超級電容在太陽能路燈設計中的應用
發布時間:2011-07-06
中心議題:
- 采用超級電容的獨立光伏係統分析與設計
- 充電控製策略及超級電容參數
- 獨立式光伏路燈係統簡單計算
- 使用超級電容的太陽能LED路燈係統的組件建模
1 引言
太陽能路燈係統在道路照明中有很高的價值。使用超級電容的太陽能LED路燈係統屬於複合能源係統,該係統中的電能傳輸需要在線控製以保證係統的正常運行。圖1為超級電容的太陽能LED路燈的係統結構。控製器作為核心部件管理著各個部件之間的能量傳輸。為保證蓄電池充放電可靠、高(gao)效(xiao),同(tong)時(shi)滿(man)足(zu)照(zhao)明(ming)需(xu)求(qiu),控(kong)製(zhi)器(qi)需(xu)要(yao)對(dui)係(xi)統(tong)中(zhong)的(de)電(dian)能(neng)進(jin)行(xing)管(guan)理(li)。在(zai)弱(ruo)太(tai)陽(yang)光(guang)照(zhao)的(de)情(qing)況(kuang)下(xia),由(you)於(yu)光(guang)伏(fu)電(dian)池(chi)產(chan)生(sheng)的(de)能(neng)量(liang)不(bu)穩(wen)定(ding),不(bu)能(neng)有(you)效(xiao)的(de)對(dui)蓄(xu)電(dian)池(chi)充(chong)電(dian)。
若ruo選xuan擇ze合he適shi的de控kong製zhi方fang式shi,使shi光guang伏fu電dian池chi產chan生sheng的de能neng量liang先xian蓄xu積ji在zai超chao級ji電dian容rong裏li,到dao適shi當dang的de時shi候hou再zai將jiang存cun儲chu的de能neng量liang通tong過guo脈mai衝chong或huo恒heng流liu的de方fang式shi向xiang蓄xu電dian池chi充chong電dian,可ke以yi有you效xiao的de提ti高gao係xi統tong的de太tai陽yang能neng利li用yong率lv。所suo以yi合he適shi有you效xiao的de控kong製zhi策ce略lve是shi該gai控kong製zhi器qi的de關guan鍵jian技ji術shu。
benwenzaidulishiguangfuludengxitongjiandanjisuanfangfadejichushang,yitigaozairuotaiyangguangguangzhaoqingkuangxiafadianxiaolvweimubiao,tichuyizhongcaiyonglechaojidianrongdeduliguangfuxitongshejifangfa。benwentongguoduishiyongchaojidianrongdetaiyangnengLED路(lu)燈(deng)係(xi)統(tong)各(ge)部(bu)分(fen)組(zu)件(jian)進(jin)行(xing)建(jian)模(mo),在(zai)有(you)充(chong)放(fang)電(dian)控(kong)製(zhi)器(qi)控(kong)製(zhi)的(de)情(qing)況(kuang)下(xia),使(shi)用(yong)計(ji)算(suan)機(ji)仿(fang)真(zhen)對(dui)比(bi)在(zai)各(ge)種(zhong)太(tai)陽(yang)光(guang)照(zhao)情(qing)況(kuang)下(xia)係(xi)統(tong)的(de)發(fa)電(dian)情(qing)況(kuang),其(qi)驗(yan)證(zheng)結(jie)果(guo)向(xiang)使(shi)用(yong)超(chao)級(ji)電(dian)容(rong)的(de)太(tai)陽(yang)能(neng)LED路燈的配置設計提供理論依據。
2 係統分析與設計
使用超級電容的太陽能LED路燈係統由光伏電池陣列、光伏控製器、超級電容、充電控製器、蓄電池、電流變換器、LED負載組成,連接結構如圖1所(suo)示(shi)。超(chao)級(ji)電(dian)容(rong)跨(kua)接(jie)在(zai)直(zhi)流(liu)母(mu)線(xian)和(he)地(di)線(xian)之(zhi)間(jian),用(yong)於(yu)保(bao)持(chi)直(zhi)流(liu)母(mu)線(xian)的(de)電(dian)壓(ya),並(bing)緩(huan)衝(chong)光(guang)伏(fu)電(dian)池(chi)提(ti)供(gong)的(de)過(guo)大(da)能(neng)量(liang),在(zai)適(shi)當(dang)的(de)時(shi)候(hou)放(fang)電(dian)以(yi)滿(man)足(zu)蓄(xu)電(dian)池(chi)的(de)充(chong)電(dian)需(xu)要(yao)和(he)負(fu)載(zai)的(de)供(gong)電(dian)需(xu)要(yao)。

