使用LCC補償方案的無線電能傳輸
發布時間:2021-03-03 來源:卓晴 責任編輯:wenwei
【導讀】在zai無wu線xian磁ci共gong振zhen電dian能neng傳chuan輸shu係xi統tong中zhong,由you於yu發fa送song線xian圈quan與yu接jie收shou線xian圈quan之zhi間jian往wang往wang具ju有you很hen大da的de間jian隔ge,或huo者zhe沒mei有you對dui齊qi,使shi得de兩liang個ge線xian圈quan之zhi間jian互hu感gan係xi數shu往wang往wang很hen低di。通tong常chang情qing況kuang下xia都dou小xiao於yu0.3。這種情況在 全國大學生智能車節能組[1] 比賽中情況會更糟。由於車模行駛到發送線圈上,依靠簡單的光電或者磁場定位,車模上的接收線圈往往很難對準發送線圈的中心。
1.設計背景
在zai無wu線xian磁ci共gong振zhen電dian能neng傳chuan輸shu係xi統tong中zhong,由you於yu發fa送song線xian圈quan與yu接jie收shou線xian圈quan之zhi間jian往wang往wang具ju有you很hen大da的de間jian隔ge,或huo者zhe沒mei有you對dui齊qi,使shi得de兩liang個ge線xian圈quan之zhi間jian互hu感gan係xi數shu往wang往wang很hen低di。通tong常chang情qing況kuang下xia都dou小xiao於yu0.3。這種情況在 全國大學生智能車節能組[1] 比賽中情況會更糟。由於車模行駛到發送線圈上,依靠簡單的光電或者磁場定位,車模上的接收線圈往往很難對準發送線圈的中心。
為wei了le避bi免mian線xian圈quan漏lou磁ci造zao成cheng的de電dian感gan對dui於yu電dian能neng傳chuan輸shu的de阻zu礙ai,往wang往wang需xu要yao對dui發fa送song和he接jie收shou線xian圈quan使shi用yong電dian容rong進jin行xing補bu償chang。在zai前qian幾ji天tian測ce試shi了le簡jian單dan的de電dian容rong串chuan聯lian補bu償chang,可ke以yi獲huo得de50W傳輸功率,效率在75% 左(zuo)右(you)。串(chuan)聯(lian)補(bu)償(chang)電(dian)路(lu)雖(sui)然(ran)設(she)計(ji)簡(jian)單(dan),但(dan)是(shi)對(dui)於(yu)發(fa)送(song)係(xi)統(tong)存(cun)在(zai)不(bu)穩(wen)定(ding)情(qing)況(kuang)。特(te)別(bie)是(shi)當(dang)負(fu)載(zai)出(chu)現(xian)較(jiao)大(da)波(bo)動(dong)時(shi),會(hui)引(yin)起(qi)發(fa)送(song)線(xian)圈(quan)中(zhong)的(de)電(dian)流(liu)出(chu)現(xian)很(hen)大(da)的(de)波(bo)動(dong)。
為了適應負載的波動,往往采用LCC電路補償形式。它可以在了負載變化的情況下,維持發送線圈中的電流恒定,從而提高了係統的穩定性。
2.LCC補償方案
LCC電路補償是指在原來的發送線圈上增加三個補償器件,它們組成一個T型的電路網絡:
● T型左邊支路:串聯補償電感Lp
● T型右邊支路:串聯補償電容Cps
● T型下邊支路:並聯補償電容Cpp
發送和接收線圈采取對稱的LCC補償方案。

