高速運算放大器的3個PCB電路設計技巧
發布時間:2019-02-13 責任編輯:lina
【導讀】印製電路板(PCB)布線在高速電路中具有關鍵的作用,但它往往是電路設計過程的最後幾個步驟之一。高速PCB布線有很多方麵的問題,關於這個題目已有人撰寫了大量的文獻。本文主要從實踐的角度來探討高速電路的布線問題。
印製電路板(PCB)布線在高速電路中具有關鍵的作用,但它往往是電路設計過程的最後幾個步驟之一。高速PCB布線有很多方麵的問題,關於這個題目已有人撰寫了大量的文獻。本文主要從實踐的角度來探討高速電路的布線問題。
誰都別信
如ru果guo不bu是shi你ni自zi己ji設she計ji布bu線xian,一yi定ding要yao留liu出chu充chong裕yu的de時shi間jian仔zai細xi檢jian查zha布bu線xian人ren的de設she計ji。在zai這zhe點dian上shang很hen小xiao的de預yu防fang抵di得de上shang一yi百bai倍bei的de補bu救jiu。不bu要yao指zhi望wang布bu線xian的de人ren能neng理li解jie你ni的de想xiang法fa。在zai布bu線xian設she計ji過guo程cheng的de初chu期qi你ni的de意yi見jian和he指zhi導dao是shi最zui重zhong要yao的de。
你能提供的信息越多,並且整個布線過程中你介入的越多,結果得到的PCB就會越好。給布線設計工程師設置一個暫定的完成點——按照你想要的布線進展報告快速檢查。這種“閉合環路”方法可以防止布線誤入歧途,從而將返工的可能性降至最低。
需要給布線工程師的指示包括:
電路功能的簡短描述?
標明輸入和輸出位置的PCB略圖?
PCB層疊信息?
各層需要那些信號?
要求重要元件的放置位置?
旁路元件的確切位置?
哪些印製線很重要?
哪些線路需要控製阻抗印製線?
哪些線路需要匹配長度;元件的尺寸?
哪些印製線需要彼此遠離(或靠近)?
哪些線路需要彼此遠離(或靠近)?
哪些元器件需要彼此遠離(或靠近)?
哪些元器件要放在PCB的上麵,哪些放在下麵?
永遠不要抱怨需要給別人的信息太多。太少嗎?是。太多嗎?不。
位置
正像在PCB中,位置決定一切。將一個電路放在PCB上的什麼位置,將其具體的電路元件安裝在什麼位置,以及其相鄰的其它電路是什麼,這一切都非常重要。
通常,輸入、輸出和電源的位置是預先確定好的,但是它們之間的電路就需要“發揮各自的創造性”了。這就是為什麼注意布線細節將產生巨大回報的原因。從關鍵元件的位置入手,根據具體電路和整個PCB來(lai)考(kao)慮(lv)。從(cong)一(yi)開(kai)始(shi)就(jiu)規(gui)定(ding)關(guan)鍵(jian)元(yuan)件(jian)的(de)位(wei)置(zhi)以(yi)及(ji)信(xin)號(hao)的(de)路(lu)徑(jing)有(you)助(zhu)於(yu)確(que)保(bao)設(she)計(ji)達(da)到(dao)預(yu)期(qi)的(de)工(gong)作(zuo)目(mu)標(biao)。一(yi)次(ci)就(jiu)得(de)到(dao)正(zheng)確(que)的(de)設(she)計(ji)可(ke)以(yi)降(jiang)低(di)成(cheng)本(ben)和(he)壓(ya)力(li)——也就縮短了開發周期。
寄生效應
所謂寄生效應就是那些溜進你的PCB並在電路中大施破壞、頭痛令人、原因不明的小故障(按照字麵意思)。它們就是滲入高速電路中隱藏的寄生電容和寄生電感。
其中包括由封裝引腳和印製線過長形成的寄生電感;焊盤到地、焊盤到電源平麵和焊盤到印製線之間形成的寄生電容;通孔之間的相互影響,以及許多其它可能的寄生效應。圖1(a)示出了一個典型的同相運算放大器原理圖。但是,如果考慮寄生效應的話,同樣的電路可能會變成圖1(b)那樣。

