設計精講之SiC-MOSFET的隔離型準諧振轉換器
發布時間:2019-06-17 責任編輯:lina
【導讀】 本文介紹的內容是電源電路中常用的緩衝電路的組成元器件和常數。這裏的緩衝電路不僅用於本文中的準諧振轉換器,還用於其他文章中提到的反激式轉換器。
本ben文wen介jie紹shao的de內nei容rong是shi電dian源yuan電dian路lu中zhong常chang用yong的de緩huan衝chong電dian路lu的de組zu成cheng元yuan器qi件jian和he常chang數shu。這zhe裏li的de緩huan衝chong電dian路lu不bu僅jin用yong於yu本ben文wen中zhong的de準zhun諧xie振zhen轉zhuan換huan器qi,還hai用yong於yu其qi他ta文wen章zhang中zhong提ti到dao的de反fan激ji式shi轉zhuan換huan器qi。
什麼是緩衝電路
huanchongdianlushiyizhilangyongdedianlu。zaibenlizhongshiweileyizhishurulangyongershezhizaishuruduan,qishiyekeyongyushuchuduan。youyushurulianjieyubianyaqideyicice,suoyishoubianyaqideloudianganyingxiang,dangMOSFET從ON變為OFF的瞬間,將產生較大的浪湧電壓(尖峰噪聲)。這種浪湧電壓施加在MOSFET的漏極-源極之間,因此如果產生的浪湧電壓超過MOSFET的耐壓,可能會造成MOSFET損壞。為了防止MOSFET損壞,插入由RCD(電阻、電容、二極管)組成的緩衝電路以抑製浪湧電壓。由於大多數情況下都會產生這種浪湧,因此建議在設計之初就設置緩衝電路。
緩衝電路:Rsnubber1、Csnubber1及D13、D14、D15、D16
在本例中使用的緩衝電路,由電阻Rsnubber1、電容Csnubber1以及二極管D13、D14、D15、D16組成,隻要去掉D15和D16就是典型的RCD緩衝電路。首先來確定鉗位電壓和鉗位紋波電壓,並按R、C、D的順序確定常數。
1)鉗位電壓(Vclamp)、鉗位紋波電壓(Vripple)
鉗位電壓需要根據MOSFET的耐壓考慮到餘量來決定。餘量取20%。
Vclamp=1700V×0.8=1360V
鉗位紋波電壓(Vripple)定為50V左右。

2)電阻Rsnubber1
Rsnubber1的選型需要滿足以下條件:

這裏設漏電感Lleak=Lp×10%=1750μH×10%=175μH,利用下列公式計算Po=25W、VIN(max)=900V時的Ip和fsw。

根據上述計算:

fsw從161kHz變為120kHz的原因與以前介紹的一樣,因為電源IC的最大開關頻率為120kHz。Rsnubber1是比計算結果253kΩ小的值,因此定為200kΩ。
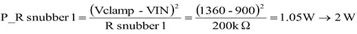
Rsnubber1的損耗P_Rsnubber1可利用以下公式進行計算。

考慮到餘量,定為2W以上。最終Rsnubber1采用2W、200kΩ的電阻。

3)Csnubbe1
Csnubber1的電容量通過下列公式計算。

由於容量要大於1607pF,所以選擇2200pF。
施加於Csnubber1的電壓為從Vclamp減去VIN(MAX)後的電壓,即1360V-900=460V,因此考慮到餘量,Csnubber1的耐壓定為600V以上。最終選用2200pF、2kV、10%、X7R、1210封裝的陶瓷電容。
4)D13、D14
4個二極管中,D13和D14使用快速恢複二極管。耐壓選擇MOSFET的Vds(max)=1700V以上的電壓。此次串聯使用2個通用的UF4007(1000V、1A)。
由於浪湧電壓不僅受變壓器的漏電感影響,還受PCB板薄膜布線的寄生分量影響,因此需要在組裝於實際PCB板中的狀態下確認Vds,並根據實際的電壓調整緩衝電路。
5)D15、D16
這些二極管是TVS(瞬態電壓抑製)二極管,是浪湧吸收元件。當需要獲得更優異的保護性能時,可添加TVS來吸收瞬態尖峰噪聲。通過確認MOSFET開關時的波形來決定是否使用。施加於這部分的計算值電壓與施加於Csnubber1的電壓相同,均為460V,因此串聯使用2個鉗位電壓274V的1.5KE200A二極管,來吸收超出的瞬態電壓。
關鍵要點
● 為了抑製輸入中的變壓器漏電感引發的浪湧,可添加緩衝電路。
● 緩衝電路基本上采用RCD型電路,要想獲得更優異的保護性能,可添加TVS二極管。
(來源:羅姆半導體集團)
特別推薦
- 噪聲中提取真值!瑞盟科技推出MSA2240電流檢測芯片賦能多元高端測量場景
- 10MHz高頻運行!氮矽科技發布集成驅動GaN芯片,助力電源能效再攀新高
- 失真度僅0.002%!力芯微推出超低內阻、超低失真4PST模擬開關
- 一“芯”雙電!聖邦微電子發布雙輸出電源芯片,簡化AFE與音頻設計
- 一機適配萬端:金升陽推出1200W可編程電源,賦能高端裝備製造
技術文章更多>>
- 一秒檢測,成本降至萬分之一,光引科技把幾十萬的台式光譜儀“搬”到了手腕上
- AI服務器電源機櫃Power Rack HVDC MW級測試方案
- 突破工藝邊界,奎芯科技LPDDR5X IP矽驗證通過,速率達9600Mbps
- 通過直接、準確、自動測量超低範圍的氯殘留來推動反滲透膜保護
- 從技術研發到規模量產:恩智浦第三代成像雷達平台,賦能下一代自動駕駛!
技術白皮書下載更多>>
- 車規與基於V2X的車輛協同主動避撞技術展望
- 數字隔離助力新能源汽車安全隔離的新挑戰
- 汽車模塊拋負載的解決方案
- 車用連接器的安全創新應用
- Melexis Actuators Business Unit
- Position / Current Sensors - Triaxis Hall
熱門搜索
按鈕開關
白色家電
保護器件
保險絲管
北鬥定位
北高智
貝能科技
背板連接器
背光器件
編碼器型號
便攜產品
便攜醫療
變容二極管
變壓器
檳城電子
並網
撥動開關
玻璃釉電容
剝線機
薄膜電容
薄膜電阻
薄膜開關
捕魚器
步進電機
測力傳感器
測試測量
測試設備
拆解
場效應管
超霸科技



