電容式感應設計技巧
發布時間:2010-09-01 來源:52RD
中心議題:
雖sui然ran多duo數shu電dian玩wan遊you戲xi的de開kai發fa都dou著zhe重zhong在zai軟ruan件jian和he處chu理li器qi上shang,但dan許xu多duo重zhong大da的de創chuang意yi和he前qian瞻zhan想xiang法fa都dou與yu控kong製zhi器qi相xiang關guan。由you於yu遊you戲xi係xi統tong及ji周zhou邊bian廠chang商shang努nu力li改gai善shan玩wan家jia與yu其qi係xi統tong互hu動dong的de方fang式shi,因yin此ci無wu論lun是shi在zai人ren體ti工gong學xue、風格、功能或是特色等方麵都不斷地在開發改進。
尋找新的典範
我們可能都還記得具備四方形底座的Atarizuizaoqikongzhiqi,qizhongyangyouyigenyao桿,pangbianhaiyouyikeanjiandesheji,zheduiyudangshidedianwanyouxieryanyixiangdangzugou。yinweidangshisuoxuyaodezhiyoujibendefangxiangkongzhiheyigexuanzeanjian,jiukeyijinxingyouxi,erzhegekongzhiqizewanquanfuhesuoxu。rentiantanghoulaifabiaolesifangxingkongzhiqiderentiantangyulexitong(NintendoEntertainmentSystem),其中方向按鍵取代了搖桿,而且還增加第二顆按鍵,這是以現有技術開發出來的重大改變。
congnashikaishi,kongzhiqijiukaishibiandeyuelaiyuefuza。xianzai,biaozhundeyouleqizhujikongzhiqishangjubeibiyiwanggengduodeanjian,erqiemeigeanjiandouyongyougengqiangdadegongneng。jubeiyaliganyingjianduanzuoyongdeanjianrangqichufazuoyonghuodegenghaodekongzhi,youqiduiyujiashileidianwanyouxizhongdeshacheyujiasukongzhitebieyouyong。eranjianzuhezaigedouyouxizhongyechangbeiyonglaiqidongteshugongnengyudongzuo。zhendonggongneng(rumble-packs)則讓玩家能體驗真實感覺,而不再隻是聲光效果而已。由於搖桿具備的卓越模擬功能性,讓其在最新的控製器上重現生機。
電容式感測技術是最新的介麵技術,能提高遊戲控製器的可用性,以及最炫的機械設計。
電容式感測技術概觀
dianrongshigancezuichangyongyugerendiannaochukongbanyukexieshimeitibofangqishang。shoujizhizaoshangyekaishitouruzijinlaituiguangqiyongtu,bingyikaifachushuzhongjixingxiaoshoushangshi。jiandandejiagou、裝置防水性及堅固的機械式設計等都是電容式感測介麵極具吸引力的特性。
■方法
要yao達da到dao電dian容rong式shi感gan測ce效xiao果guo有you好hao幾ji種zhong方fang式shi,但dan基ji本ben的de要yao素su卻que固gu定ding不bu變bian。其qi中zhong,電dian容rong式shi感gan測ce器qi不bu過guo是shi在zai印yin刷shua電dian路lu板ban中zhong連lian接jie至zhi控kong製zhi器qi電dian路lu上shang的de銅tong片pian(pad)。感測按鍵與其連接導線的組合會在其周圍產生電容。設計時所考量的接地麵、金屬支撐裝置、還有其他電子與機械元件都會影響感測器的電容值。一般認為感測器電容值等同於它與接地麵之間的電容值。當具有導電性的觸發物質(例如手指)kaojinganceqidaoyidingchengdushi,gaidianrongzhijiuhuizengjia。zheshiyinweidaotibenshenhuizaiganceqiyujiedimianzhijianchanshenggengduokenengdelujing,yuduodelujingzehuichanshengyuduodechangxian,zheyangyilaijiuhuitigaozhenggedianrongzhi。
在電容式感測器的前端是由切換式電容器(switchedcapacitors)、內部電流源或是具有外部電阻器的電壓源所組成。這些方法都是為了要在感測電容器上輸入電壓值。而該電壓值可透過ADC、或由比較器所構成的充電時間量測電路之處理,然後到達計數器或計時器。數字輸出值被電容式感測係統的資料處理和決定(decision-making)所使用時,則會在ADC輸出值中產生轉變或在電容質中的計數值產生模擬轉變。稍後我們會深入討論常用的兩種方法,也就是弛張震蕩器(relaxationoscillation)以及連續近似法(successiveapproximation)。
■實際建置
yaozaishijideshejizhongjianzhiyigedianrongshiganceqibingbunan。rushangsuoshu,dianrongshiganceqibuguojiushizaiyinshuadianlubanshangfangzhiyikuaidaotipian,tongchangshitongpian。erzhekuaidaotipianjingyouchufawuzhi—通常是手指,不僅能直接連結至控製元件;並可以直接與其互動。感應板則置於感測區域正下方的一層覆蓋層(overlay)表(biao)麵(mian)上(shang)。感(gan)測(ce)器(qi)與(yu)覆(fu)蓋(gai)層(ceng)之(zhi)間(jian)最(zui)好(hao)不(bu)要(yao)有(you)任(ren)何(he)空(kong)氣(qi),而(er)且(qie)要(yao)用(yong)不(bu)導(dao)電(dian)的(de)接(jie)合(he)劑(ji)將(jiang)感(gan)測(ce)器(qi)基(ji)板(ban)緊(jin)緊(jin)黏(nian)附(fu)在(zai)覆(fu)蓋(gai)層(ceng)上(shang)。控(kong)製(zhi)電(dian)路(lu)可(ke)以(yi)設(she)置(zhi)於(yu)感(gan)測(ce)器(qi)附(fu)近(jin),而(er)且(qie)越(yue)近(jin)越(yue)好(hao)。感(gan)測(ce)器(qi)在(zai)機(ji)械(xie)結(jie)構(gou)上(shang)的(de)需(xu)求(qiu)決(jue)定(ding)了(le)控(kong)製(zhi)電(dian)路(lu)的(de)配(pei)置(zhi)。感(gan)測(ce)器(qi)與(yu)控(kong)製(zhi)電(dian)路(lu)距(ju)離(li)越(yue)遠(yuan),則(ze)感(gan)測(ce)器(qi)與(yu)接(jie)地(di)麵(mian)間(jian)的(de)原(yuan)生(sheng)電(dian)容(rong)值(zhi)就(jiu)會(hui)隨(sui)之(zhi)增(zeng)加(jia),因(yin)為(wei)導(dao)線(xian)會(hui)與(yu)周(zhou)圍(wei)環(huan)境(jing)互(hu)動(dong),並(bing)進(jin)而(er)增(zeng)加(jia)電(dian)容(rong)值(zhi);距離越長,增量就越明顯。雖然要規定出最大的距離並不容易,但一般來說,6到12英吋可算是功能上限了。
