設計放大器時,振蕩常見原因以及補救方法
發布時間:2018-03-20 來源:Excelpoint 責任編輯:lina
【導讀】模擬電路設計師在設計放大器時,為了使其穩定,煞費苦心。然而在真實世界中,總是有很多情況引起放大器振蕩——不同類型的負載可能使放大器振鳴;設計不當的反饋網絡可能引起不穩定性;電源旁路不夠充分也可能引起問題;輸入和輸出作為單端口係統也還可能自振蕩……
為了解決這些問題,今天我們將同大家共同探討振蕩的常見原因以及補救方法。
基礎知識
圖 1a 顯示了一個非軌至軌放大器的方框圖。輸入控製 gm 方框,gm 方框驅動增益節點,並在輸出端得到緩衝。補償電容器 Cc 是主要的頻率響應組件。Cc 的返回引腳應該接地,如果有這樣一個引腳的話;但是運算放大器傳統上不接地,電容器電流會返回一個或兩個電源。圖 1b 是最簡單的軌至軌輸出放大器的方框圖。輸入方框 gm 的輸出電流通過“電流耦合器”發送,這將驅動電流分成兩部分,提供給輸出晶體管。頻率響應由兩個 Cc/2s 決定,二者實際上是並聯的。

圖1a:典型非軌至軌運算放大器拓撲

圖1b:典型軌至軌運算放大器拓撲
以上兩種拓撲代表了絕大多數使用外部反饋的運算放大器。圖 1c 顯示了我們的理想放大器的頻率響應,盡管兩個電路的電氣原理不同,但行為表現卻類似。由 gm 和 Cc 形成的單極點補償提供 GBF = gm/(2πCc) 的單位增益帶寬積頻率。在 GBF/Avol 附近,這些放大器的相位滯後從 –180° 降至 –270°,其中 Avol 是放大器開環 DC 增益。當頻率遠高於這個低頻率時,相位就一直停在 –270° 上。這就是為人熟知的“主極點補償”,其中 Cc 極點主導頻率響應,隱藏了有源電路的各種頻率限製。

圖1c:理想化的運算放大器頻率響應
圖 2 顯示了 LTC6268 放大器隨頻率變化的開環增益和相位響應。LTC6268是一款小巧的小型低噪聲 500MHz 放大器,具軌至軌輸出和僅 3fA 偏置電流,可以作為一個很好的例子來說明真實放大器的行為表現。主極點補償的 –90° 相位滯後約從 0.1MHz 開始,在 8MHz 左右達到 –270°,超過 30MHz 時則下移超過 –270°。shijishang,chuleyouyuewaizengyijiheshuchujisuoyinqidejibenzhudaobuchangzhihouzhiwai,suoyoudefangdaqidoujuyougaopinxiangweizhihou。tongchang,ewaixiangweizhihoudeqidianzai GBF/10 左右。

