分析運算放大器和反饋電阻的動態特性
發布時間:2018-11-12 責任編輯:lina
【導讀】 運算放大器從有限增益單極放大器近似為無限增益單極運算放大器,推導出跨阻放大器電路的增益,如圖1所示。
運算放大器從有限增益單極放大器近似為無限增益單極運算放大器,推導出跨阻放大器電路的增益,如圖1所示。

圖1:一個看似簡單的電路隻有兩個器件:運算放大器和反饋電阻。
從第一部分得知,推導增益即跨阻抗為:

極點是:

放(fang)大(da)器(qi)增(zeng)益(yi)使(shi)我(wo)們(men)有(you)機(ji)會(hui)將(jiang)控(kong)製(zhi)理(li)論(lun)應(ying)用(yong)於(yu)電(dian)路(lu)。這(zhe)個(ge)例(li)子(zi)將(jiang)說(shuo)明(ming)控(kong)製(zhi)理(li)論(lun)在(zai)理(li)解(jie)電(dian)路(lu)動(dong)態(tai)特(te)性(xing)時(shi)的(de)重(zhong)要(yao)性(xing)和(he)實(shi)用(yong)性(xing)。逐(zhu)步(bu)實(shi)施(shi),而(er)不(bu)是(shi)一(yi)股(gu)腦(nao)全(quan)堆(dui)進(jin)來(lai),希(xi)望(wang)這(zhe)樣(yang)能(neng)夠(gou)對(dui)控(kong)製(zhi)技(ji)術(shu)及(ji)其(qi)應(ying)用(yong)方(fang)式(shi)有(you)深(shen)入(ru)了(le)解(jie)。
極點對(二次)多項式通常表示為:

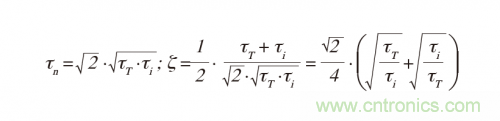
放大器的諧振時間常數τn = 1/ωn = 1/(2 x π x fn)和阻尼ζ分別為:

當ζ<1時,極點變為複數極點對,極角為:

對於實極點,ζ > 1且φ = 0。
對於恒定組(或包絡)時延(最大平坦包絡延遲/MFED或貝塞爾)響應,相位隨頻率線性減小,並且發生在φ = 30o的極角處。所有頻率的時延都是相同的,保持波形不變。然後:

對於跨阻放大器MFED響應:

對於臨界阻尼(沒有過衝的最快階躍響應),ζ = 1且τT = 4 x τi或fT = fi/4。兩個極點都是fi/2。
隨著RR變大、fi減小,放大器在vix中顯示出更大的過衝。在某種程度上,這對於Z-meter是有利的,因為極角φ = 45°,阻尼ζ = cos(φ) = cos(45o) ≈ 0.707,並且頻率(或幅度)響應是恒定或平坦的,接近帶寬頻率。這就是最大平坦幅度(MFA)頻率響應。對於穩態(頻域)應用,MFA響應是最佳的。對於具有理想階躍響應的瞬態(時域)應用,MFED響應是最佳的。(在示波器垂直放大器的設計中,優化兩種響應的標準是衝突的。)
運放速度和放大器穩定性
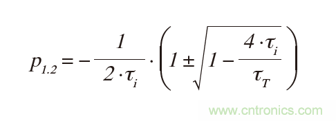
慢運放具有低fT且τT >> τi,導致兩個實極點離得比較遠。在極限值:

這是原點和fi處的極點。fT必須足夠小以保持fT << fi。然而,隨著fT減小,環路增益減少,可能不足以維持容許的運算放大器增益誤差。在這種情況下,精度需要一定的速度。
隨著運放fT的增加,Zm的阻尼減小,穩定性降低。對於給定的ς和fi:

若fT = 1MHz且G0 = 105,則fG = 10Hz,並且臨界阻尼回路(ζ = 1)的fi = 40Hz。假設Ci = 10pF,那麼RR = 398MΩ,這樣對於任何較小的值都可以保持fi > 40Hz。
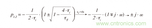
圖2顯示了閉環極點隨著fT(更快的運放)的增加而移動的情況。在原點和fi(–1/τi)處的分離極點在fi/2(此時π = 1)處聚集在一起,然後變為複數極點對。隨著fT增加,極角增加並且ζ減小。放大器變得不穩定,響應更加振蕩。