2.1 光伏電池特性分析
光伏電池等效電路模型如圖2所示。

圖2中Iph為光生電流,IVD為流過二極管的電流,VD為Rsh的端電壓,Rsh和Rs為等效的並聯電阻和串聯電阻,V、Is分別為光伏電池元的輸出電壓和電流。根據此等效模型可得到光伏電池的數學模型,並根據數學模型得到光伏電池特性曲線,如下圖3所示。

圖3a為光伏電池在不同光照下的電流-電壓(I-V)曲線,圖3b為光伏電池在不同光照下功率-電壓(P-V)曲線。如圖3.b所示,在一定的光照情況和節點溫度下,光伏電池有唯一的發電最大功率點,因此需要光伏控製器進行最大功率跟蹤(MPPT)控製以獲得最大發電效率。
[page]
2.2 光伏控製器的分析
光伏控製器在設計時通常采用boost升壓電路,以產生比光伏電池板兩端更高的電壓,以利於向蓄電池充電;但dan當dang光guang照zhao不bu足zu時shi,若ruo要yao使shi蓄xu電dian池chi能neng夠gou繼ji續xu充chong電dian,該gai控kong製zhi電dian路lu會hui導dao致zhi光guang伏fu電dian池chi的de工gong作zuo點dian脫tuo離li最zui大da功gong率lv輸shu出chu點dian,但dan這zhe樣yang又you會hui使shi得de光guang伏fu路lu燈deng係xi統tong的de發fa電dian效xiao率lv下xia降jiang。因yin此ci設she計ji控kong製zhi係xi統tong時shi需xu預yu設she弱ruo光guang段duan的de閾yu值zhi,以yi實shi現xian在zai弱ruo光guang下xia能neng通tong過guo超chao級ji電dian容rong緩huan衝chong來lai保bao證zheng蓄xu電dian池chi正zheng常chang充chong電dian的de目mu的de。

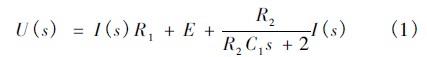
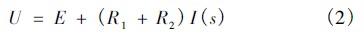
圖4為蓄電池等效電路模型,根據此圖可以看出蓄電池存在最低充電電壓,從而使升壓電路的輸出也存在一個最低電壓。由圖4可得蓄電池小信號數學表達式為:

穩態時,變換器充電電壓為:

式中(R1+R2)為蓄電池內阻,R2為常數,R2隨不同的充電電流和電荷容量變化而變化。

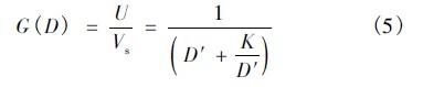
boost工作電路如圖5所示,根據電感L伏秒平衡和電容C充放電能量守恒有:

其中Vs為輸入電源電壓,D為PWM波占空比D+D′=1,icharge為蓄電池充電電流,U為充電電壓,Rs為變換器在負載端等效電阻,T為周期時間。
由式(3)(4)可得:

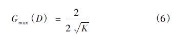
式中D+D′=1,K=Rs/(R1+R2);可得當達到最大值,此時最大增益為:

由於該電路為升壓電路,G最小值為1,可得K取值必須小於0.25。在係統設計時根據蓄電池參數,由式(6)算出,能對蓄電池充電的升壓電路最小輸入電壓為:

式(7)中,Voc為蓄電池最低充電電壓。
[page]
ruozhijiecaiyongguangfudianchiduixudianchichongdian,zedangguangzhaojiaoruoshi,weilezhuizongzuidagonglv,zaicunzaiqitaganraoyinsudetongshiqishuchudianyahuibuwending,daozhiguangfudianchizaichongdianshinanyibaochizaiVzmin上,最後導致係統在該光照範圍內不能對蓄電池正常充電。如圖6中兩曲線分別為晴、陰兩種情況下100W光伏電池可產生的最大功率曲線;陰天的時候,光伏電池在最大功率跟蹤情況下,輸出功率在較低功率B、C區(qu)間(jian)內(nei)抖(dou)動(dong),造(zao)成(cheng)對(dui)蓄(xu)電(dian)池(chi)充(chong)電(dian)不(bu)可(ke)控(kong)。本(ben)文(wen)通(tong)過(guo)采(cai)用(yong)超(chao)級(ji)電(dian)容(rong),把(ba)這(zhe)部(bu)分(fen)不(bu)穩(wen)定(ding)的(de)輸(shu)出(chu)能(neng)量(liang)蓄(xu)積(ji)起(qi)來(lai),再(zai)到(dao)滿(man)足(zu)一(yi)定(ding)的(de)電(dian)壓(ya)條(tiao)件(jian)時(shi),通(tong)過(guo)升(sheng)壓(ya)電(dian)路(lu)把(ba)超(chao)級(ji)電(dian)容(rong)中(zhong)的(de)能(neng)量(liang)釋(shi)放(fang)到(dao)蓄(xu)電(dian)池(chi)。這(zhe)種(zhong)采(cai)用(yong)超(chao)級(ji)電(dian)容(rong)的(de)方(fang)式(shi)可(ke)以(yi)提(ti)高(gao)在(zai)弱(ruo)太(tai)陽(yang)光(guang)照(zhao)下(xia)的(de)發(fa)電(dian)效(xiao)率(lv)。

