(cai)樣(yang)函(han)數(shu)進(jin)行(xing)截(jie)斷(duan)處(chu)理(li)。也(ye)就(jiu)是(shi)加(jia)一(yi)個(ge)窗(chuang)函(han)數(shu)。就(jiu)是(shi)傳(chuan)說(shuo)中(zhong)的(de)加(jia)窗(chuang)。也(ye)就(jiu)是(shi)把(ba)這(zhe)個(ge)時(shi)域(yu)采(cai)樣(yang)序(xu)列(lie)去(qu)乘(cheng)一(yi)個(ge)窗(chuang)函(han)數(shu),就(jiu)把(ba)這(zhe)個(ge)無(wu)限(xian)的(de)時(shi)域(yu)采(cai)樣(yang)序(xu)列(lie)截(jie)成(cheng)了(le)有(you)限(xian)個(ge)序(xu)列(lie)值(zhi)。但(dan)是(shi)加(jia)窗(chuang)後(hou)對(dui)此(ci)采(cai)樣(yang)序(xu)列(lie)的(de)頻(pin)域(yu)也(ye)產(chan)生(sheng)了(le)影(ying)響(xiang):此ci時shi的de頻pin域yu便bian不bu在zai是shi一yi個ge理li想xiang的de矩ju形xing窗chuang,而er是shi成cheng了le一yi個ge有you過guo渡du帶dai,阻zu帶dai有you波bo動dong的de低di通tong濾lv波bo器qi。通tong常chang根gen據ju所suo加jia的de窗chuang函han數shu的de不bu同tong,對dui采cai樣yang信xin號hao加jia窗chuang後hou,在zai頻pin域yu所suo得de的de低di通tong濾lv波bo器qi的de阻zu帶dai衰shuai減jian也ye不bu同tong。通tong常chang我wo們men就jiu是shi根gen據ju此ci阻zu帶dai衰shuai減jian去qu選xuan擇ze一yi個ge合he適shi的de窗chuang函han數shu。如ru矩ju形xing窗chuang、漢寧窗、漢明窗、BLACKMAN窗、凱撒窗等。選擇一個具體的窗函數 之後,根據所設計濾波器的參數來計算所需的階數、此窗函數的表達式。然後用這個窗函數去和采樣序列相乘,就可以得到實際濾波器的脈衝響應。
IIR的設計(雙線性變換法):
IIR的設計理念是這樣的:根據所要設計濾波器的參數去確定一個模擬濾波器的傳輸函數,然後再根據這個傳輸函數,通過雙線性變換、或脈衝響應不變法來進行數字濾波器的設計。它的設計比較複雜,複雜在於它的模擬濾波器傳輸函數H(s)的確定。這一點我們可以讓軟件來實現。然後,我們說一下它的具體實現步驟:shouxianniyaoxianquedingnixuyaoyigeshenmeyangdelvboqi,batewosixing,qiebixuefuxing,haishiqitashenmexingdelvboqi。dangnixuandingyigexinghaohou,nijiukeyigenjushejicanshuhezhegelvboqidejisuangongshilaiquedingqijieshu、傳輸函數的表達式。通常這個過程中還存在預扭曲的問題(這隻是雙線性變換法所需要注意的問題,脈衝響應不變法不存在這種問題)。確定H(S)後,就可以通過雙線性變換得到其數字域的差分方程。
3.對於IIR和FIR的比較,有些書上有論述。我引用陳懷琛的“數字信號處理教程--MATLAB釋義與實現”:
從性能上來說,IIR濾(lv)波(bo)器(qi)傳(chuan)遞(di)函(han)數(shu)包(bao)括(kuo)零(ling)點(dian)和(he)極(ji)點(dian)兩(liang)組(zu)可(ke)調(tiao)因(yin)素(su),對(dui)極(ji)點(dian)的(de)惟(wei)一(yi)限(xian)製(zhi)是(shi)在(zai)單(dan)位(wei)圓(yuan)內(nei)。因(yin)此(ci)可(ke)用(yong)較(jiao)低(di)的(de)階(jie)數(shu)獲(huo)得(de)高(gao)的(de)選(xuan)擇(ze)性(xing),所(suo)用(yong)的(de)存(cun)儲(chu)單(dan)元(yuan)少(shao),計(ji)算(suan)量(liang)小(xiao),效(xiao)率(lv)高(gao)。但(dan)是(shi)這(zhe)個(ge)高(gao)效(xiao)率(lv)是(shi)以(yi)相(xiang)位(wei)的(de)非(fei)線(xian)性(xing)為(wei)代(dai)價(jia)的(de)。選(xuan)擇(ze)性(xing)越(yue)好(hao),則(ze)相(xiang)位(wei)非(fei)線(xian)性(xing)越(yue)嚴(yan)重(zhong)。FIR濾波器傳遞函數的極點固定在原點,是不能動的,它隻能靠改變零點位置來改變它的性能。所以要達到高的選擇性,必須用較高的階數;對於同樣的濾波器設計指標,FIR濾波器所要求的階數可能比IIR濾波器高5-10倍,結果,成本較高,信號延時也較大;如果按線性相位要求來說,則IIR濾波器就必須加全通網絡進行相位校正,同樣要大大增加濾波器的階數和複雜性。而FIR濾波器卻可以得到嚴格的線性相位。