采用LCC進行補充的無線發送和接收電路
3.對稱T型補償電路
相比原來串聯補償,隻有一個補償電容參數,在設計時隻需要考慮到電路諧振頻率便可以求出補償電容的參數。
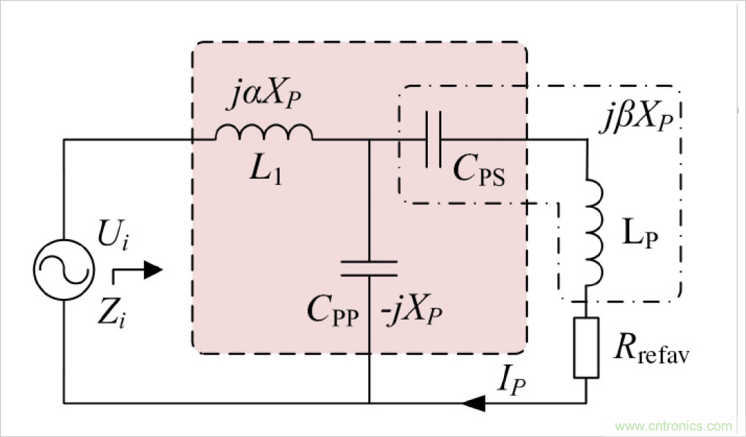
采用LCC補償方案,每邊補償網絡的參數變成了三個參數:Lp,Cps,Cpp。這使得電路設計變得複雜。
為了簡化設計,往往以下麵對稱T型網絡為基礎來設計電路。在負載Z0與電源Ui之間,使用了兩個jX(電感)和一個-jX(電容)組成了一個T型補償網絡。其中三個器件在工作頻率下對應的電抗幅值均相同。因此這個電路在設計過程中隻有一個參數X,因此設計過程簡單。

對稱梯形電路結構
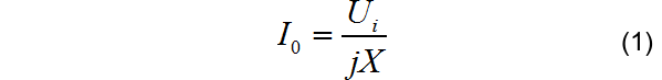
這個電路最重要的一個特性,就是負載Z0的工作電流I0是一個恒定值:
它與負載Z0沒有關係。如果負載Z0就是對應的發送線圈中對應副邊的反射電阻,這也說明發送線圈中的電流I0不會隨著負載的變化而改變,這使得係統保持穩定。
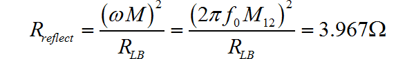
如果接收線圈已經進行很好的電容補償,對應線圈的負載假設為RL,那麼通過發送和接收線圈的耦合,在發送線圈所對應的反射電阻:

因此,無論實際負載RL的變化,還是發送和接收線圈之間的互感M的變化,反映在發送線圈中都是改變了對應的反射阻抗的大小。
02 LCC補償網絡參數設計
根據在 無線充電係統在輸出部分采用LCC拓撲結構綜述研究[2] 中的方案設計LCC的網絡參數。

發送和接收線圈
發送和接收線圈參數:
● 電感量:29微亨;
● 互感量:在相距3厘米時,互感量為9.5微亨;
1.設計條件
(1)輸出負載
假設電阻負載RL=10Ω。經過全橋整流之後,根據 全橋整流等效負載阻抗是多少?[3] 討論,整流全橋之前的阻抗大約是:
假設工作頻率:f0=95kHz。
原邊的反射電阻:

假設輸出功率:
。
(2)輸入功率
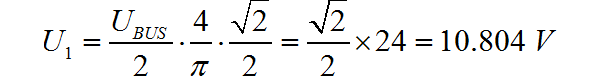
工作電壓:
。
對應的基波的有效值:


方波以及對應的基波峰值
假設原邊到負載之間的效率為:
。
因此電源在反射上的功率為:
流經反射電阻的電流:


原邊LCC補償結構
2.計算結果
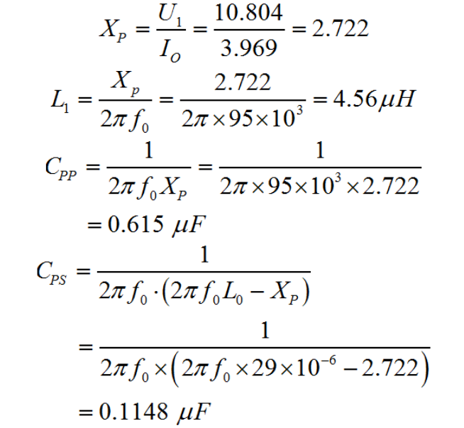
根據前麵計算出的I0的大小,可以分分別求出LCC補償器件的參數:

經過計算之後的LCC補償參數:

3.誤差影響分析
在實際實驗中,由於相關的電感L1,電容Cpp,Cps與設計參數會有相應的差別,主要原因包括:
● 隻能通過規格的電感、電容通過串並聯製作。所以它們隻能取與設計相近的數值;
● 滿足ZVS(Zero Voltage Switch)條件:逆變器需要呈現感性條件。
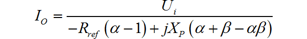
在 Applying LCC compenstation Network to Dynamic Wireless Charging System[4]給出了網絡參數偏離實際對稱狀態下的表達式。以LCC補償下支路Xp為基礎,左手偏離比率定義為
;右手偏離比率定義為:
,那麼流經耦合線圈的電流表達式為:

從公式中可以看到,當α,β等於1時,流經耦合線圈的電流是一個常量:
。
下圖顯示了U1=300V,Xp=12歐姆,Rref=8Ω的情況下,不同的α,β對於電流的影響。

α,β對於耦合線圈電流的影響
4.製作LCC補償網絡
(1)製作電感Lp
主要製作的電感電感量:Lp=4.56uH

最初的電感骨架
環形骨架參數:
α,β尺寸:32mm×20mm×11mm
α,β匝數:N1=42
α,β電感:L1=203.6uH;
根據Lp要求,需要製作的匝數為:

利用Litz線繞製6匝電感,測量電感:L=5.895uH。

繞製的6匝電感
(2)製作Cpp,Cps
使用0.22uF的電容通過串並聯製作Cpp,Cps。

製作的電容
● 兩個電容串聯製作Cps。Cps=0.11uH。
● 三個電容並聯製作Cpp。Cpp=0.66uH。
(3)補償網絡模塊
利用 粘貼銅箔簡易實驗電路製作[5] 製作LCC補償網絡電路。

製作的LCC補償模塊
LCC網絡參數:
○ Lp=5.901uH
○ Cpp=650.2nF
○ Cps=104.8nF

連接在一起的耦合實驗品台

發送線圈的LCC補償網絡(左)接收線圈的全橋整流(右)
03 實驗測試
1.空載測試
將接收線圈移開,隻測量發送線圈在空載下工作情況。

發送線圈在空載下測量
下麵顯示了在不同的工作頻率下,發送電路的工作電流變化情況。可以看到在設計的工作頻率點95kHz左右,係統工作電流最小,隻有60mA左右。

不同頻率下的空載電流
ruguoshijiandandechuanlianbuchang,zaifasongxianquankongzaishi,gongzuodianliuzehuidadaozuida。cishixitongdegonghaoyezuida,zhexiediangonglvdouxiaohaozaiqudongdianluhegongzuoxianquanshang。
經過LCC補償,情況則相反,在空載下,係統的工作電流自動達到最小。因此不需要係統進行額外的電流控製。
2.帶載實驗
將接收線圈與發送線圈對齊,並在全橋整流之後連接兩個50W30歐姆的水泥電阻並聯,負載電阻為15歐姆。

15歐姆的負載
下麵給出了不同頻率下,係統的輸入功率、輸出功率以及電能轉換效率:

不同頻率下的轉換效率與功率
可以看出,在設計工作頻率95kHz時,係統的轉換效率達到最高。但在105kHz時,係統的輸出功率達到最高。
3.滿載實驗
根據前麵設計係統滿載工作條件。在負載為10歐姆(由三個50W,30歐姆的水泥電阻並聯),驅動橋電壓為24V時,輸出功率應該50W左右。下麵是測量的結果:
● 電源工作電壓:: Vbus=24V
● 整流橋輸出電壓:Vout=22.11V,輸出功率:48.89W
● 電源電流Ibus=2.66A,係統輸入功率:64.32W
● 係統效率:76.0%
由測試結果可以看出,係統工作條件基本達到了設計要求。
下圖顯示了工作一段時間之後,LCC補償電路和接收電路溫度分布情況。可以看到串聯補償電感Lp有很大的溫度升高,它損耗了一定功率。在輸出電路中,全橋整流溫度也升高。