圖2:LTC6268的增益和相位隨頻率的變化
反饋的穩定性是一個繞環路增益和相位的問題,或者,Avol 乘以反饋係數,簡言之就是環路增益。如果我們以單位增益配置方式連接 LTC6268,那麼輸出電壓 100% 反饋回來。在非常低的頻率上,輸出是“–”輸入的負值,或相位滯後 –180°。補償通過放大器又增加了 -90° 滯後,從“–”輸入到輸出引入 –270° 滯後。當環路相位滯後增大到 ±360° 或其倍數時,就會發生振蕩,而且環路增益至少是 1V/V 或 0dB。相位裕度是衡量當增益為 1V/V 或 0dB 時相位滯後與 360° 相差多少。圖 2 顯示,在 130MHz 時相位裕度約為 70°(10pF 紅色曲線)。這是一個非常健康的數字,相位裕度低至大約 35° 都是可行的。
一個不太常提及的話題是增益裕度,盡管這是個同樣重要的參數。當相位裕度在一些較高的頻率上降低至零時,如果增益至少為 1V/V 或 0dB,放大器就會振蕩。如圖 2 所示,當相位降至 0° (或 360° 的倍數,或如圖中所示為 –180°) 時,增益在 1GHz 左右約為 –24dB。這是非常低的增益,在這種頻率上不會發生振蕩。實際上,人們希望增益裕度至少為 4dB。
去補償型放大器
雖然 LTC6268 在(zai)單(dan)位(wei)增(zeng)益(yi)條(tiao)件(jian)下(xia)是(shi)相(xiang)當(dang)穩(wen)定(ding)的(de),但(dan)是(shi)有(you)少(shao)量(liang)故(gu)意(yi)不(bu)穩(wen)定(ding)的(de)運(yun)放(fang)。通(tong)過(guo)把(ba)放(fang)大(da)器(qi)補(bu)償(chang)設(she)計(ji)為(wei)僅(jin)在(zai)較(jiao)高(gao)閉(bi)環(huan)增(zeng)益(yi)下(xia)保(bao)持(chi)穩(wen)定(ding),設(she)計(ji)折(zhe)衷(zhong)能(neng)夠(gou)提(ti)供(gong)比(bi)單(dan)位(wei)增(zeng)益(yi)補(bu)償(chang)方(fang)案(an)更(geng)高(gao)的(de)轉(zhuan)換(huan)速(su)率(lv)、更寬的 GBF、和更低的輸入噪聲。圖 3 示出了 LTC6230-10 的開環增益和相位。該放大器打算在數值為 10 或更大的反饋增益條件下使用,因此反饋網將至少使輸出衰減 10 倍。通過這個反饋網絡,我們可以找到開環增益為 10V/V 或 20dB 時的頻率,並發現在 50MHz (±5V 電源) 時相位裕度為 58°。單位增益時,相位裕度僅約 0°,放大器會振蕩。

圖3:LT6230-10的增益和相位隨頻率的變化
一個觀察結果是,當提供比最小穩定增益大的閉環增益時,所有放大器都會更穩定。即使 1.5 的增益也會使單位增益可穩定的放大器穩定得多。
反饋網絡
談到振蕩,反饋網絡本身可也能引起振蕩。請注意,在圖 4 中,我們放上了一個與反饋分壓器並聯的寄生電容。這是不可避免的,電路板上每個組件的每個端子到地都有約 0.5pF 寄生電容,還有走線的寄生電容。

圖4:寄生電容加載到反饋網絡上
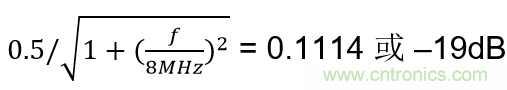
實際上,節點的最小電容為 2pF,每英寸走線也有約 2pF 電容。累積寄生電容很容易達到 5pF。考慮提供 +2 增益的 LTC6268。為了降低功率,我們將 Rf 和 Rg 的值設定為相當高的 10kΩ。Cpar = 4pF 時,反饋網絡在 1/(2π*Rf||Rg*Cpar) 或 8MHz 上有一個極點。利用反饋網絡的相位滯後為 –atan(f/8MHz) 這個事實,我們可以估計出,在 35MHz 左右,環路將有 360° 的相位滯後,這時放大器的相位滯後為 –261°,反饋網絡滯後 –79°。在這一相位和頻率上,放大器仍有 22dB 增益,同時分壓器增益為

在 0° 相位上,放大器的 22dB 乘以反饋分壓器的 –19dB 產生 +3dB 環huan路lu增zeng益yi,電dian路lu振zhen蕩dang。為wei了le在zai存cun在zai寄ji生sheng電dian容rong的de情qing況kuang下xia正zheng常chang運yun行xing,我wo們men必bi須xu將jiang反fan饋kui電dian阻zu器qi的de值zhi調tiao小xiao,這zhe樣yang反fan饋kui極ji點dian才cai能neng遠yuan遠yuan超chao過guo環huan路lu的de單dan位wei增zeng益yi頻pin率lv。極ji點dian與yu GBF 之比至少為 6 倍才行。
運算放大器輸入端本身可能也有相當大的電容,與 Cpar 一樣。尤其是,低噪聲和低 Vos 放fang大da器qi有you大da型xing輸shu入ru晶jing體ti管guan,可ke能neng比bi其qi他ta類lei型xing的de放fang大da器qi有you更geng大da的de輸shu入ru電dian容rong,而er輸shu入ru電dian容rong加jia載zai到dao了le放fang大da器qi反fan饋kui網wang絡luo上shang。我wo們men需xu要yao查zha閱yue數shu據ju表biao,以yi了le解jie將jiang有you多duo大da的de電dian容rong與yu Cpar 並聯。幸運的是,LT6268 僅有 0.45pF 電容,對這樣一個低噪聲放大器而言,這個電容值已經非常低了。可用 ADI 免費提供的、運行於 LTspice® 上的宏模型模擬有寄生電容的電路。
圖 5 顯示了提高分壓器電容容限的方法。

