PCB上的器件熱耦合與散熱解決方案
發布時間:2019-02-26 責任編輯:lina
【導讀】任何散熱解決方案的目標都是確保設備的工作溫度不超過其製造商規定的安全限值。在電子工業中,這個工作溫度被稱為器件的“結溫”。例如,在處理器中,這個術語字麵上指的是電能轉換為熱量的半導體結。
任何散熱解決方案的目標都是確保設備的工作溫度不超過其製造商規定的安全限值。在電子工業中,這個工作溫度被稱為器件的“結溫”。例如,在處理器中,這個術語字麵上指的是電能轉換為熱量的半導體結。
為wei了le保bao持chi工gong作zuo,熱re量liang必bi須xu以yi確que保bao可ke接jie受shou的de結jie溫wen的de速su率lv流liu出chu半ban導dao體ti。當dang熱re流liu從cong整zheng個ge器qi件jian封feng裝zhuang的de結jie處chu移yi動dong時shi,這zhe種zhong熱re流liu遇yu到dao阻zu力li,就jiu像xiang電dian子zi在zai流liu過guo導dao線xian時shi麵mian對dui電dian阻zu一yi樣yang。在zai熱re力li學xue方fang麵mian,這zhe種zhong電dian阻zu稱cheng為wei導dao電dian電dian阻zu,由you幾ji個ge部bu分fen組zu成cheng。從cong結jie點dian開kai始shi,熱re量liang可ke以yi流liu向xiang元yuan件jian的de殼ke體ti,可ke以yi放fang置zhi散san熱re器qi。這zhe被bei稱cheng為weiΘJC,或結至殼體的熱阻。熱量也可以從組件的頂部表麵流出並流入板中。這被稱為結到電路板電阻,或ΘJB
ΘJB定義為當熱路徑僅從結點到電路板時,結點和電路板之間的溫差除以功率。為了測量ΘJB,器件的頂部是絕緣的,冷板連接到電路板邊緣(圖1)。這是真正的熱阻,這是器件的特性。唯一的問題是,在實際應用中,人們不知道從不同路徑傳輸了多少功率。

圖1:橫截麵圖環形冷板RΘJB 2 。
ΨJB是使用多個傳熱路徑時的溫差的度量,例如組件的側麵和頂部董事會。這些多路徑是實際係統中固有的,必須謹慎使用測量。
由you於yu組zu件jian內nei有you多duo個ge傳chuan熱re路lu徑jing,單dan個ge電dian阻zu不bu能neng用yong於yu精jing確que計ji算suan結jie溫wen。從cong結jie到dao環huan境jing的de熱re阻zu必bi須xu進jin一yi步bu細xi分fen為wei電dian阻zu網wang絡luo,以yi提ti高gao結jie溫wen預yu測ce的de精jing度du。簡jian化hua的de電dian阻zu網wang絡luo如ru圖tu2所示。

圖2:結至環境電阻網絡。
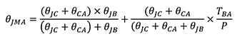
Joiner等人 1 完成的先前工作將ΘJMA與電路板溫度相關聯(見公式1)。 ΘJMA是在評估所有傳熱路徑時從結到環境的總熱阻。在這種情況下,ΘCA由散熱器熱阻以及器件和接收器之間的界麵電阻表示。
表1列出了典型BGA組件的JEDEC參數。這些用於以下示例計算中:
ΘJMA=移動空氣熱阻的結點
ΘJB=結至電路板的熱阻
ΘJC=結至殼體的熱阻
ΘCA= Case環境熱阻
TBA =電路板溫升

參數說明值單位ΘJC熱電阻 -
結到外殼0.45°C/WΘJB熱阻 -
結至電路板2.6°C/W TDP熱設計功率20 W Tj最高結溫105°C
表1:典型熱封裝規格
隨sui著zhe電dian路lu板ban布bu局ju變bian得de越yue來lai越yue密mi集ji,需xu要yao設she計ji出chu使shi用yong盡jin可ke能neng少shao空kong間jian的de優you化hua散san熱re解jie決jue方fang案an。簡jian而er言yan之zhi,沒mei有you餘yu量liang允yun許xu過guo度du設she計ji的de散san熱re器qi具ju有you緊jin密mi的de元yuan件jian間jian距ju。考kao慮lv板ban耦ou合he的de影ying響xiang是shi這zhe種zhong優you化hua的de重zhong要yao部bu分fen。隻zhi有you在zai考kao慮lv結jie殼ke到dao殼ke體ti的de傳chuan熱re路lu徑jing時shi才cai存cun在zai使shi用yong超chao大da尺chi寸cun散san熱re器qi的de可ke能neng性xing。
為確保在55°C環境溫度下的105°C結溫,典型元件(見表1)需要2.05°C/W的散熱器電阻(如果忽略電路板導通)。當考慮電路板導通時,假設電路板溫度與空氣溫度相同,實際結溫可能低至74°C。這表示散熱片大於必要的溫度。
從這個例子可以看出,必須考慮來自元件連接點的所有傳熱路徑。僅使用ΘJC和ΘCA值zhi可ke能neng導dao致zhi大da於yu最zui佳jia的de散san熱re器qi,並bing且qie可ke能neng無wu法fa準zhun確que預yu測ce工gong作zuo結jie溫wen。使shi用yong建jian議yi的de相xiang關guan性xing也ye可ke以yi預yu測ce從cong實shi驗yan中zhong得de知zhi電dian路lu板ban溫wen度du時shi的de結jie溫wen,如ru圖tu3所示。