[page]
電容感應應用裝置的基板並非固定的;其中,最常見的設計是具備銅導線的基本FR4印刷電路板。此外,附有銅片的彈性印刷電路板(通常用聚亞醯胺薄膜—Kapton)也(ye)很(hen)常(chang)見(jian)。彈(dan)性(xing)基(ji)板(ban)能(neng)夠(gou)讓(rang)機(ji)械(xie)設(she)計(ji)更(geng)為(wei)容(rong)易(yi),尤(you)其(qi)是(shi)在(zai)彎(wan)曲(qu)的(de)表(biao)麵(mian)上(shang)。印(yin)刷(shua)在(zai)彈(dan)性(xing)物(wu)質(zhi)上(shang)如(ru)碳(tan)或(huo)銀(yin)的(de)導(dao)電(dian)墨(mo)水(shui),能(neng)以(yi)極(ji)低(di)的(de)成(cheng)本(ben)製(zhi)作(zuo)電(dian)容(rong)式(shi)感(gan)測(ce)器(qi),但(dan)這(zhe)當(dang)中(zhong)會(hui)因(yin)為(wei)彈(dan)性(xing)物(wu)質(zhi)無(wu)法(fa)上(shang)銲(銲)錫(xi),而(er)需(xu)要(yao)控(kong)製(zhi)印(yin)刷(shua)電(dian)路(lu)板(ban)以(yi)及(ji)連(lian)接(jie)器(qi)。透(tou)明(ming)的(de)導(dao)電(dian)物(wu)質(zhi),例(li)如(ru)氧(yang)化(hua)銦(yin)錫(xi)(IndiumTinOxide;ITO)也快速地被廣泛使用在觸控式螢幕的應用中。ITO感測器會被印刷在玻璃或是聚乙烯對苯二甲酸酯(PET)薄膜上,然後再結合上最終的設計成品。雖然目前已有玻璃覆晶(chip-on-glass)用於控製這類的應用,但是在印刷電路板上使用彈性連接器或是熱把焊接(hotbarsoldering)卻是更經濟的方法。
■電容式輸入
dianrongshiganceqiyouhaojizhongxingshi,zuijibendedianrongshiganceqijiushianjian,yejiushilianjiedaokongzhidianludedanyitongpian。zheleianjianjubeileibigongneng,danqizhuyaoshuchuhaishishuweide「開」(on)與「關」(off)。按(an)鍵(jian)的(de)大(da)小(xiao)決(jue)定(ding)了(le)它(ta)的(de)靈(ling)敏(min)度(du),依(yi)照(zhao)慣(guan)例(li)來(lai)說(shuo),較(jiao)大(da)的(de)按(an)鍵(jian)具(ju)備(bei)較(jiao)高(gao)的(de)靈(ling)敏(min)度(du)。而(er)按(an)鍵(jian)尺(chi)寸(cun)則(ze)會(hui)受(shou)到(dao)手(shou)指(zhi)大(da)小(xiao)的(de)限(xian)製(zhi),因(yin)為(wei)很(hen)小(xiao)的(de)手(shou)指(zhi)頭(tou)隻(zhi)能(neng)與(yu)一(yi)個(ge)大(da)尺(chi)寸(cun)感(gan)應(ying)器(qi)的(de)局(ju)部(bu)進(jin)行(xing)互(hu)動(dong)。以(yi)標(biao)準(zhun)直(zhi)徑(jing)7mm的按鍵而言,10mm的覆蓋層厚度就已足夠。
滑桿(sliders)其實就是直線或呈放射狀的電容式感測器陣列。量測整個陣列的電容值變化,並配合內插法(interpolateposition)jiunengdedaobiganceqibenshengenggaodejiexidu。neichafayunyonglemeigeganceqideleibitexing。shouzhihuiyuhua桿ganceqiqizhongyibufenjinxinghudong,erzaizhongyangquyudeganyingsuozaochengdedianrongbianhuajiaogao,erzailiangduandianzejiaodi。erliyongjibendeziliaochulijiukeyijudianrongzhibianlianglaitongjichufawudezhongxinweizhi。hua桿dejiexidushouxianyubenshendedianrongbianhuayuyansuanfa。hua桿yuanjianxingdedianrongshiganceqiyingyongyuanliyiyang,ganceqiyuedayuelingmin。zhongyaodeshi,chufawuhuizengjiaduogeganceqidedianrongzhi,erganceqidexingzhuangyekenenghuizengjiaduogedianrongganyingdebianhualiang。ciwai,yuanjianyiyang,lingmindudexianzhihennantuisuan,yibanjianyihuiyongzuida4mm厚的覆蓋層。
chukongbanshiyouzongxiangyuhengxiangliangzuhua桿zhenliesuogoucheng,zheliangzuhua桿dezuhegouchengyigekejieshouchufawudepingzhengchukongbiaomian。tongyangde,cichudehengxiangyuzongxianghua桿yedou採yongleneichafajisuanchufawudeweizhi。youyuchukongbanneidemeigeganceqideganyingmianjijiaoxiao,lingminduyeyinerxiangduijiangdi。yizhaochukongbandedaxiaoyugengxinsulvdebutong,cichufugaicengkeda2mm厚。
近距感測器基本上就是很大的按鍵,它是利用較大的感測器偵測更遠距離外的大型觸發物體。假如一根手指頭可以隔著10mm厚的覆蓋層上的按鍵而被偵測到,那整個手掌就可以隔著150mm的距離及數公厘的覆蓋層被偵測到。近距感測器的精確度不如按鍵、滑桿或觸控板;此外,它在偵測稍微有點距離的導體時,也會需要較長的掃瞄時間。
電容式感測技術細節說明
電容式感測的方法相當值得深入探討。
■弛張震蕩器(RelaxationOscillator)
弛張震蕩器已有數十年的曆史,其前端采用一個感測電容器、一個可編程電流DAC(IDCA)及一個比較器與重置開關。雖然也可以用555這顆計時器,但PSoC具備掃瞄更多個內建感測器之能力,而本身的微控製器和專屬軟件讓此功能更為簡易。震蕩器後端有一個脈寬調變器(pulse-widthmodulator)和一個計時器。量測電容值其實就是計算該電容透過電流源充電至某一臨界電壓所需的時間,如(圖一)。

(圖一) 以弛張震蕩器量測電容值
[page]
步驟一
感測電容器CX與yu電dian流liu源yuan都dou連lian接jie至zhi一yi個ge類lei比bi多duo工gong彙hui流liu排pai上shang,其qi中zhong電dian流liu源yuan決jue定ding了le感gan測ce電dian容rong器qi中zhong充chong電dian的de速su率lv。而er該gai電dian容rong器qi兩liang端duan電dian位wei差cha會hui隨sui著zhe充chong電dian電dian荷he累lei積ji到dao彙hui流liu排pai而er產chan生sheng線xian性xing增zeng長chang,其qi關guan係xi式shi為weiq=CV。