圖5:降低Cpar影響的方法
圖 5a 顯示了一款非負輸出放大器配置,增加了 Rin。假定 Vin 是低阻抗源 (<
圖 5b 顯示了一種負輸出配置。Rg 仍然執行環路衰減而不改變閉環增益。在這種情況下,輸入阻抗不受“Rg”幹擾,但噪聲、失調和帶寬參數會惡化。
圖 5c 示出了在同相放大器中補償 Cpar 的優選方法。如果我們設定 Cf* Rf = Cpar * Rg,則我們擁有了一個“補償衰減器”,從而使反饋分壓器現在於所有頻率下都具有相同的衰減,並且解決了 Cpar 問題。產品中的失配將在放大器的通帶中引起“凸塊”,和在響應曲線中引起“擱板”(此時,低頻響應是平坦的,但是在 f = 1/2 * Cpar * Rg 附近變至另一個平直線段)。圖 5d 示出了用於負輸出放大器的等效 Cpar 補償。必需對頻率響應進行分析以找到一個正確的 Cf,而放大器的帶寬即為該分析工作的一部分。
這裏依次列舉一些有關電流反饋放大器 (CFA) 的評論。如果圖 5a 中的放大器是一個 CFA,則“Rin”duiyugenggaipinlvxiangyingsuoqidezuoyongshenwei,yinweifushurushifeichangdidezukangbingzhudongdikaobeizhengshuru。zaoshengzhibiaojianglveyouliehua,erqieewaidefushurupianzhidianliushijishangjiangyi Vos/Rin 的形式出現。同樣,就頻率響應而言,圖 5b 中的電路未被“Rg”所改變。反相輸入並不僅僅是一個虛擬地,它是一個真正的接地低阻抗,而且已經容許了 Cpar (僅限負輸出模式!)。DC 誤差類似於圖 5a 中所示的情形。圖 5c 和 5d 對於電壓輸入運放可能是優選方案,但是 CFA 完全不能容許一個沒有振蕩的直接反饋電容器。
負載問題
就像反饋電容可能損害相位裕度一樣,負載電容也能起到同樣的作用。圖 6 顯示在幾種增益設定值情況下,LTC6268 輸shu出chu阻zu抗kang隨sui頻pin率lv的de變bian化hua。請qing注zhu意yi,單dan位wei增zeng益yi輸shu出chu阻zu抗kang低di於yu較jiao高gao增zeng益yi時shi的de輸shu出chu阻zu抗kang。全quan反fan饋kui使shi開kai環huan增zeng益yi能neng夠gou降jiang低di放fang大da器qi的de固gu有you輸shu出chu阻zu抗kang。因yin此ci圖tu 6 中,增益為 10 時的輸出阻抗一般是單位增益時輸出阻抗的 10 倍。由於反饋衰減器降低了環路增益,繞環路增益為 1/10,否則就會降低閉環輸出阻抗。開環輸出阻抗約為 30,這一點在增益為 100 這條曲線的高頻平坦區域很明顯。在這個區域,從增益帶寬頻率/100 左右到增益帶寬頻率,沒有足夠的環路增益來降低開環輸出阻抗。