圖1.典型的運算放大器電路,
(a)原設計圖,(b)考慮寄生效應後的圖
在高速電路中,很小的值就會影響電路的性能。有時候幾十個皮法(pF)的電容就足夠了。如果寄生電容足夠大的話,它會引起電路的不穩定和振蕩。
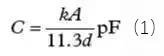
當尋找有問題的寄生源時,可能用得著幾個計算上述那些寄生電容尺寸的基本公式。公式(1)是計算平行極板電容器的公式。

公式(1)中:C表示電容值,A表示以cm2為單位的極板麵積,k表示PCB材料的相對介電常數,d表示以cm為單位的極板間距離。
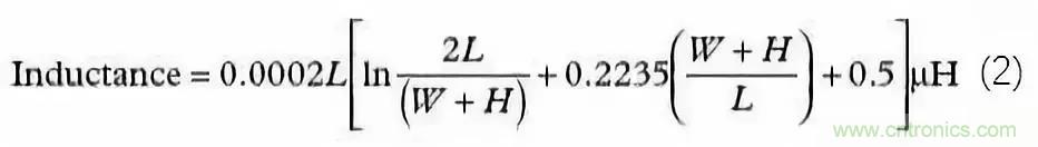
帶狀電感是另外一種需要考慮的寄生效應,它是由於印製線過長或缺乏接地平麵引起的。公式(2)是計算印製線電感(Inductance)的公式。

公式(2)中:W表示印製線寬度,L表示印製線長度,H表示印製線的厚度。全部尺寸都以mm為單位。
圖2中的振蕩示出了高速運算放大器同相輸入端長度為2.54cm的印製線的影響。其等效寄生電感為29nH(10-9H),足以造成持續的低壓振蕩,會持續到整個瞬態響應周期。圖7還示出了如何利用接地平麵來減小寄生電感的影響。

圖2.有接地平麵和沒有接地平麵的脈衝響應
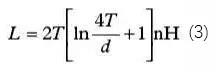
通孔是另外一種寄生源,它們能引起寄生電感和寄生電容。公式(3)是計算寄生電感的公式。

公式(3)中:T表示PCB的厚度,d表示以cm為單位的通孔直徑。
公式(4)是如何計算通孔引起的寄生電容值的公式。

公式(4)中:εr表示PCB材料的相對磁導率,T表示PCB的厚度,D1表示環繞通孔的焊盤直徑,D2表示接地平麵中隔離孔的直徑,所有尺寸均以cm為單位。
在一塊0.157cm厚的PCB上一個通孔就可以增加1.2nH的寄生電感和0.5pF的寄生電容。這就是為什麼在給PCB布線時一定要時刻保持戒備的原因,要將寄生效應的影響降至最小。
PCB設計如何影響電源EMC性能?
5G時代,與CEF共迎PCB發展良機
特別推薦
- 噪聲中提取真值!瑞盟科技推出MSA2240電流檢測芯片賦能多元高端測量場景
- 10MHz高頻運行!氮矽科技發布集成驅動GaN芯片,助力電源能效再攀新高
- 失真度僅0.002%!力芯微推出超低內阻、超低失真4PST模擬開關
- 一“芯”雙電!聖邦微電子發布雙輸出電源芯片,簡化AFE與音頻設計
- 一機適配萬端:金升陽推出1200W可編程電源,賦能高端裝備製造
技術文章更多>>
- 一秒檢測,成本降至萬分之一,光引科技把幾十萬的台式光譜儀“搬”到了手腕上
- AI服務器電源機櫃Power Rack HVDC MW級測試方案
- 突破工藝邊界,奎芯科技LPDDR5X IP矽驗證通過,速率達9600Mbps
- 通過直接、準確、自動測量超低範圍的氯殘留來推動反滲透膜保護
- 從技術研發到規模量產:恩智浦第三代成像雷達平台,賦能下一代自動駕駛!
技術白皮書下載更多>>
- 車規與基於V2X的車輛協同主動避撞技術展望
- 數字隔離助力新能源汽車安全隔離的新挑戰
- 汽車模塊拋負載的解決方案
- 車用連接器的安全創新應用
- Melexis Actuators Business Unit
- Position / Current Sensors - Triaxis Hall
熱門搜索