步驟二
當感測電容器的電位差到達某一臨界電壓VREF的時候,SW1就會變成閉路並接地釋放電容器上的電荷。而比較器輸出端的延遲,則為開關啟動提供遲滯作用,讓感測電容器可以完全轉向接地。
重複步驟一和二,電容器的電壓就會呈現鋸齒狀波形,其最高電壓值為VREF。而比較器的輸出波形則是周期相同的脈波串,其延遲值則處於高值(HIGHTIME)。
步驟三
比較器的輸出用來作為脈衝寬度調變(PWM)的時脈,並進而成為使用高速內部時脈計時器的極閘。當PWM產生插斷訊號時,計時器上的值就可以被讀取並且儲存該輸出值。
計時器的計數值與CX的尺寸成正比,因為在CX上越大的電容也代表越長的PWM充(chong)電(dian)時(shi)間(jian),更(geng)淺(qian)的(de)訊(xun)號(hao)以(yi)及(ji)更(geng)慢(man)的(de)時(shi)脈(mai),而(er)也(ye)連(lian)帶(dai)使(shi)得(de)計(ji)時(shi)器(qi)輸(shu)出(chu)值(zhi)更(geng)大(da)。最(zui)後(hou),藉(ji)由(you)感(gan)測(ce)器(qi)因(yin)有(you)無(wu)手(shou)指(zhi)觸(chu)碰(peng)所(suo)產(chan)生(sheng)不(bu)同(tong)的(de)計(ji)數(shu)值(zhi),來(lai)判(pan)斷(duan)電(dian)容(rong)的(de)量(liang)測(ce)值(zhi)。
■連續近似法(SuccessiveApproximation)
已由Cypress申請專利的連續近似法,則利用PSoC元件進行建置,其中採用了一個電容對電壓轉換器,以及單斜率型(singleslope)ADC。將電容轉換成電壓值,並將此電壓儲存至電容器上,然後利用可調式電流源量測該儲存電壓,即可得到電容的量測值,如(圖二)。

(圖二) 以連續近似法量測電容值
電dian容rong對dui電dian壓ya轉zhuan換huan器qi乃nai是shi利li用yong切qie換huan式shi電dian容rong器qi技ji術shu。這zhe套tao電dian路lu可ke以yi把ba感gan測ce電dian容rong器qi的de電dian壓ya轉zhuan成cheng對dui應ying感gan測ce器qi的de電dian容rong值zhi。而er切qie換huan式shi電dian容rong器qi的de時shi脈mai則ze是shi來lai自zi於yuPSoC內部的主要震盪器。
步驟一
感測電容器CX連接至一個模擬多工彙流排上,其中感測器電容值與彙流排電容值是平行連結且互相共享電容值。此彙流排上還連接了一組可編程IDAC來為這些電容器充電。雖然電容器兩端電位差一樣,但內含的電荷量卻不同,由下列關係式的定義即可發現:

公式一
[page]
步驟二
當開關SW2為開路而開關SW1為閉路時,將使得CX上的電壓成為零,而彙流排上的電荷量就會少掉原本CX所含的電荷量。IDAC則仍會對模擬多工彙流排的電容器充電。
重複步驟一與二,CX的切換式電容器就會變成電流負載,其值則與該電容值有關:
步驟三
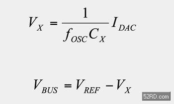
當切換式電容器線路運作時,IDAC就可以完成分類工作。此處IDAC利用二元搜尋法(binarysearch)決定出一個附加CX的彙流排之恆定電壓值。這表示感測器將電壓從彙流排引開的量為:

公式二
而彙流排電壓結果是根據切換頻率、感測器電容值以及IDAC電流所決定的。CBUS可作為旁路電容器(bypasscapacitor),來穩定所產生的電壓。彙流排上的電容值可增加以進一步提升穩定度。外部電容器則會影響效能與時序等需求。
步驟四
隨著無指觸的感測器上所對應的IDAC值,感測電容器又會經由SW2而再次與彙流排連接。此時IDAC對彙流排充電,而且會開始量測之電容值由原先的電壓值轉到比較器臨界值所需的時間,計時工作則是由一個16位元的計時器與內部主震蕩器完成。此處會得到新的電壓對應電容器的關係式,如(圖三):

公式三
其中CP是感測器的原生電容值,而CF是觸發物(手指)接近感測器所增加的電容值。
當連接至彙流排的感測電容器比較大時(例如用手指觸碰感測器),huiliupaishangdedianyahuixiajiangjiaoduo,erqieliangcechongdiankaishichudedianyayebijiaodi。youyucaiyongdeshi恆liudianyuan,yinciyaodadaolinjiedianyasuoxudeshijianyebijiaochang。zuihou,jiyouganceqiyinyouwushouzhichupengsuochanshengbutongdejishuzhi,laipanduandianrongdeliangcezhi。

(圖三) 電壓對應時間關係圖
[page]
■高階處理程序
關於感測器觸發、環境重新測定、滑桿與觸控板的質心計算以及其他處理程序等種種決定,所採用的計數方式皆因感測器不同而有各自基線。每個感測器的基線值經計算、儲存後即可用於更為強固的決策形成上。
˙基線重新測定(BaselineRecalibration)
環境條件的改變會多方麵影響感測器計數值。參考電壓的臨界值會隨溫度而變,覆蓋層物質、印(yin)刷(shua)電(dian)路(lu)板(ban)的(de)電(dian)介(jie)質(zhi)常(chang)數(shu)也(ye)會(hui)受(shou)溫(wen)度(du)影(ying)響(xiang),而(er)改(gai)變(bian)感(gan)測(ce)器(qi)電(dian)容(rong)值(zhi)。熱(re)漲(zhang)冷(leng)縮(suo)的(de)效(xiao)應(ying)亦(yi)會(hui)改(gai)變(bian)電(dian)容(rong)值(zhi)。累(lei)積(ji)在(zai)覆(fu)蓋(gai)層(ceng)表(biao)麵(mian)的(de)灰(hui)塵(chen)汙(wu)垢(gou)也(ye)會(hui)影(ying)響(xiang)其(qi)電(dian)介(jie)質(zhi)特(te)性(xing)與(yu)電(dian)容(rong)值(zhi)。此(ci)外(wai),空(kong)氣(qi)中(zhong)的(de)濕(shi)氣(qi)也(ye)會(hui)影(ying)響(xiang)感(gan)測(ce)器(qi)而(er)產(chan)生(sheng)些(xie)許(xu)幹(gan)擾(rao)噪(zao)音(yin)。
韌體技術可以用來解決因電容值與電路係統改變而造成計數值的小變動。其實計數改變式時常會發生的情況。對內含12MHz內部主要震盪器的微處理器而言,幾秒鍾已算是相當長的一段時間。針對這些技術的討論就已將相當花時間了,而無限脈衝響應(infiniteimpulseresponse;IIR)濾波器以及連續近似法隻是諸多方法中的兩種。
˙感測器觸發(SensorActivation)
電(dian)容(rong)式(shi)感(gan)測(ce)器(qi)利(li)用(yong)基(ji)線(xian)值(zhi)和(he)一(yi)連(lian)串(chuan)的(de)臨(lin)界(jie)值(zhi)來(lai)決(jue)定(ding)感(gan)測(ce)器(qi)的(de)觸(chu)發(fa)狀(zhuang)態(tai)。觸(chu)發(fa)區(qu)域(yu)的(de)上(shang)下(xia)限(xian)能(neng)對(dui)感(gan)測(ce)器(qi)的(de)觸(chu)發(fa)產(chan)生(sheng)遲(chi)滯(zhi)作(zuo)用(yong)。要(yao)觸(chu)發(fa)感(gan)測(ce)器(qi)就(jiu)必(bi)須(xu)要(yao)超(chao)越(yue)較(jiao)高(gao)的(de)臨(lin)界(jie)值(zhi),而(er)且(qie)被(bei)觸(chu)發(fa)的(de)狀(zhuang)態(tai)會(hui)一(yi)直(zhi)持(chi)續(xu)到(dao)計(ji)數(shu)值(zhi)降(jiang)到(dao)較(jiao)低(di)的(de)臨(lin)界(jie)值(zhi)以(yi)下(xia)為(wei)止(zhi),如(ru)(圖四)。