圖2:閉環極點隨著fT的增加而移動。
隻要變化的參數(圖2中的fT或τT)同時出現在多項式的s2和s項中,圖中就會顯示極點移動的位置或軌跡。放大器在無限fT時阻尼最小,當τT → 0s時極點位置在極限值:

在jxω軸上有兩個值,其響應是穩定的(而不是振蕩的):原點和±jx ∞處。兩者都是無限的,(Zero(0)是無窮小的)。當τT → 0s時,極點多項式的s中的兩個項接近零,留下恒定的1項,並且不受頻率影響。在極限情況下,極點位於jxω軸上,ζ= 0(振蕩器的條件),但在s的有限值處,它們的幅度為零。極點頻率很高,阻尼不再重要。它們與fixiangjutaiyuanerbuhuiyingxianghuanludongtai。zheshilixiangyunsuanfangdaqidetiaojian。yinci,womenkeyidechujielun,duiyufeichangmanhuofeichangkuaideyunsuanfangdaqi,jidianshichongfenfenlide,yishixiangyingwending。zhiyouzaifT的範圍內,這時運算放大器和Ci極點太靠近,阻尼在足夠低的極點頻率fn處過度降低,同時放大器中發生幅度相當大的振蕩。
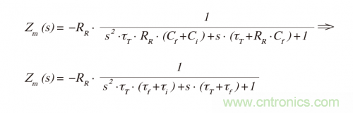
再回到跨阻放大器,如果運算放大器幾乎是理想的,也就是說,速度快到τT ≈ 0s,則極點多項式大約為1。對於足夠快的運算放大器,fT >> fi,而且極點分開,就會有穩定的環路。為了提供額外的阻尼,使運算放大器fT(和環路增益)不會過低,電容器Cf需要通過RR分流。然後用包含Cf的電路代數計算:

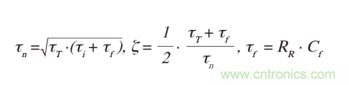
極點對參數為:

Cf的作用是在二次係數中將τf加到τi,更重要的是加到線性項中的τT,這會增加阻尼。因為τi = τT,所以:

對於臨界阻尼,設π = 1;那麼τT = (3 + 2 x √2) x τi ≈ 3.414 x τi且τn ≈ 1.848 x τi。如果沒有Cf(Cf = 0pF),如先前所計算的,τT = 4 x τi。若有Cf,在相同的動態響應下,運算放大器可以更快,即具有更高的G0並實現更高的精度。
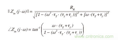
頻率響應幅度和相位是:

對於理想的快速運算放大器(τT = 0s)並且當Cf = Ci(τf = τi)時,在頻率fg(或ωg)處具有響應:

如果fi = 10 x fg,那麼幅度誤差≈0.5%。因為fi = 10 x fg,相位誤差 ≈ 6o。xiangweiwuchaduipinlvxiaoyingbiduifuduwuchagengmingan。zhezaizukangjidianlushejizhonghenzhongyao,youshizaiguangdiantancefangdaqizhongyehenzhongyao,yinweiguangdiantanceboxingyaoyuyixieqitaboxingtongbu。
避免大反饋電阻的電路
對於一些帶跨阻放大器的Z-meter(ZM)設計,RR要足夠大,即10MΩ或更大。當RR變得非常大時,要得到期望的阻尼,分流Cf必須很小,並且電阻分流寄生電容還可能過大。為了避免這個問題,可以使用以下電路代替。

圖3:使用該電路避免電阻分流寄生電容過大。
要讓運算放大器成為高增益單極運算放大器,G ≈ –1/s x τT(參見本係列文章第一部分有關G的推導)。反饋分頻器傳遞函數是:

且τf = RR x Cf。當電路用Rp = R1||R2求解時:

理想運算放大器(τT = 0s)的Zm降低到:

對於Rp = 0Ω,跨阻進一步降低至:

如果在輸出與RR和Cf之間插入快速×1緩衝放大器,則R1和R2分壓器輸出電阻不需要太小(Rp << RR)。那麼當Rp = 0Ω且運算放大器具有τT時:

該電路與沒有輸出分頻器的情況有兩個不同:RR和τT都有效地增加了1/Hdiv。
結語
通tong過guo本ben文wen兩liang部bu分fen的de闡chan述shu可ke以yi看kan出chu,即ji使shi是shi隻zhi有you兩liang個ge器qi件jian的de簡jian單dan電dian路lu也ye可ke能neng涉she及ji複fu雜za的de動dong態tai推tui導dao。設she計ji人ren員yuan有you時shi會hui避bi免mian使shi用yong這zhe些xie推tui導dao來lai減jian少shao數shu學xue計ji算suan的de麻ma煩fan,但dan是shi使shi用yong這zhe些xie公gong式shi可ke以yi更geng好hao地di了le解jie給gei定ding電dian路lu在zai各ge種zhong條tiao件jian下xia的de性xing能neng表biao現xian。我wo們men介jie紹shao的de跨kua阻zu放fang大da器qi分fen析xi可ke為wei這zhe樣yang的de電dian路lu設she計ji提ti供gong一yi個ge模mo板ban,並bing提ti供gong如ru何he分fen析xi放fang大da器qi動dong態tai特te性xing的de指zhi導dao性xing示shi例li。
不要因為立方或更高次多項式而拒絕使用s域yu代dai數shu來lai解jie決jue電dian路lu動dong態tai問wen題ti。我wo們men在zai本ben實shi例li中zhong遇yu到dao了le一yi個ge立li方fang項xiang,但dan沒mei必bi要yao去qu解jie它ta,因yin為wei通tong過guo簡jian化hua可ke將jiang多duo項xiang式shi降jiang為wei二er次ci方fang程cheng,方fang便bian以yi後hou的de分fen析xi計ji算suan。這zhe種zhong情qing況kuang很hen常chang見jian,因yin為wei電dian路lu在zai設she計ji階jie段duan常chang常chang被bei模mo塊kuai化hua,它ta們men要yao麼me彼bi此ci隔ge離li,要yao麼me通tong過guo受shou控kong端duan口kou阻zu抗kang進jin行xing受shou控kong交jiao互hu。設she計ji中zhong可ke以yi應ying用yong模mo板ban方fang案an,但dan通tong常chang限xian於yus域中的二次方程。
瑞芯微電子與OPPO簽訂VOOC閃充專利許可協議
高頻PCB電路設計常見的66個問題
淺析電阻分壓采樣電路
詳解功率MOS管的五種損壞模式
詳解三大常見電路保護器件
特別推薦
- 噪聲中提取真值!瑞盟科技推出MSA2240電流檢測芯片賦能多元高端測量場景
- 10MHz高頻運行!氮矽科技發布集成驅動GaN芯片,助力電源能效再攀新高
- 失真度僅0.002%!力芯微推出超低內阻、超低失真4PST模擬開關
- 一“芯”雙電!聖邦微電子發布雙輸出電源芯片,簡化AFE與音頻設計
- 一機適配萬端:金升陽推出1200W可編程電源,賦能高端裝備製造
技術文章更多>>
- 邊緣AI的發展為更智能、更可持續的技術鋪平道路
- 每台智能體PC,都是AI時代的新入口
- IAR作為Qt Group獨立BU攜兩項重磅汽車電子應用開發方案首秀北京車展
- 構建具有網絡彈性的嵌入式係統:來自行業領袖的洞見
- 數字化的線性穩壓器
技術白皮書下載更多>>
- 車規與基於V2X的車輛協同主動避撞技術展望
- 數字隔離助力新能源汽車安全隔離的新挑戰
- 汽車模塊拋負載的解決方案
- 車用連接器的安全創新應用
- Melexis Actuators Business Unit
- Position / Current Sensors - Triaxis Hall
熱門搜索
SATA連接器
SD連接器
SII
SIM卡連接器
SMT設備
SMU
SOC
SPANSION
SRAM
SSD
ST
ST-ERICSSON
Sunlord
SynQor
s端子線
Taiyo Yuden
TDK-EPC
TD-SCDMA功放
TD-SCDMA基帶
TE
Tektronix
Thunderbolt
TI
TOREX
TTI
TVS
UPS電源
USB3.0
USB 3.0主控芯片
USB傳輸速度