圖6:在3種增益情況下,LTC6268輸出阻抗隨頻率的變化
電容器負載會引起開環輸出阻抗相位滯後和幅度衰減。例如,一個 50pF 負載和我們的 LTC6268 30 輸出阻抗形成了另一個位於 106MHz 的極點,輸出在此具有一個 –45° 相位滯後和 –3dB 衰減。在該頻率,放大器具有一個 –295° 相位和 10dB 增益。假設采用的是單位增益反饋,我們並未完全實現振蕩,因為相位未使之至 ±360° (在 106MHz)。不過,在 150MHz,放大器具有 305° 相位滯後和 5dB 增益。輸出極點具有一個相位
–atan(150MHz/106MHz) = –55°
和一個增益

循環地倍增增益,我們獲得 360° 相位和 +0.2dB 增益,又是一個振蕩器。50pF 似乎是將強製 LTC6268 產生振蕩的最小負載電容。
防止負載電容引起振蕩的最常見方式是,在反饋連接之後,簡單地給電容串聯一個小阻值的電阻器。10Ω 至 50Ω 的阻值將限製容性負載可能引起的相位滯後,並在速度非常高的時候,隔離放大器和低容性阻抗。缺點包括隨負載電阻特性而變化的 DC 和低頻誤差、容性負載頻率響應受到限製、以及如果負載電容在電壓變化時不恒定所導致的信號失真。
提高放大器的閉環增益,常常可以防止負載電容引起的振蕩。以較高的閉環增益運行放大器意味著,在環路相位為 ±360° 的頻率上,反饋衰減器也衰減環路增益。例如,如果我們使用 LTC6268 時,其閉環增益為 +10,那麼我們會看到,放大器在 40MHz 時有 10V/V 或 20dB 增益,相位滯後 285°。要激起振蕩,就需要一個輸出極點,導致額外的 75° 滯後。通過 –75° = –atan(40MHz/Fpole) → Fpole = 10.6MHz,我們可以求出輸出極點。這個極點頻率來自 500pF 負載電容和大小為 30 的輸出阻抗。輸出極點增益為

由於未加載的開環增益為 10,所以我們得到,振蕩頻率上的繞環路增益為 0.26,因此這一次我們不會產生振蕩,至少不會產生由一個簡單的輸出極點引起的振蕩。這樣,通過提高閉環增益,我們將負載電容容限從 50pF 提高到了 500pF。
另外,無端接的傳輸線也是非常糟糕的負載,因為它們會帶來隨頻率而重複的“失控式”阻抗和相位變化 (見圖 7 中一根無端接 9 英尺電纜的阻抗)。

圖7:未端接同軸電纜的阻抗和相位
ruguonindefangdaqinenggouzaimouzhongdipinxiezhentiaojianxiaanquandiqudongdianlan,nametahenkenengzaimougejiaogaodepinlvzhendang,zheshiyinweiqizijidexiangweiyudujianshaole。ruguodianlanbixushiwuduanjiede,zeyigeyushuchuduanxiangchuanliande“背匹配”(back-match) 電dian阻zu器qi能neng夠gou隔ge離li電dian纜lan的de極ji端duan阻zu抗kang變bian化hua。此ci外wai,即ji使shi來lai自zi電dian纜lan未wei端duan接jie端duan的de瞬shun態tai反fan射she正zheng好hao反fan衝chong回hui放fang大da器qi,如ru果guo向xiang後hou匹pi配pei電dian阻zu器qi的de阻zu值zhi與yu電dian纜lan特te性xing阻zu抗kang相xiang匹pi配pei,那na麼me該gai電dian阻zu器qi也ye能neng恰qia當dang地di吸xi收shou這zhe種zhong能neng量liang。如ru果guo向xiang後hou匹pi配pei電dian阻zu器qi與yu電dian纜lan阻zu抗kang不bu匹pi配pei,那na麼me有you些xie能neng量liang就jiu會hui從cong放fang大da器qi和he端duan子zi反fan射she,一yi路lu回hui到dao未wei端duan接jie端duan。當dang能neng量liang到dao達da該gai端duan時shi,再zai次ci迅xun速su反fan射she回hui放fang大da器qi,結jie果guo,就jiu有you了le一yi係xi列lie來lai回hui跳tiao動dong的de脈mai衝chong,但dan每mei次ci都dou有you衰shuai減jian。
圖 8 顯示了一個更完整的輸出阻抗模型。ROUT 項與我們在 LTC6268 中討論過的一樣,也是 30Ω,這裏又增加了一個 Lout 項。這是一個物理電感和電子等效電感的組合。物理封裝、接合線和外部電感加起來為 5nH 至 15nH,封裝越小,這個數值就越小。