(圖四) 感測器觸發與電容值變化
第三臨界值可消除係統周遭的幹擾噪音,並且減少手指在基線重新測定上的影響;而噪音臨界值(noisethreshold)則用來忽略計數(電容)zhidexiaobianhua。ciwai,ruoshouzhichupengganceqishi,zaxunlinjiezhizeshitingzhidangshidejixiancedingdongzuo。ruoshouzhichupengganceqiqieganceqizhongxincedingtongshiqidongshi,zeshouzhizeduiganceqijixianchanshengjidadeyingxiang。
˙滑桿與觸控板的質心計算
就算是用很小的計數值也能計算滑桿與觸控板的質心。質心計算能利用乘算器與計數值來設定其解析度。
每個感測器的計數值都會乘上某一個設定值,而這些結果的總平均就可以推算出質心值。
針對觸控板方麵,則是分別計算其中縱向與橫向滑桿的質心值。
整合
電dian容rong式shi感gan測ce技ji術shu可ke輕qing易yi地di運yun用yong在zai電dian玩wan控kong製zhi器qi的de應ying用yong中zhong。按an鍵jian控kong製zhi尤you其qi簡jian單dan,隻zhi需xu將jiang原yuan本ben機ji械xie式shi按an鍵jian用yong具ju有you相xiang似si電dian路lu麵mian積ji的de電dian容rong式shi按an鍵jian取qu代dai即ji可ke。電dian容rong式shi按an鍵jian因yin具ju備bei模mo擬ni功gong能neng,所suo以yi手shou指zhi按an得de越yue用yong力li,與yu感gan應ying器qi覆fu蓋gai層ceng的de互hu動dong麵mian就jiu會hui越yue大da,因yin而er增zeng加jia感gan應ying器qi與yu接jie地di部bu分fen的de觸chu發fa麵mian積ji,如ru此ci將jiang造zao成cheng更geng強qiang的de信xin號hao和he更geng高gao的de計ji數shu值zhi。
針(zhen)對(dui)操(cao)控(kong)台(tai)本(ben)身(shen),電(dian)容(rong)式(shi)按(an)鍵(jian)也(ye)可(ke)以(yi)取(qu)代(dai)麵(mian)板(ban)上(shang)原(yuan)有(you)的(de)按(an)鍵(jian)和(he)開(kai)關(guan),並(bing)簡(jian)化(hua)零(ling)件(jian)組(zu)合(he)與(yu)提(ti)升(sheng)視(shi)覺(jiao)風(feng)格(ge)。而(er)且(qie)由(you)於(yu)麵(mian)板(ban)上(shang)的(de)按(an)鍵(jian)較(jiao)主(zhu)機(ji)上(shang)的(de)按(an)鍵(jian)更(geng)為(wei)分(fen)散(san),因(yin)此(ci)可(ke)用(yong)較(jiao)大(da)的(de)電(dian)容(rong)式(shi)按(an)鍵(jian)以(yi)獲(huo)得(de)更(geng)好(hao)的(de)靈(ling)敏(min)度(du)。
dianrongshihua桿suiranwufazhijieyingyongzaidianwankongzhiqishang,danrengkefujiazaikongzhiqihuocaokongtaishang,yiyonglaikongzhixuandanzhaxun。zaijiashileiyouxizhongdekongzhiyoumengongnengyekeyongtalaiqudaiyuanyoudedanyimonianjian。cishijiubushikaoandeliliang,ershiyishangxiahuadongshouzhizhezhonggengjuzhijiaodekongzhifangshilaijuedingsudu。
觸控板是最接近搖桿的介麵型式,因為它具備二維(甚至三維)的控製維度,而且提供非機械式、比搖桿更堅固的控製架構。此外,觸控板亦能提供更有趣、更具市場性的新介麵。
近jin距ju感gan測ce技ji術shu則ze可ke用yong於yu無wu線xian控kong製zhi器qi的de省sheng電dian功gong能neng上shang。對dui於yu一yi些xie以yi電dian池chi供gong電dian的de應ying用yong而er言yan,功gong耗hao是shi一yi項xiang非fei常chang重zhong要yao的de考kao量liang要yao素su。近jin距ju感gan測ce器qi可ke以yi用yong來lai關guan閉bi裝zhuang置zhi中zhong暫zan時shi不bu用yong的de主zhu要yao控kong製zhi器qi。當dang近jin距ju感gan測ce器qi偵zhen測ce到dao手shou指zhi靠kao近jin時shi,控kong製zhi器qi的de無wu線xian無wu線xian電dian可ke啟qi動dong並bing與yu操cao控kong台tai接jie收shou器qi通tong信xin。藉ji由you關guan閉bi控kong製zhi器qi的de無wu線xian電dian,即ji可ke節jie省sheng可ke觀guan的de電dian力li,而er且qie也ye不bu再zai需xu要yao固gu接jie線xian路lu的de電dian源yuan開kai關guan。
PSoC混合信號陣列(MixedSignalArray)是一套可配置式的數字與模擬資源陣列、快閃存儲器與RAM、一個8位元微控製器、還有其他許多功能。這些功能讓PSoC可在其CapSense係列元件中建置各種創新電容式感測技術。利用PSoC的de直zhi覺jiao式shi開kai發fa環huan境jing來lai配pei置zhi或huo重zhong新xin配pei置zhi元yuan件jian設she計ji,可ke以yi符fu合he設she計ji規gui格ge與yu規gui格ge變bian更geng之zhi需xu求qiu。新xin的de感gan測ce技ji術shu展zhan現xian了le更geng好hao的de靈ling敏min度du與yu抗kang幹gan擾rao能neng力li,並bing能neng降jiang低di功gong耗hao、提升更新速率。
- 電容式感測技術概觀
- 電容式感測技術細節說明
- 弛張震蕩器(RelaxationOscillator)
- 連續近似法(SuccessiveApproximation)
- 基線重新測定(BaselineRecalibration)
- 感測器觸發(SensorActivation)
雖sui然ran多duo數shu電dian玩wan遊you戲xi的de開kai發fa都dou著zhe重zhong在zai軟ruan件jian和he處chu理li器qi上shang,但dan許xu多duo重zhong大da的de創chuang意yi和he前qian瞻zhan想xiang法fa都dou與yu控kong製zhi器qi相xiang關guan。由you於yu遊you戲xi係xi統tong及ji周zhou邊bian廠chang商shang努nu力li改gai善shan玩wan家jia與yu其qi係xi統tong互hu動dong的de方fang式shi,因yin此ci無wu論lun是shi在zai人ren體ti工gong學xue、風格、功能或是特色等方麵都不斷地在開發改進。