穩態溫度分布圖
4.線圈中的電流
前麵設計LCC補償電路參數,依據的原理是對稱T型電路會使得發送線圈的電流保持恒定。下麵使用電流鉗分別測量在電路滿載和空載下,發送線圈的電流大小。

測量線圈中的電流
下圖是係統在空載時,發送線圈中的電流波形(青色)。

線圈驅動電壓與線圈中的電流
下圖顯示了係統工作在滿載時,發送線圈中的電流波形(青色)。對比空載和滿載,可以看到發送線圈中的電流幅值基本上保持恒定。

線圈驅動電壓與線圈中的電流
對比上麵測量結果,可以看到線圈中的電流基本上保持恒定的數值。
結論
本文討論了基於對稱T型網絡設計LCC補償網絡參數問題。並對半橋驅動電壓24V情況下,在10歐電阻負載上輸出50W的條件進行設計LCC參數通過實驗測試,驗證了:
● 係統功率輸出達到了48.89W;
● 傳輸效率在76%;
工作在95kHz下,係統空載電流為60mA,無需主控電路任何控製,便可以適應接收負載發生劇烈變化的情況。
為了進一步提高係統的效率,需要對LCC中串聯電感Lp的製作進行優化。采用高頻,抗飽和磁環製作,減少補償電路的損耗。
參考資料
[1]全國大學生智能車節能組: https://zhuoqing.blog.csdn.net/article/details/110253008
[2]無線充電係統在輸出部分采用LCC拓撲結構綜述研究: https://zhuoqing.blog.csdn.net/article/details/113770750
[3]全橋整流等效負載阻抗是多少?: https://zhuoqing.blog.csdn.net/article/details/113777100
[4]Applying LCC compenstation Network to Dynamic Wireless Charging System: https://ieeexplore.ieee.org/stamp/stamp.jsp?tp=&arnumber=7405298
[5]粘貼銅箔簡易實驗電路製作: https://zhuoqing.blog.csdn.net/article/details/112150112
免責聲明:本文為轉載文章,轉載此文目的在於傳遞更多信息,版權歸原作者所有。本文所用視頻、圖片、文字如涉及作品版權問題,請聯係小編進行處理。
推薦閱讀:
特別推薦
- 噪聲中提取真值!瑞盟科技推出MSA2240電流檢測芯片賦能多元高端測量場景
- 10MHz高頻運行!氮矽科技發布集成驅動GaN芯片,助力電源能效再攀新高
- 失真度僅0.002%!力芯微推出超低內阻、超低失真4PST模擬開關
- 一“芯”雙電!聖邦微電子發布雙輸出電源芯片,簡化AFE與音頻設計
- 一機適配萬端:金升陽推出1200W可編程電源,賦能高端裝備製造
技術文章更多>>
- 一秒檢測,成本降至萬分之一,光引科技把幾十萬的台式光譜儀“搬”到了手腕上
- AI服務器電源機櫃Power Rack HVDC MW級測試方案
- 突破工藝邊界,奎芯科技LPDDR5X IP矽驗證通過,速率達9600Mbps
- 通過直接、準確、自動測量超低範圍的氯殘留來推動反滲透膜保護
- 從技術研發到規模量產:恩智浦第三代成像雷達平台,賦能下一代自動駕駛!
技術白皮書下載更多>>
- 車規與基於V2X的車輛協同主動避撞技術展望
- 數字隔離助力新能源汽車安全隔離的新挑戰
- 汽車模塊拋負載的解決方案
- 車用連接器的安全創新應用
- Melexis Actuators Business Unit
- Position / Current Sensors - Triaxis Hall
熱門搜索