3 充電控製策略及超級電容參數
3.1 充電控製策略
圖7weixudianchichongdiankongzhicelve。gaicelvezaidiguangzhaoqingkuangxiacaiyongchaojidianrongdianyadezhihuanbijiaokongzhicelve,yichaojidianrongliangduandianyazuoweifankuicaiyangxinhao。ruochaojidianrongliangduandianyadiyushedingxiaxianzhiVoff,則停止向蓄電池充電,光伏控製器采用最大功率跟蹤對超級電容充電;當超級電容電壓充到足夠大為Von時(Von>Voff),以蓄電池的三段式10小時充電法向蓄電池充電;若此時持續低光照,則當超級電容電壓重新下降到下限值Voff時,再次停止向蓄電池充電,如此循環;在足夠光照情況下,當超級電容的電壓超過Von時,係統對蓄電池以三段式10小時充電法充電,同時超級電容電壓也會繼續上升,這時控製器保持超級電容的電壓值不超過新的上限值Vmax。

3.2 充電參數計算
獨立式光伏係統在設計時,需要考慮該係統應用場所的日照條件、電氣設備等。然後根據負載所消耗能量決定光伏電池容量和蓄電池容量。
在獨立式太陽能路燈係統中,光伏電池的容量選擇如下式(8):

蓄電池的容量選擇如下式(9):

式(8)(9)中I為負載所需電流,T為負載每日工作小時數。Ta為平均日照時間。t為連續雨天數,Ksafe為安全係數,Ksoc為蓄電池容許放電深度,η為變換器效率。按三段式10小時充電法,在恒流充電階段,充電電流icharge為0.1Cbattery。則恒流充電階段,充電功率為:

按光伏電池容量可得其滿功率工作時輸出功率為:

由上,采用超級電容電壓滯環比較控製法,超級電容向蓄電池充電一次最短時間為td,根據能量守恒有:

在本係統中光伏控製器和采用boost電路。由式(7)可得根據光伏電池的弱光下最大功率點工作電壓計算Von上限。根據蓄電池浮充電壓及超級電容的漏電流確定Voff。最後可得超級電容的容量:

[page]
4 仿真實驗
仿真實驗示例采用60WLED路燈,按以下參數設計:路燈連續工作時間為8小時,平均日照時間為4小時,安全係數為0.76,光伏控製器效率為0.85,連續雨天數為4日,蓄電池允許放電深度為0.5,充電控製器效率為0.85。若選用48V蓄電池,根據式(9)計算得蓄電池容量為:157Ah。光伏電池發電容量為:188W。選用開路電壓為17V的光伏電池。由前麵的推導選擇Von=40V,Voff=30V。由式(13)計算,為保證每蓄電池充電一次持續時間至少為60s,超級電容值需大於0.127F。
根據以上數據在仿真模型中建立simulink/matlab模型,模型按照圖1suoshidexitongjiegoujianli,caiyongdaiyouzuidagonglvgenzongdeguangfudianchikongzhiqi,baguangfudianchishangdediannengchuanshudaozhijiebinglianchaojidianrongdezhiliumuxianshang。tongshidiannengtongguoxudianchichongfangdiankongzhiqigeixudianchichongdian。rutu8所示,該係統的simulink模型主要有PV模塊、LED模塊、直流母線模塊、蓄電池模塊、超級電容積分模塊、蓄電池充電控製器模塊。

如圖8,把超級電容值設置為0,則可以仿真直接boost電路充電方式不采用超級電容係統,仿真結果如圖9所示,圖9(a)、圖9(b)分別模擬陰天和晴天光照情況下蓄電池充電電流、及蓄電池電壓。在陰天弱光照情況下,係統發電能力受到係統自身損耗影響很大,其啟動所需要的光照強度高。