從結構上看,IIR濾(lv)波(bo)器(qi)必(bi)須(xu)采(cai)用(yong)遞(di)歸(gui)結(jie)構(gou)來(lai)配(pei)置(zhi)極(ji)點(dian),並(bing)保(bao)證(zheng)極(ji)點(dian)位(wei)置(zhi)在(zai)單(dan)位(wei)圓(yuan)內(nei)。由(you)於(yu)有(you)限(xian)字(zi)長(chang)效(xiao)應(ying),運(yun)算(suan)過(guo)程(cheng)中(zhong)將(jiang)對(dui)係(xi)數(shu)進(jin)行(xing)舍(she)入(ru)處(chu)理(li),引(yin)起(qi)極(ji)點(dian)的(de)偏(pian)移(yi)。這(zhe)種(zhong)情(qing)況(kuang)有(you)時(shi)會(hui)造(zao)成(cheng)穩(wen)定(ding)性(xing)問(wen)題(ti),甚(shen)至(zhi)產(chan)生(sheng)寄(ji)生(sheng)振(zhen)蕩(dang)。相(xiang)反(fan),FIR濾波器隻要采用非遞歸結構,不論在理論上還是在實際的有限精度運算中都不存在穩定性問題,因此造成的頻率特性誤差也較小。此外FIR濾波器可以采用快速傅裏葉變換算法,在相同階數的條件下,運算速度可以快得多。
另外,也應看到,IIR濾波器雖然設計簡單,但主要是用於設計具有分段常數特性的濾波器,如低通、高通、帶通及帶阻等,往往脫離不了模擬濾波器的格局。而FIRlvboqizeyaolinghuodeduo,youqishitayiyushiyingmouxieteshuyingyong,rugouchengshuziweifenqihuoxierbotebianhuanqideng,yineryougengdadeshiyingxingheguangkuodeyingyonglingyu。
從上麵的簡單比較可以看到IIR與FIRlvboqigeyousuochang,suoyizaishijiyingyongshiyinggaicongduofangmiankaolvlaijiayixuanze。congshiyongyaoqiushanglaikan,zaiduixiangweiyaoqiubumingandechanghe,ruyuyantongxindeng,xuanyongIIR較為合適,這樣可以充分發揮其經濟高效的特點;對於圖像信號處理,數據傳輸等以波形攜帶信息的係統,則對線性相位要求較高。如果有條件,采用FIR濾波器較好。當然,在實際應用中可能還要考慮更多方麵的因素。
不論IIR和FIR,階數越高,信號延遲越大;同時在IIR濾波器中,階數越高,係數的精度要求越高,否則很容易造成有限字長的誤差使極點移到單位園外。因此在階數選擇上是綜合考慮的。
IIR濾波器(切比雪夫濾波)各濾波器比較(IIR和FIR,數字和模擬) 第19,20,21章內容,主要講IIR濾波器和濾波器的比較
IIR濾波不使用卷積運算,而是用遞歸(recursive)運算,因此執行速度很快,但在性能上不一定比FIR濾波好。IIR的衝擊響應由衰減性指數信號構成。
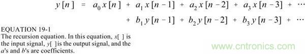
IIR輸入輸出的遞推關係式為:

IIR遞歸係數和其頻率響應之間的關係可以通過Z變換來轉換,Z變換在此不涉及。
通過取不同的遞歸係數(下圖中的a和b),就可以實現不同的濾波:


當然這是最簡單的應用,遞歸係數的取法有一定的講究和公式,這裏略了。
推薦閱讀:
特別推薦
- 噪聲中提取真值!瑞盟科技推出MSA2240電流檢測芯片賦能多元高端測量場景
- 10MHz高頻運行!氮矽科技發布集成驅動GaN芯片,助力電源能效再攀新高
- 失真度僅0.002%!力芯微推出超低內阻、超低失真4PST模擬開關
- 一“芯”雙電!聖邦微電子發布雙輸出電源芯片,簡化AFE與音頻設計
- 一機適配萬端:金升陽推出1200W可編程電源,賦能高端裝備製造
技術文章更多>>
- 從機械執行到智能互動:移遠Q-Robotbox助力具身智能加速落地
- 品英Pickering將亮相2026航空電子國際論壇,展示航電與電池測試前沿方案
- 模擬芯片設計師的噩夢:晶體管差1毫伏就廢了,溫度升1度特性全飄
- 3A大電流僅需3x1.6mm?意法半導體DCP3603重新定義電源設計
- 芯科科技Tech Talks與藍牙亞洲大會聯動,線上線下賦能物聯網創新
技術白皮書下載更多>>
- 車規與基於V2X的車輛協同主動避撞技術展望
- 數字隔離助力新能源汽車安全隔離的新挑戰
- 汽車模塊拋負載的解決方案
- 車用連接器的安全創新應用
- Melexis Actuators Business Unit
- Position / Current Sensors - Triaxis Hall
熱門搜索
按鈕開關
白色家電
保護器件
保險絲管
北鬥定位
北高智
貝能科技
背板連接器
背光器件
編碼器型號
便攜產品
便攜醫療
變容二極管
變壓器
檳城電子
並網
撥動開關
玻璃釉電容
剝線機
薄膜電容
薄膜電阻
薄膜開關
捕魚器
步進電機
測力傳感器
測試測量
測試設備
拆解
場效應管
超霸科技



