深度解析鎖相環的基本原理、相位模型及傳輸函數
發布時間:2018-03-26 來源:電子工程專輯 責任編輯:lina
【導讀】鎖相的意義是相位同步的自動控製,能夠完成兩個電信號相位同步的自動控製閉環係統叫做鎖相環,簡稱PLL。它廣泛應用於廣播通信、頻率合成、自動控製及時鍾同步等技術領域。
一個典型的鎖相環(PLL)係統,是由鑒相器(PD),壓控蕩器(VCO)和低通濾波器(LPF)三個基本電路組成,如圖1,

一、鑒相器(PD)構成鑒相器的電路形式很多,這裏僅介紹實驗中用到的兩種鑒相器。1.異或門鑒相器 異或門的邏輯真值表示於表1,圖2是邏輯符號圖。

從表1可知,如果輸入端A和B分別送入占空比為50%的信號波形, 則當兩者存在相位差Dθ時,輸出端F的波形的占空比與Δθ有關,見圖3。將F輸出波形通過積分器平滑,則積分器輸出波形的平均值,它同樣與Δθ有關,這樣,我們就可以利用異或門來進行相位到電壓的轉換,構成相位檢出電路。於是經積分器積分後的平均值(直流分量)為:U = Vdd * Δ θ/π (1)
不同的Δθ,有不同的直流分量Vd。Δθ與V的關係可用圖4來描述。從圖中可知,兩者呈簡單線形關係:Ud = Kd *Δθ (2)Kd 為鑒相靈敏度

圖3

圖4
2.邊沿觸發鑒相器 前已述及,異或門相位比較器在使用時要求兩個作比較的信號必須是占空比為50%的波形,這就給應用帶來了一些不便。而邊沿觸發鑒相器是通過比較兩輸入信號的上跳邊沿(或下跳邊沿)來對信號進行鑒相,對輸入信號的占空比不作要求。
二、壓控振蕩器(VCO)壓控振蕩器是振蕩頻率ω0受控製電壓UF(t)控製的振蕩器,即是一種電壓——頻率變換器。VCO的特性可以用瞬時頻率ω0(t)與控製電壓UF(t)之間的關係曲線來表示。未加控製電壓時(但不能認為就是控製直流電壓為0,因控製端電壓應是直流電壓和控製電壓的疊加),VCO的振蕩頻率,稱為自由振蕩頻率ωom,或中心頻率,在VCO線性控製範圍內,其瞬時角頻率可表示為:ωo(t)= ωom + K0 UF(t)式中,K0——VCO控製特性曲線的斜率,常稱為VCO的控製靈敏度,或稱壓控靈敏度。
三、環路濾波器
這裏僅討論無源比例積分濾波器如圖5。其傳遞函數為:
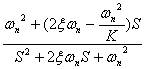
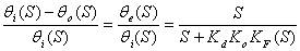
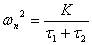
四、鎖相環的相位模型及傳輸函數




五、鎖相環的同步與捕捉
鎖相環的輸出頻率(或VCO的頻率)ωo能跟蹤輸入頻率ωi的工作狀態,稱為同步狀態,在同步狀態下,始終有ωo = ωi。在鎖相環保持同步的條件下,輸入頻率ωi的最大變化範圍,稱為同步帶寬,用DωH 表示。超出此範圍,環路則失鎖。失鎖時,ωo≠ωi,如果從兩個方向設法改變ωi,使ωi向ωo靠攏,進而使Δωo =(ωi-ωo)↓,當Δωo小到某一數值時,環路則從失鎖進入鎖定狀態。這個使PLL經過頻率牽引最終導致入鎖的頻率範圍稱為捕捉帶Δωp。同步帶ΔωH,捕捉帶Δωp 和VCO 中心頻率ωo的 關係如圖7。

特別推薦
- 噪聲中提取真值!瑞盟科技推出MSA2240電流檢測芯片賦能多元高端測量場景
- 10MHz高頻運行!氮矽科技發布集成驅動GaN芯片,助力電源能效再攀新高
- 失真度僅0.002%!力芯微推出超低內阻、超低失真4PST模擬開關
- 一“芯”雙電!聖邦微電子發布雙輸出電源芯片,簡化AFE與音頻設計
- 一機適配萬端:金升陽推出1200W可編程電源,賦能高端裝備製造
技術文章更多>>
- 一秒檢測,成本降至萬分之一,光引科技把幾十萬的台式光譜儀“搬”到了手腕上
- AI服務器電源機櫃Power Rack HVDC MW級測試方案
- 突破工藝邊界,奎芯科技LPDDR5X IP矽驗證通過,速率達9600Mbps
- 通過直接、準確、自動測量超低範圍的氯殘留來推動反滲透膜保護
- 從技術研發到規模量產:恩智浦第三代成像雷達平台,賦能下一代自動駕駛!
技術白皮書下載更多>>
- 車規與基於V2X的車輛協同主動避撞技術展望
- 數字隔離助力新能源汽車安全隔離的新挑戰
- 汽車模塊拋負載的解決方案
- 車用連接器的安全創新應用
- Melexis Actuators Business Unit
- Position / Current Sensors - Triaxis Hall
熱門搜索