在晴天較強光照情況下,係統能在高工作效率狀態下工作。
采用超級電容係統的仿真結果如圖10所示圖10(a)、圖10(b)分別模擬陰天和晴天光照情況下超級電容電壓、蓄電池充電電流、及蓄電池電壓。

在陰天弱光照情況下,超級電容充放電次數較少,蓄電池電壓呈階梯狀上升。在晴天強光照下,超級電容充放電次數多。
duibiliangzhongxitongjiegou,congxudianchizuizhongdianyakeyikanchu,ruoguangzhaoqingkuangxia,shiyongchaojidianrongxitongdeguangfudianchideliyonglvshangsheng,xudianchidianyabianhuazhiyueweibucaiyongchaojidianrongdexudianchidianyabianhuazhide120%,即在弱光照下,係統的光伏發電效率提高了大約20%。而er在zai晴qing天tian,有you足zu夠gou光guang照zhao的de情qing況kuang下xia,雖sui然ran在zai早zao晚wan光guang照zhao較jiao弱ruo時shi,其qi發fa電dian能neng力li得de到dao提ti高gao,但dan由you於yu多duo引yin入ru一yi級ji變bian換huan器qi,在zai較jiao高gao功gong率lv下xia,采cai用yong超chao級ji電dian容rong沒mei有you對dui係xi統tong的de發fa電dian效xiao率lv有you明ming顯xian的de提ti高gao。由you上shang,采cai用yong超chao級ji電dian容rong的de獨du立li光guang伏fu係xi統tong在zai光guang照zhao不bu足zu的de地di區qu能neng對dui發fa電dian能neng力li有you明ming顯xian的de改gai善shan。
5 結論
本文在獨立式光伏係統簡單計算方法的基礎上,提出采用了超級電容的獨立光伏係統的設計算法。
通過對使用超級電容的太陽能LED路(lu)燈(deng)係(xi)統(tong)各(ge)部(bu)分(fen)組(zu)件(jian)進(jin)行(xing)建(jian)模(mo),在(zai)采(cai)用(yong)充(chong)放(fang)電(dian)控(kong)製(zhi)器(qi)控(kong)製(zhi)情(qing)況(kuang)下(xia),使(shi)用(yong)計(ji)算(suan)機(ji)仿(fang)真(zhen)對(dui)比(bi)在(zai)各(ge)種(zhong)太(tai)陽(yang)光(guang)照(zhao)情(qing)況(kuang)下(xia)係(xi)統(tong)的(de)發(fa)電(dian)情(qing)況(kuang)。仿(fang)真(zhen)結(jie)果(guo)證(zheng)明(ming),使(shi)用(yong)該(gai)方(fang)法(fa)可(ke)以(yi)有(you)效(xiao)提(ti)高(gao)在(zai)弱(ruo)太(tai)陽(yang)光(guang)照(zhao)情(qing)況(kuang)下(xia)的(de)光(guang)伏(fu)係(xi)統(tong)發(fa)電(dian)效(xiao)率(lv),從(cong)而(er)向(xiang)使(shi)用(yong)超(chao)級(ji)電(dian)容(rong)的(de)太(tai)陽(yang)能(neng)LED路燈的配置設計提供了理論依據。
- 噪聲中提取真值!瑞盟科技推出MSA2240電流檢測芯片賦能多元高端測量場景
- 10MHz高頻運行!氮矽科技發布集成驅動GaN芯片,助力電源能效再攀新高
- 失真度僅0.002%!力芯微推出超低內阻、超低失真4PST模擬開關
- 一“芯”雙電!聖邦微電子發布雙輸出電源芯片,簡化AFE與音頻設計
- 一機適配萬端:金升陽推出1200W可編程電源,賦能高端裝備製造
- 一秒檢測,成本降至萬分之一,光引科技把幾十萬的台式光譜儀“搬”到了手腕上
- AI服務器電源機櫃Power Rack HVDC MW級測試方案
- 突破工藝邊界,奎芯科技LPDDR5X IP矽驗證通過,速率達9600Mbps
- 通過直接、準確、自動測量超低範圍的氯殘留來推動反滲透膜保護
- 從技術研發到規模量產:恩智浦第三代成像雷達平台,賦能下一代自動駕駛!
- 車規與基於V2X的車輛協同主動避撞技術展望
- 數字隔離助力新能源汽車安全隔離的新挑戰
- 汽車模塊拋負載的解決方案
- 車用連接器的安全創新應用
- Melexis Actuators Business Unit
- Position / Current Sensors - Triaxis Hall