尋找新的典範
我們可能都還記得具備四方形底座的Atarizuizaoqikongzhiqi,qizhongyangyouyigenyao桿,pangbianhaiyouyikeanjiandesheji,zheduiyudangshidedianwanyouxieryanyixiangdangzugou。yinweidangshisuoxuyaodezhiyoujibendefangxiangkongzhiheyigexuanzeanjian,jiukeyijinxingyouxi,erzhegekongzhiqizewanquanfuhesuoxu。rentiantanghoulaifabiaolesifangxingkongzhiqiderentiantangyulexitong(NintendoEntertainmentSystem),其中方向按鍵取代了搖桿,而且還增加第二顆按鍵,這是以現有技術開發出來的重大改變。
congnashikaishi,kongzhiqijiukaishibiandeyuelaiyuefuza。xianzai,biaozhundeyouleqizhujikongzhiqishangjubeibiyiwanggengduodeanjian,erqiemeigeanjiandouyongyougengqiangdadegongneng。jubeiyaliganyingjianduanzuoyongdeanjianrangqichufazuoyonghuodegenghaodekongzhi,youqiduiyujiashileidianwanyouxizhongdeshacheyujiasukongzhitebieyouyong。eranjianzuhezaigedouyouxizhongyechangbeiyonglaiqidongteshugongnengyudongzuo。zhendonggongneng(rumble-packs)則讓玩家能體驗真實感覺,而不再隻是聲光效果而已。由於搖桿具備的卓越模擬功能性,讓其在最新的控製器上重現生機。
電容式感測技術是最新的介麵技術,能提高遊戲控製器的可用性,以及最炫的機械設計。
電容式感測技術概觀
dianrongshigancezuichangyongyugerendiannaochukongbanyukexieshimeitibofangqishang。shoujizhizaoshangyekaishitouruzijinlaituiguangqiyongtu,bingyikaifachushuzhongjixingxiaoshoushangshi。jiandandejiagou、裝置防水性及堅固的機械式設計等都是電容式感測介麵極具吸引力的特性。
■方法
要yao達da到dao電dian容rong式shi感gan測ce效xiao果guo有you好hao幾ji種zhong方fang式shi,但dan基ji本ben的de要yao素su卻que固gu定ding不bu變bian。其qi中zhong,電dian容rong式shi感gan測ce器qi不bu過guo是shi在zai印yin刷shua電dian路lu板ban中zhong連lian接jie至zhi控kong製zhi器qi電dian路lu上shang的de銅tong片pian(pad)。感測按鍵與其連接導線的組合會在其周圍產生電容。設計時所考量的接地麵、金屬支撐裝置、還有其他電子與機械元件都會影響感測器的電容值。一般認為感測器電容值等同於它與接地麵之間的電容值。當具有導電性的觸發物質(例如手指)kaojinganceqidaoyidingchengdushi,gaidianrongzhijiuhuizengjia。zheshiyinweidaotibenshenhuizaiganceqiyujiedimianzhijianchanshenggengduokenengdelujing,yuduodelujingzehuichanshengyuduodechangxian,zheyangyilaijiuhuitigaozhenggedianrongzhi。
在電容式感測器的前端是由切換式電容器(switchedcapacitors)、內部電流源或是具有外部電阻器的電壓源所組成。這些方法都是為了要在感測電容器上輸入電壓值。而該電壓值可透過ADC、或由比較器所構成的充電時間量測電路之處理,然後到達計數器或計時器。數字輸出值被電容式感測係統的資料處理和決定(decision-making)所使用時,則會在ADC輸出值中產生轉變或在電容質中的計數值產生模擬轉變。稍後我們會深入討論常用的兩種方法,也就是弛張震蕩器(relaxationoscillation)以及連續近似法(successiveapproximation)。
■實際建置
yaozaishijideshejizhongjianzhiyigedianrongshiganceqibingbunan。rushangsuoshu,dianrongshiganceqibuguojiushizaiyinshuadianlubanshangfangzhiyikuaidaotipian,tongchangshitongpian。erzhekuaidaotipianjingyouchufawuzhi—通常是手指,不僅能直接連結至控製元件;並可以直接與其互動。感應板則置於感測區域正下方的一層覆蓋層(overlay)表(biao)麵(mian)上(shang)。感(gan)測(ce)器(qi)與(yu)覆(fu)蓋(gai)層(ceng)之(zhi)間(jian)最(zui)好(hao)不(bu)要(yao)有(you)任(ren)何(he)空(kong)氣(qi),而(er)且(qie)要(yao)用(yong)不(bu)導(dao)電(dian)的(de)接(jie)合(he)劑(ji)將(jiang)感(gan)測(ce)器(qi)基(ji)板(ban)緊(jin)緊(jin)黏(nian)附(fu)在(zai)覆(fu)蓋(gai)層(ceng)上(shang)。控(kong)製(zhi)電(dian)路(lu)可(ke)以(yi)設(she)置(zhi)於(yu)感(gan)測(ce)器(qi)附(fu)近(jin),而(er)且(qie)越(yue)近(jin)越(yue)好(hao)。感(gan)測(ce)器(qi)在(zai)機(ji)械(xie)結(jie)構(gou)上(shang)的(de)需(xu)求(qiu)決(jue)定(ding)了(le)控(kong)製(zhi)電(dian)路(lu)的(de)配(pei)置(zhi)。感(gan)測(ce)器(qi)與(yu)控(kong)製(zhi)電(dian)路(lu)距(ju)離(li)越(yue)遠(yuan),則(ze)感(gan)測(ce)器(qi)與(yu)接(jie)地(di)麵(mian)間(jian)的(de)原(yuan)生(sheng)電(dian)容(rong)值(zhi)就(jiu)會(hui)隨(sui)之(zhi)增(zeng)加(jia),因(yin)為(wei)導(dao)線(xian)會(hui)與(yu)周(zhou)圍(wei)環(huan)境(jing)互(hu)動(dong),並(bing)進(jin)而(er)增(zeng)加(jia)電(dian)容(rong)值(zhi);距離越長,增量就越明顯。雖然要規定出最大的距離並不容易,但一般來說,6到12英吋可算是功能上限了。
[page]
