一種低成本差動音頻信號傳輸方案
發布時間:2021-06-03 責任編輯:wenwei
【導讀】集成了主機和屏幕的車載顯示麵板大多數放置在主控台的中央(圖1),xianshimianbandeweizhijiaodihuiduijiashiyuanzhakanxinxihuozhedaohangdituzaochengbubian,jinerduixingcheanquanzaochengyingxiang。yihouyuelaiyueduodechezaixianshimianbanhuifangzhizaizhukongtaishangfang,shenzhilvegaoyuzhukongtai(圖2)。
針zhen對dui上shang述shu情qing況kuang,有you些xie應ying用yong會hui將jiang音yin頻pin放fang大da器qi和he主zhu機ji分fen離li,並bing且qie將jiang音yin頻pin放fang大da器qi放fang置zhi在zai較jiao低di的de位wei置zhi,現xian有you的de低di成cheng本ben音yin頻pin放fang大da器qi采cai用yong模mo擬ni信xin號hao輸shu入ru,因yin此ci主zhu機ji輸shu出chu的de模mo擬ni音yin頻pin信xin號hao需xu要yao經jing過guo一yi段duan較jiao長chang距ju離li的de傳chuan輸shu才cai能neng到dao達da音yin頻pin放fang大da器qi。

圖1車載顯示麵板位置較低情況 圖2 車載顯示麵板位置較高情況
針對車載顯示麵板遠離音頻放大器的應用,我們設計了一種低成本的差動音頻信號傳輸方案,如下圖3所示。Tuner/DSP輸出四路模擬音頻信號,音頻信號經過兩片OPA1679後轉換成四對差分信號,經過雙絞線的差分傳輸後進入TPA6404,最終通過揚聲器實現音頻放大。

圖3 差動音頻信號傳輸方案
一方麵,上述方案利用OPA1679將音頻模擬信號轉換為差分信號進行傳輸,增強了音頻信號傳輸過程中的抗幹擾能力,而且,四通道OPA1679能夠實現更低的成本。另一方麵,因為TPA6404是差分模擬信號輸入,相比單端輸入的音頻放大器不需要差分轉單端器件,因此具有成本優勢。
使用OPA1678實現的單端轉差分信號的具體電路如下圖4所示,OPA1678和OPA1679的區別僅僅在於集成的運放數量不同,OPA1678集成了兩個音頻運算放大器,而OPA1679集成了四個音頻運算放大器。OPA1679的共模電壓VCM的範圍是(Vss+0.5V)~(Vdd-2V),本設計使用5V單電源供電,因此其輸入電壓範圍是0.5V~3V,為了最大化輸入電壓範圍,共模電壓設置為1.75V,R2和R3能夠為U1和U2運放提供共模電壓偏置,偏置電壓計算如下:

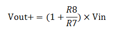
本設計中VDD等於5V電源電壓。U1和外圍電路形成了同向放大電路,正向輸出電壓為

U2和外圍電路形成了反向放大電路,反向輸出電壓為

OPA1679的輸出電壓範圍是0.8V~4.2V,需要保證經放大後的輸出電壓信號在此範圍內。

圖 4 使用OPA1678實現的單端轉差分信號電路
通過令R7開路, R8等於0Ω,並且R4=R5=47KΩ,電路的放大倍數被設置為1,Vout+ =Vin,Vout- =(-Vin)。實際的電路仿真結果如下圖5所示,輸入信號Vin=2Vpp。圖中,Vout+為正相輸出信號,Vout-為反相輸出信號,從圖中可以看出,上述方案能夠實現既定的單端轉差分信號功能,並且單端輸出信號幅度能夠達到2Vpp。

圖 5 放大倍數為1時,單端轉差分電路測試結果
免責聲明:本文為轉載文章,轉載此文目的在於傳遞更多信息,版權歸原作者所有。本文所用視頻、圖片、文字如涉及作品版權問題,請聯係小編進行處理。
推薦閱讀:
特別推薦
- 噪聲中提取真值!瑞盟科技推出MSA2240電流檢測芯片賦能多元高端測量場景
- 10MHz高頻運行!氮矽科技發布集成驅動GaN芯片,助力電源能效再攀新高
- 失真度僅0.002%!力芯微推出超低內阻、超低失真4PST模擬開關
- 一“芯”雙電!聖邦微電子發布雙輸出電源芯片,簡化AFE與音頻設計
- 一機適配萬端:金升陽推出1200W可編程電源,賦能高端裝備製造
技術文章更多>>
- 一秒檢測,成本降至萬分之一,光引科技把幾十萬的台式光譜儀“搬”到了手腕上
- AI服務器電源機櫃Power Rack HVDC MW級測試方案
- 突破工藝邊界,奎芯科技LPDDR5X IP矽驗證通過,速率達9600Mbps
- 通過直接、準確、自動測量超低範圍的氯殘留來推動反滲透膜保護
- 從技術研發到規模量產:恩智浦第三代成像雷達平台,賦能下一代自動駕駛!
技術白皮書下載更多>>
- 車規與基於V2X的車輛協同主動避撞技術展望
- 數字隔離助力新能源汽車安全隔離的新挑戰
- 汽車模塊拋負載的解決方案
- 車用連接器的安全創新應用
- Melexis Actuators Business Unit
- Position / Current Sensors - Triaxis Hall
熱門搜索