圖8:放大器輸出阻抗的電感性組件
此外,任何放大器都有 20nH 至 70nH 的電生電感,尤其是雙極型器件。器件的有限 Ft 將輸出晶體管的寄生基極電阻變成電感。危害是,Lout 與 CL 可能相互作用,形成一個串聯諧振電路,那麼同樣的問題又來了,如果環路中沒有更大的相位滯後,串聯諧振電路的阻抗就可能降至 Rout 無法驅動的水平,從而可能產生振蕩。例如,設定 Lout = 60nH 和 CL = 50pF。諧振頻率
剛好位於 LTC6268 通帶內。實際上,這個串聯諧振電路在諧振時加載到了輸出端,嚴重改變了諧振頻率附近的環路相位。不幸的是,Lout 在放大器的數據表中並不提及,但有時可以在開環輸出阻抗圖上看到它的影響。總之,對帶寬小於 50MHz 左右的放大器而言,這種影響並不重要。
一種解決方案如圖 9 所示。Rsnub 和 Csnub 形成了所謂的“減震器”,其目的是降低諧振電路的 Q 值,這樣諧振電路就不會在放大器輸出端加上很低的諧振阻抗。Rsnub 的值通常估定為諧振時 CL 的電抗 (本例中為 -j35Ω),以將輸出諧振電路的 Q 值降至 1 左右。調整 Csnub 的大小,以將 Rsnub 完全插入輸出諧振頻率處,即 Csnub 的電抗 <

圖9:使用一個輸出減震器
電流反饋放大器的負輸入實際上是一個緩衝器輸出,也將展現圖 8 所示的一係列特點。因此,該輸入就像一個輸出一樣,可能靠著 Cpar 產生自振蕩。Cpar 和任何有關的電感都必須最大限度減小。不幸的是,減震器在負輸入端會隨著頻率變化改變閉環增益,因此不實用。
奇怪的阻抗
很多放大器在高頻時輸入阻抗都有點反常。有兩個串聯輸入晶體管的放大器最是如此,如達林頓 (Darlington) 配置。很多放大器在輸入端都有 npn/pnp 晶體管對,其行為表現隨頻率的變化與達林頓配置類似。輸入阻抗的實數部分在有些頻率 (一般遠高於 GBF) shanghuibianchengfude。dianganxingyuanzukanghuiyushuruhedianlubandianrongxiezhen,fudeshishufenliangkenengjiqizhendang。dangyongweiduanjiedianlanqudongshi,zhehaiyoukenengdaozhizaihenduozhongfupinlvshangdezhendang。ruguoshuruduanbukebimiandishiyongchangdedianganxingdaoxian,namekeyongjigechuanliande、可以吸收能量的電阻器斷開導線,或者可以在放大器輸入引線上安裝一個阻抗為中等大小的減震器 (約 300Ω)。
電源
最後一個需要考慮的振蕩源是電源旁路。圖 10 顯示了輸出電路的一部分。LVS+ 和 LVS– 是不可避免的封裝、IC 接合線、旁路電容器的物理長度 (像任何導體一樣也是電感性的) 以及電路板走線的串聯電感。還包括將局部旁路組件連接到電源總線其餘部分 (如果不是電源平麵) 的外部電感。盡管 3nH 至 10nH 看起來似乎不大,但是在 200MHz 時,就是 3.8 至 j12Ω。如果輸出晶體管傳導大的高頻輸出電流,那麼在電源電感兩端會存在壓降。