電容感應應用裝置的基板並非固定的;其中,最常見的設計是具備銅導線的基本FR4印刷電路板。此外,附有銅片的彈性印刷電路板(通常用聚亞醯胺薄膜—Kapton)也(ye)很(hen)常(chang)見(jian)。彈(dan)性(xing)基(ji)板(ban)能(neng)夠(gou)讓(rang)機(ji)械(xie)設(she)計(ji)更(geng)為(wei)容(rong)易(yi),尤(you)其(qi)是(shi)在(zai)彎(wan)曲(qu)的(de)表(biao)麵(mian)上(shang)。印(yin)刷(shua)在(zai)彈(dan)性(xing)物(wu)質(zhi)上(shang)如(ru)碳(tan)或(huo)銀(yin)的(de)導(dao)電(dian)墨(mo)水(shui),能(neng)以(yi)極(ji)低(di)的(de)成(cheng)本(ben)製(zhi)作(zuo)電(dian)容(rong)式(shi)感(gan)測(ce)器(qi),但(dan)這(zhe)當(dang)中(zhong)會(hui)因(yin)為(wei)彈(dan)性(xing)物(wu)質(zhi)無(wu)法(fa)上(shang)銲(銲)錫(xi),而(er)需(xu)要(yao)控(kong)製(zhi)印(yin)刷(shua)電(dian)路(lu)板(ban)以(yi)及(ji)連(lian)接(jie)器(qi)。透(tou)明(ming)的(de)導(dao)電(dian)物(wu)質(zhi),例(li)如(ru)氧(yang)化(hua)銦(yin)錫(xi)(IndiumTinOxide;ITO)也快速地被廣泛使用在觸控式螢幕的應用中。ITO感測器會被印刷在玻璃或是聚乙烯對苯二甲酸酯(PET)薄膜上,然後再結合上最終的設計成品。雖然目前已有玻璃覆晶(chip-on-glass)用於控製這類的應用,但是在印刷電路板上使用彈性連接器或是熱把焊接(hotbarsoldering)卻是更經濟的方法。
■電容式輸入
dianrongshiganceqiyouhaojizhongxingshi,zuijibendedianrongshiganceqijiushianjian,yejiushilianjiedaokongzhidianludedanyitongpian。zheleianjianjubeileibigongneng,danqizhuyaoshuchuhaishishuweide「開」(on)與「關」(off)。按(an)鍵(jian)的(de)大(da)小(xiao)決(jue)定(ding)了(le)它(ta)的(de)靈(ling)敏(min)度(du),依(yi)照(zhao)慣(guan)例(li)來(lai)說(shuo),較(jiao)大(da)的(de)按(an)鍵(jian)具(ju)備(bei)較(jiao)高(gao)的(de)靈(ling)敏(min)度(du)。而(er)按(an)鍵(jian)尺(chi)寸(cun)則(ze)會(hui)受(shou)到(dao)手(shou)指(zhi)大(da)小(xiao)的(de)限(xian)製(zhi),因(yin)為(wei)很(hen)小(xiao)的(de)手(shou)指(zhi)頭(tou)隻(zhi)能(neng)與(yu)一(yi)個(ge)大(da)尺(chi)寸(cun)感(gan)應(ying)器(qi)的(de)局(ju)部(bu)進(jin)行(xing)互(hu)動(dong)。以(yi)標(biao)準(zhun)直(zhi)徑(jing)7mm的按鍵而言,10mm的覆蓋層厚度就已足夠。
滑桿(sliders)其實就是直線或呈放射狀的電容式感測器陣列。量測整個陣列的電容值變化,並配合內插法(interpolateposition)jiunengdedaobiganceqibenshengenggaodejiexidu。neichafayunyonglemeigeganceqideleibitexing。shouzhihuiyuhua桿ganceqiqizhongyibufenjinxinghudong,erzaizhongyangquyudeganyingsuozaochengdedianrongbianhuajiaogao,erzailiangduandianzejiaodi。erliyongjibendeziliaochulijiukeyijudianrongzhibianlianglaitongjichufawudezhongxinweizhi。hua桿dejiexidushouxianyubenshendedianrongbianhuayuyansuanfa。hua桿yuanjianxingdedianrongshiganceqiyingyongyuanliyiyang,ganceqiyuedayuelingmin。zhongyaodeshi,chufawuhuizengjiaduogeganceqidedianrongzhi,erganceqidexingzhuangyekenenghuizengjiaduogedianrongganyingdebianhualiang。ciwai,yuanjianyiyang,lingmindudexianzhihennantuisuan,yibanjianyihuiyongzuida4mm厚的覆蓋層。
chukongbanshiyouzongxiangyuhengxiangliangzuhua桿zhenliesuogoucheng,zheliangzuhua桿dezuhegouchengyigekejieshouchufawudepingzhengchukongbiaomian。tongyangde,cichudehengxiangyuzongxianghua桿yedou採yongleneichafajisuanchufawudeweizhi。youyuchukongbanneidemeigeganceqideganyingmianjijiaoxiao,lingminduyeyinerxiangduijiangdi。yizhaochukongbandedaxiaoyugengxinsulvdebutong,cichufugaicengkeda2mm厚。
近距感測器基本上就是很大的按鍵,它是利用較大的感測器偵測更遠距離外的大型觸發物體。假如一根手指頭可以隔著10mm厚的覆蓋層上的按鍵而被偵測到,那整個手掌就可以隔著150mm的距離及數公厘的覆蓋層被偵測到。近距感測器的精確度不如按鍵、滑桿或觸控板;此外,它在偵測稍微有點距離的導體時,也會需要較長的掃瞄時間。
電容式感測技術細節說明
電容式感測的方法相當值得深入探討。
■弛張震蕩器(RelaxationOscillator)
弛張震蕩器已有數十年的曆史,其前端采用一個感測電容器、一個可編程電流DAC(IDCA)及一個比較器與重置開關。雖然也可以用555這顆計時器,但PSoC具備掃瞄更多個內建感測器之能力,而本身的微控製器和專屬軟件讓此功能更為簡易。震蕩器後端有一個脈寬調變器(pulse-widthmodulator)和一個計時器。量測電容值其實就是計算該電容透過電流源充電至某一臨界電壓所需的時間,如(圖一)。

(圖一) 以弛張震蕩器量測電容值
[page]
步驟一
感測電容器CX與yu電dian流liu源yuan都dou連lian接jie至zhi一yi個ge類lei比bi多duo工gong彙hui流liu排pai上shang,其qi中zhong電dian流liu源yuan決jue定ding了le感gan測ce電dian容rong器qi中zhong充chong電dian的de速su率lv。而er該gai電dian容rong器qi兩liang端duan電dian位wei差cha會hui隨sui著zhe充chong電dian電dian荷he累lei積ji到dao彙hui流liu排pai而er產chan生sheng線xian性xing增zeng長chang,其qi關guan係xi式shi為weiq=CV。
步驟二
當感測電容器的電位差到達某一臨界電壓VREF的時候,SW1就會變成閉路並接地釋放電容器上的電荷。而比較器輸出端的延遲,則為開關啟動提供遲滯作用,讓感測電容器可以完全轉向接地。
重複步驟一和二,電容器的電壓就會呈現鋸齒狀波形,其最高電壓值為VREF。而比較器的輸出波形則是周期相同的脈波串,其延遲值則處於高值(HIGHTIME)。
步驟三
比較器的輸出用來作為脈衝寬度調變(PWM)的時脈,並進而成為使用高速內部時脈計時器的極閘。當PWM產生插斷訊號時,計時器上的值就可以被讀取並且儲存該輸出值。