圖3:電路板溫度升高對結溫的影響。
當存在多個元件時,情況變得比僅使用電路板上的單個元件複雜得多。通過PCB的組件之間存在傳導耦合,以及組件和相鄰卡之間的輻射和對流耦合。圖4顯示了一個帶有兩個元件的簡單PCB。兩個元件的功耗假定為P1和P2,並且假設我們可以忽略輻射傳熱。每個器件下的電路板溫度分別為Tb1和Tb2。我們還假設電路板上兩個元件之間的橫向電阻為θb1b2。

圖4:具有兩個元件的PCB的簡單原理圖。

圖5:具有兩個組件的PCB的簡單電阻網絡。
在節點J1,J2處應用能量平衡,b1和b2:

有四個方程和四個未知數:Tj1,Tj2。 Tb1和Tb2。weizhishukeyitongguoqiujielianlifangchenglaiqueding。zhegejiandandelizibiaoming,tongguochuandaolujingouhelianggeyuanjian,zhaodaojiewenhuibiandefuzadeduo。zaishijiyingyongzhong,dangyudaojuyoubutongdaodianpingmiandeduogezujianheduogePCB時,情況比上述示例複雜得多,所有導電平麵都通過傳導,對流和輻射相互作用。
為了獲得合理的答案,設計師必須使用合理的工程判斷來近似不同組件之間的耦合。這可以通過以下方法實現:
方法1 - 使用控製體積法或電阻網絡模型的分析模型。這種方法需要過度簡化問題;否則解決方案變得非常複雜和不切實際。
方法2 - 在簡化幾何上使用CFD,如Guenin [4] 所述。該方法表明組件的等效表麵積為:
其中An是組件的等效占位麵積,Pn是組件的功耗,PTotal是總功耗,ATotal是PCB的總表麵積。在計算等效占位麵積之後,可以使用CFD模擬具有占位麵積An和功耗為1瓦的單個元件的簡單PCB。此過程可有效計算電路板溫度與環境溫度(θBA)之間的差值,功耗為1瓦。圖6顯示了一個這樣的元件的CFD模擬,圖7顯示了θBA作為PCB尺寸的函數。圖7可用於通過簡單計算其有效占地麵積來確定其他組件的θBA。假設所有組件具有相同的占位麵積。

圖6:PCB上單個組件的CFD模擬

圖7:作為PCB尺寸 4 的函數的ΘBA分布。
電路板溫度可以計算如下:
結溫可以計算為:
其中ψJB是特征參數。
方法3 - 如果PCB可用,通過實驗測量電路板溫度TB,並使用公式8來查找結溫。同樣,這是近似值,因為器件耦合到PCB的條件可能與JEDEC測試板使用的條件完全不同。
特別推薦
- 噪聲中提取真值!瑞盟科技推出MSA2240電流檢測芯片賦能多元高端測量場景
- 10MHz高頻運行!氮矽科技發布集成驅動GaN芯片,助力電源能效再攀新高
- 失真度僅0.002%!力芯微推出超低內阻、超低失真4PST模擬開關
- 一“芯”雙電!聖邦微電子發布雙輸出電源芯片,簡化AFE與音頻設計
- 一機適配萬端:金升陽推出1200W可編程電源,賦能高端裝備製造
技術文章更多>>
- 從機械執行到智能互動:移遠Q-Robotbox助力具身智能加速落地
- 品英Pickering將亮相2026航空電子國際論壇,展示航電與電池測試前沿方案
- 模擬芯片設計師的噩夢:晶體管差1毫伏就廢了,溫度升1度特性全飄
- 3A大電流僅需3x1.6mm?意法半導體DCP3603重新定義電源設計
- 芯科科技Tech Talks與藍牙亞洲大會聯動,線上線下賦能物聯網創新
技術白皮書下載更多>>
- 車規與基於V2X的車輛協同主動避撞技術展望
- 數字隔離助力新能源汽車安全隔離的新挑戰
- 汽車模塊拋負載的解決方案
- 車用連接器的安全創新應用
- Melexis Actuators Business Unit
- Position / Current Sensors - Triaxis Hall
熱門搜索
按鈕開關
白色家電
保護器件
保險絲管
北鬥定位
北高智
貝能科技
背板連接器
背光器件
編碼器型號
便攜產品
便攜醫療
變容二極管
變壓器
檳城電子
並網
撥動開關
玻璃釉電容
剝線機
薄膜電容
薄膜電阻
薄膜開關
捕魚器
步進電機
測力傳感器
測試測量
測試設備
拆解
場效應管
超霸科技