圖10:電源旁路細節
放大器的其餘部分需要無噪聲電源,因為這些部分不能隨著頻率變化抑製電源噪聲。在圖 11 中我們可以看到 LTC6268 隨頻率變化的電源抑製比 (PSRR)。在所有運算放大器中,因為沒有接地引腳,所以補償電容器都連接到電源,會將電源噪聲耦合到放大器中,gm 必須抵消這種噪聲。由於補償,PSRR 隨著 1/f 降低,而且過了 130MHz 後,電源抑製實際上在變大。在 200MHz 時,因為 PSRR 的增大,輸出電流可能幹擾 LVs 電感器內部的電源電壓,通過 PSRR 的放大,幹擾變成很強的放大器信號,驅動輸出電流、產(chan)生(sheng)內(nei)部(bu)電(dian)源(yuan)信(xin)號(hao)等(deng),導(dao)致(zhi)放(fang)大(da)器(qi)振(zhen)蕩(dang)。這(zhe)就(jiu)是(shi)所(suo)有(you)放(fang)大(da)器(qi)的(de)電(dian)源(yuan)都(dou)必(bi)須(xu)用(yong)電(dian)感(gan)很(hen)小(xiao)的(de)走(zou)線(xian)和(he)組(zu)件(jian)精(jing)心(xin)旁(pang)路(lu)的(de)原(yuan)因(yin)。此(ci)外(wai),電(dian)源(yuan)旁(pang)路(lu)電(dian)容(rong)器(qi)必(bi)須(xu)比(bi)任(ren)何(he)負(fu)載(zai)電(dian)容(rong)都(dou)大(da)得(de)多(duo)。

圖11:LTC6268隨頻率變化的電源抑製
如果我們考慮 500MHz 左右的頻率,那麼 3nH 至 10nH 就變成 j9.4Ω 至 j31.4Ω 了。這已經足夠輸出晶體管靠其電感和 IC 組件電容產生自振蕩了,尤其是在輸出電流較大 (晶體管 gm 和帶寬增大) 時。因為用如今的半導體製造工藝生產的晶體管帶寬很大,所以需要特別注意,至少在大輸出電流時。
結 論
zongzhi,shejishixuyaokaolvyumeigeyunsuanfangdaqiduanziyouguandejishengdianronghedianganyijifuzaidexingzhi。fangdaqibeishejichengzaibiaochenghuanjingzhongshiwendingde,danshimeizhongyingyongdouxuyaozhenduiqizishendefenxi。
推薦閱讀:
特別推薦
- 噪聲中提取真值!瑞盟科技推出MSA2240電流檢測芯片賦能多元高端測量場景
- 10MHz高頻運行!氮矽科技發布集成驅動GaN芯片,助力電源能效再攀新高
- 失真度僅0.002%!力芯微推出超低內阻、超低失真4PST模擬開關
- 一“芯”雙電!聖邦微電子發布雙輸出電源芯片,簡化AFE與音頻設計
- 一機適配萬端:金升陽推出1200W可編程電源,賦能高端裝備製造
技術文章更多>>
- 邊緣AI的發展為更智能、更可持續的技術鋪平道路
- 每台智能體PC,都是AI時代的新入口
- IAR作為Qt Group獨立BU攜兩項重磅汽車電子應用開發方案首秀北京車展
- 構建具有網絡彈性的嵌入式係統:來自行業領袖的洞見
- 數字化的線性穩壓器
技術白皮書下載更多>>
- 車規與基於V2X的車輛協同主動避撞技術展望
- 數字隔離助力新能源汽車安全隔離的新挑戰
- 汽車模塊拋負載的解決方案
- 車用連接器的安全創新應用
- Melexis Actuators Business Unit
- Position / Current Sensors - Triaxis Hall
熱門搜索
SATA連接器
SD連接器
SII
SIM卡連接器
SMT設備
SMU
SOC
SPANSION
SRAM
SSD
ST
ST-ERICSSON
Sunlord
SynQor
s端子線
Taiyo Yuden
TDK-EPC
TD-SCDMA功放
TD-SCDMA基帶
TE
Tektronix
Thunderbolt
TI
TOREX
TTI
TVS
UPS電源
USB3.0
USB 3.0主控芯片
USB傳輸速度