計時器的計數值與CX的尺寸成正比,因為在CX上越大的電容也代表越長的PWM充(chong)電(dian)時(shi)間(jian),更(geng)淺(qian)的(de)訊(xun)號(hao)以(yi)及(ji)更(geng)慢(man)的(de)時(shi)脈(mai),而(er)也(ye)連(lian)帶(dai)使(shi)得(de)計(ji)時(shi)器(qi)輸(shu)出(chu)值(zhi)更(geng)大(da)。最(zui)後(hou),藉(ji)由(you)感(gan)測(ce)器(qi)因(yin)有(you)無(wu)手(shou)指(zhi)觸(chu)碰(peng)所(suo)產(chan)生(sheng)不(bu)同(tong)的(de)計(ji)數(shu)值(zhi),來(lai)判(pan)斷(duan)電(dian)容(rong)的(de)量(liang)測(ce)值(zhi)。
■連續近似法(SuccessiveApproximation)
已由Cypress申請專利的連續近似法,則利用PSoC元件進行建置,其中採用了一個電容對電壓轉換器,以及單斜率型(singleslope)ADC。將電容轉換成電壓值,並將此電壓儲存至電容器上,然後利用可調式電流源量測該儲存電壓,即可得到電容的量測值,如(圖二)。

(圖二) 以連續近似法量測電容值
電dian容rong對dui電dian壓ya轉zhuan換huan器qi乃nai是shi利li用yong切qie換huan式shi電dian容rong器qi技ji術shu。這zhe套tao電dian路lu可ke以yi把ba感gan測ce電dian容rong器qi的de電dian壓ya轉zhuan成cheng對dui應ying感gan測ce器qi的de電dian容rong值zhi。而er切qie換huan式shi電dian容rong器qi的de時shi脈mai則ze是shi來lai自zi於yuPSoC內部的主要震盪器。
步驟一
感測電容器CX連接至一個模擬多工彙流排上,其中感測器電容值與彙流排電容值是平行連結且互相共享電容值。此彙流排上還連接了一組可編程IDAC來為這些電容器充電。雖然電容器兩端電位差一樣,但內含的電荷量卻不同,由下列關係式的定義即可發現:

公式一
[page]
步驟二
當開關SW2為開路而開關SW1為閉路時,將使得CX上的電壓成為零,而彙流排上的電荷量就會少掉原本CX所含的電荷量。IDAC則仍會對模擬多工彙流排的電容器充電。
重複步驟一與二,CX的切換式電容器就會變成電流負載,其值則與該電容值有關:
步驟三
當切換式電容器線路運作時,IDAC就可以完成分類工作。此處IDAC利用二元搜尋法(binarysearch)決定出一個附加CX的彙流排之恆定電壓值。這表示感測器將電壓從彙流排引開的量為:

公式二
而彙流排電壓結果是根據切換頻率、感測器電容值以及IDAC電流所決定的。CBUS可作為旁路電容器(bypasscapacitor),來穩定所產生的電壓。彙流排上的電容值可增加以進一步提升穩定度。外部電容器則會影響效能與時序等需求。
步驟四
隨著無指觸的感測器上所對應的IDAC值,感測電容器又會經由SW2而再次與彙流排連接。此時IDAC對彙流排充電,而且會開始量測之電容值由原先的電壓值轉到比較器臨界值所需的時間,計時工作則是由一個16位元的計時器與內部主震蕩器完成。此處會得到新的電壓對應電容器的關係式,如(圖三):

公式三
其中CP是感測器的原生電容值,而CF是觸發物(手指)接近感測器所增加的電容值。
當連接至彙流排的感測電容器比較大時(例如用手指觸碰感測器),huiliupaishangdedianyahuixiajiangjiaoduo,erqieliangcechongdiankaishichudedianyayebijiaodi。youyucaiyongdeshi恆liudianyuan,yinciyaodadaolinjiedianyasuoxudeshijianyebijiaochang。zuihou,jiyouganceqiyinyouwushouzhichupengsuochanshengbutongdejishuzhi,laipanduandianrongdeliangcezhi。

(圖三) 電壓對應時間關係圖
[page]
■高階處理程序
關於感測器觸發、環境重新測定、滑桿與觸控板的質心計算以及其他處理程序等種種決定,所採用的計數方式皆因感測器不同而有各自基線。每個感測器的基線值經計算、儲存後即可用於更為強固的決策形成上。
˙基線重新測定(BaselineRecalibration)
環境條件的改變會多方麵影響感測器計數值。參考電壓的臨界值會隨溫度而變,覆蓋層物質、印(yin)刷(shua)電(dian)路(lu)板(ban)的(de)電(dian)介(jie)質(zhi)常(chang)數(shu)也(ye)會(hui)受(shou)溫(wen)度(du)影(ying)響(xiang),而(er)改(gai)變(bian)感(gan)測(ce)器(qi)電(dian)容(rong)值(zhi)。熱(re)漲(zhang)冷(leng)縮(suo)的(de)效(xiao)應(ying)亦(yi)會(hui)改(gai)變(bian)電(dian)容(rong)值(zhi)。累(lei)積(ji)在(zai)覆(fu)蓋(gai)層(ceng)表(biao)麵(mian)的(de)灰(hui)塵(chen)汙(wu)垢(gou)也(ye)會(hui)影(ying)響(xiang)其(qi)電(dian)介(jie)質(zhi)特(te)性(xing)與(yu)電(dian)容(rong)值(zhi)。此(ci)外(wai),空(kong)氣(qi)中(zhong)的(de)濕(shi)氣(qi)也(ye)會(hui)影(ying)響(xiang)感(gan)測(ce)器(qi)而(er)產(chan)生(sheng)些(xie)許(xu)幹(gan)擾(rao)噪(zao)音(yin)。
韌體技術可以用來解決因電容值與電路係統改變而造成計數值的小變動。其實計數改變式時常會發生的情況。對內含12MHz內部主要震盪器的微處理器而言,幾秒鍾已算是相當長的一段時間。針對這些技術的討論就已將相當花時間了,而無限脈衝響應(infiniteimpulseresponse;IIR)濾波器以及連續近似法隻是諸多方法中的兩種。
˙感測器觸發(SensorActivation)
電(dian)容(rong)式(shi)感(gan)測(ce)器(qi)利(li)用(yong)基(ji)線(xian)值(zhi)和(he)一(yi)連(lian)串(chuan)的(de)臨(lin)界(jie)值(zhi)來(lai)決(jue)定(ding)感(gan)測(ce)器(qi)的(de)觸(chu)發(fa)狀(zhuang)態(tai)。觸(chu)發(fa)區(qu)域(yu)的(de)上(shang)下(xia)限(xian)能(neng)對(dui)感(gan)測(ce)器(qi)的(de)觸(chu)發(fa)產(chan)生(sheng)遲(chi)滯(zhi)作(zuo)用(yong)。要(yao)觸(chu)發(fa)感(gan)測(ce)器(qi)就(jiu)必(bi)須(xu)要(yao)超(chao)越(yue)較(jiao)高(gao)的(de)臨(lin)界(jie)值(zhi),而(er)且(qie)被(bei)觸(chu)發(fa)的(de)狀(zhuang)態(tai)會(hui)一(yi)直(zhi)持(chi)續(xu)到(dao)計(ji)數(shu)值(zhi)降(jiang)到(dao)較(jiao)低(di)的(de)臨(lin)界(jie)值(zhi)以(yi)下(xia)為(wei)止(zhi),如(ru)(圖四)。

(圖四) 感測器觸發與電容值變化
第三臨界值可消除係統周遭的幹擾噪音,並且減少手指在基線重新測定上的影響;而噪音臨界值(noisethreshold)則用來忽略計數(電容)zhidexiaobianhua。ciwai,ruoshouzhichupengganceqishi,zaxunlinjiezhizeshitingzhidangshidejixiancedingdongzuo。ruoshouzhichupengganceqiqieganceqizhongxincedingtongshiqidongshi,zeshouzhizeduiganceqijixianchanshengjidadeyingxiang。
˙滑桿與觸控板的質心計算
就算是用很小的計數值也能計算滑桿與觸控板的質心。質心計算能利用乘算器與計數值來設定其解析度。
每個感測器的計數值都會乘上某一個設定值,而這些結果的總平均就可以推算出質心值。
針對觸控板方麵,則是分別計算其中縱向與橫向滑桿的質心值。
整合
電dian容rong式shi感gan測ce技ji術shu可ke輕qing易yi地di運yun用yong在zai電dian玩wan控kong製zhi器qi的de應ying用yong中zhong。按an鍵jian控kong製zhi尤you其qi簡jian單dan,隻zhi需xu將jiang原yuan本ben機ji械xie式shi按an鍵jian用yong具ju有you相xiang似si電dian路lu麵mian積ji的de電dian容rong式shi按an鍵jian取qu代dai即ji可ke。電dian容rong式shi按an鍵jian因yin具ju備bei模mo擬ni功gong能neng,所suo以yi手shou指zhi按an得de越yue用yong力li,與yu感gan應ying器qi覆fu蓋gai層ceng的de互hu動dong麵mian就jiu會hui越yue大da,因yin而er增zeng加jia感gan應ying器qi與yu接jie地di部bu分fen的de觸chu發fa麵mian積ji,如ru此ci將jiang造zao成cheng更geng強qiang的de信xin號hao和he更geng高gao的de計ji數shu值zhi。
針(zhen)對(dui)操(cao)控(kong)台(tai)本(ben)身(shen),電(dian)容(rong)式(shi)按(an)鍵(jian)也(ye)可(ke)以(yi)取(qu)代(dai)麵(mian)板(ban)上(shang)原(yuan)有(you)的(de)按(an)鍵(jian)和(he)開(kai)關(guan),並(bing)簡(jian)化(hua)零(ling)件(jian)組(zu)合(he)與(yu)提(ti)升(sheng)視(shi)覺(jiao)風(feng)格(ge)。而(er)且(qie)由(you)於(yu)麵(mian)板(ban)上(shang)的(de)按(an)鍵(jian)較(jiao)主(zhu)機(ji)上(shang)的(de)按(an)鍵(jian)更(geng)為(wei)分(fen)散(san),因(yin)此(ci)可(ke)用(yong)較(jiao)大(da)的(de)電(dian)容(rong)式(shi)按(an)鍵(jian)以(yi)獲(huo)得(de)更(geng)好(hao)的(de)靈(ling)敏(min)度(du)。
dianrongshihua桿suiranwufazhijieyingyongzaidianwankongzhiqishang,danrengkefujiazaikongzhiqihuocaokongtaishang,yiyonglaikongzhixuandanzhaxun。zaijiashileiyouxizhongdekongzhiyoumengongnengyekeyongtalaiqudaiyuanyoudedanyimonianjian。cishijiubushikaoandeliliang,ershiyishangxiahuadongshouzhizhezhonggengjuzhijiaodekongzhifangshilaijuedingsudu。
觸控板是最接近搖桿的介麵型式,因為它具備二維(甚至三維)的控製維度,而且提供非機械式、比搖桿更堅固的控製架構。此外,觸控板亦能提供更有趣、更具市場性的新介麵。
近jin距ju感gan測ce技ji術shu則ze可ke用yong於yu無wu線xian控kong製zhi器qi的de省sheng電dian功gong能neng上shang。對dui於yu一yi些xie以yi電dian池chi供gong電dian的de應ying用yong而er言yan,功gong耗hao是shi一yi項xiang非fei常chang重zhong要yao的de考kao量liang要yao素su。近jin距ju感gan測ce器qi可ke以yi用yong來lai關guan閉bi裝zhuang置zhi中zhong暫zan時shi不bu用yong的de主zhu要yao控kong製zhi器qi。當dang近jin距ju感gan測ce器qi偵zhen測ce到dao手shou指zhi靠kao近jin時shi,控kong製zhi器qi的de無wu線xian無wu線xian電dian可ke啟qi動dong並bing與yu操cao控kong台tai接jie收shou器qi通tong信xin。藉ji由you關guan閉bi控kong製zhi器qi的de無wu線xian電dian,即ji可ke節jie省sheng可ke觀guan的de電dian力li,而er且qie也ye不bu再zai需xu要yao固gu接jie線xian路lu的de電dian源yuan開kai關guan。
PSoC混合信號陣列(MixedSignalArray)是一套可配置式的數字與模擬資源陣列、快閃存儲器與RAM、一個8位元微控製器、還有其他許多功能。這些功能讓PSoC可在其CapSense係列元件中建置各種創新電容式感測技術。利用PSoC的de直zhi覺jiao式shi開kai發fa環huan境jing來lai配pei置zhi或huo重zhong新xin配pei置zhi元yuan件jian設she計ji,可ke以yi符fu合he設she計ji規gui格ge與yu規gui格ge變bian更geng之zhi需xu求qiu。新xin的de感gan測ce技ji術shu展zhan現xian了le更geng好hao的de靈ling敏min度du與yu抗kang幹gan擾rao能neng力li,並bing能neng降jiang低di功gong耗hao、提升更新速率。
特別推薦
- 噪聲中提取真值!瑞盟科技推出MSA2240電流檢測芯片賦能多元高端測量場景
- 10MHz高頻運行!氮矽科技發布集成驅動GaN芯片,助力電源能效再攀新高
- 失真度僅0.002%!力芯微推出超低內阻、超低失真4PST模擬開關
- 一“芯”雙電!聖邦微電子發布雙輸出電源芯片,簡化AFE與音頻設計
- 一機適配萬端:金升陽推出1200W可編程電源,賦能高端裝備製造
技術文章更多>>
- 如何使用工業級串行數字輸入來設計具有並行接口的數字輸入模塊
- 邊緣AI的發展為更智能、更可持續的技術鋪平道路
- 每台智能體PC,都是AI時代的新入口
- IAR作為Qt Group獨立BU攜兩項重磅汽車電子應用開發方案首秀北京車展
- 構建具有網絡彈性的嵌入式係統:來自行業領袖的洞見
技術白皮書下載更多>>
- 車規與基於V2X的車輛協同主動避撞技術展望
- 數字隔離助力新能源汽車安全隔離的新挑戰
- 汽車模塊拋負載的解決方案
- 車用連接器的安全創新應用
- Melexis Actuators Business Unit
- Position / Current Sensors - Triaxis Hall
熱門搜索
SATA連接器
SD連接器
SII
SIM卡連接器
SMT設備
SMU
SOC
SPANSION
SRAM
SSD
ST
ST-ERICSSON
Sunlord
SynQor
s端子線
Taiyo Yuden
TDK-EPC
TD-SCDMA功放
TD-SCDMA基帶
TE
Tektronix
Thunderbolt
TI
TOREX
TTI
TVS
UPS電源
USB3.0
USB 3.0主控芯片
USB傳輸速度




