為什麼PCB上的單端阻抗控製50歐姆
發布時間:2019-09-24 責任編輯:lina
【導讀】很多剛接觸阻抗的人都會有這個疑問,為什麼常見的板內單端走線都是默認要求按照50歐姆來管控而不是40歐姆或者60歐姆?這是一個看似簡單但又不好回答的問題。
很多剛接觸阻抗的人都會有這個疑問,為什麼常見的板內單端走線都是默認要求按照50歐姆來管控而不是40歐姆或者60歐姆?這是一個看似簡單但又不好回答的問題。
為什麼說不好回答呢?信號完整性問題本身就是一個權衡取舍的問題,所以在業內最著名的一句話也就是:“It depends……”這(zhe)就(jiu)是(shi)沒(mei)有(you)標(biao)準(zhun)答(da)案(an),仁(ren)者(zhe)見(jian)仁(ren)智(zhi)者(zhe)見(jian)智(zhi)的(de)一(yi)個(ge)問(wen)題(ti)。今(jin)天(tian)高(gao)速(su)先(xian)生(sheng)也(ye)就(jiu)這(zhe)個(ge)問(wen)題(ti)綜(zong)合(he)各(ge)種(zhong)答(da)複(fu)來(lai)簡(jian)單(dan)總(zong)結(jie)下(xia),在(zai)此(ci)也(ye)是(shi)拋(pao)磚(zhuan)引(yin)玉(yu),希(xi)望(wang)更(geng)多(duo) 的人可以從各自的角度出發總結出更多相關的因素。
首先,50歐姆是有一定曆史淵源的,這得從標準線纜說起。我們都知道近代電子技術 很(hen)大(da)一(yi)部(bu)分(fen)是(shi)來(lai)源(yuan)於(yu)軍(jun)隊(dui),慢(man)慢(man)的(de)軍(jun)用(yong)轉(zhuan)為(wei)民(min)用(yong),在(zai)微(wei)波(bo)應(ying)用(yong)的(de)初(chu)期(qi),二(er)次(ci)世(shi)界(jie)大(da)戰(zhan)期(qi)間(jian),阻(zu)抗(kang)的(de)選(xuan)擇(ze)完(wan)全(quan)依(yi)賴(lai)於(yu)使(shi)用(yong)的(de)需(xu)要(yao)。隨(sui)著(zhe)技(ji)術(shu)的(de)進(jin)步(bu),需(xu)要(yao)給(gei)出(chu)阻(zu)抗(kang)標(biao) 準,以便在經濟性和方便性上取得平衡。在美國,最多使用的導管是由現有的標尺竿和水管連接成的,51.5歐姆十分常見,但看到和用到的適配器/轉換器又是 50歐姆到51.5歐姆;為聯合陸軍和海軍解決這些問題,一個名為JAN的組織成立了,就是後來的DESC,由MIL特別發展的,綜合考慮後最終選擇了 50歐姆,並且特別的導管被製造出來,並由此轉化為各種線纜的標準。此時歐洲標準是60歐姆,不久以後,在象Hewlett-Packard這樣在業界占 統治地位的公司的影響下,歐洲人也被迫改變了,所以50歐姆最終成為業界的一個標準沿襲下來,也就變成約定俗成了,而和各種線纜連接的PCB,為了阻抗的 匹配,最終也是按照50歐姆阻抗標準來要求了。
其次,從加工可實現的角度出發,50歐姆實現起來比較方便。從前麵阻抗計算公式可知,過低 的阻抗需要較寬的線寬以及薄介質(或較大的介電常數),這對於目前高密板來說空間上比較難滿足;過高的阻抗又需要較細的線寬及較厚的介質(或較小的介電常 數),不利於EMI及串擾的抑製,同時對於多層板及從量產的角度來講加工的可靠性會比較差;而50歐姆在常用材料的環境下普通的線寬和介質厚度 (4~6mil)即符合設計要求(如下圖一阻抗計算),又方便加工,慢慢的成為默認選擇也就不足為奇了。

圖一 阻抗計算
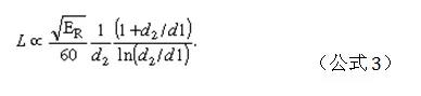
第三,從損耗的角度出發,根據基本的物理學可以證明50歐姆阻抗趨膚效應損耗最小(摘自Howard Johnson, PhD的回複)。通常電纜的趨膚效應損耗L(以分貝做單位)和總的趨膚效應電阻R(單位長度)除以特性阻抗Z0成正比。總的趨膚效應電阻R是屏蔽層和中間 導體電阻之和。屏蔽層的趨膚效應電阻在高頻時,和它的直徑d2成反比。同軸電纜內部導體的趨膚效應電阻在高頻時,和他的直徑d1成反比。總共的串聯電阻 R,因此和(1/d2+1/d1)成正比。綜合這些因素,給定d2和相應的隔離材料的介電常數Er,可以用以下公式來使得趨膚效應損耗最小。

在任何關於電磁場和微波的基礎書中,都可以找到Z0是d2,d1和Er的函數。

把公式2代入公式1中,分子分母同時乘以d2,整理得到

從 公式3分離出常數項( /60)*(1/d2),有效的項((1+d2/d1)/ln(d2/d1))來確定最小值點。仔細查看公式3的最小值點僅由d2/d1控製,和Er以及 固定值d2無關。以d2/d1為參數,為L做圖,顯示d2/d1=3.5911時,取得最小值。假定固態聚乙烯的介電常數為2.25,d2 /d1=3.5911 得出特性阻抗為51.1歐姆。很久之前,無線電工程師為了方便使用,把這個值近似為50歐姆作為同軸電纜最優值。這證明了在50歐姆附近,L是最小的。
最 後,從電氣性能的角度看,50歐姆的優勢也是綜合考慮之後的折中。單純從PCB走線的性能來說,阻抗低比較好,對一個給定線寬的傳輸線,和平麵距離越近, 相應的EMIhuijianxiao,chuanraoyehuiyincijianxiao,tongshiyebuyishourongxingfuzaiyingxiang。dancongquanlujingdejiaodukan,haixuyaokaolvzuiguanjiandeyigeyinsu,najiushixinpiandequdongnengli,zaoqidaduoshu 芯片驅動不了阻抗小於50歐姆的傳輸線,而更高阻抗的傳輸線由於實現起來不便,所以折中采用了50歐姆阻抗。
綜上所述:50歐姆作 為業界的默認值有其先天的優勢,同時也是綜合考慮後的折中方案,但並不是說就一定要用50歐姆阻抗了,很多時候還是取決於與之匹配的接口,如75歐姆仍然 是遠程通訊的標準,一些線纜和天線都是使用的75歐姆,此時就需要與之匹配的PCB線路阻抗。另外還有一些特殊的芯片通過改善芯片驅動能力,來降低傳輸線 的阻抗,以此得到更好的抑製EMI和串擾的效果,如Intel的多數芯片要求阻抗控製在37歐姆、42歐姆甚至更低,在此不再贅述。
特別推薦
- 噪聲中提取真值!瑞盟科技推出MSA2240電流檢測芯片賦能多元高端測量場景
- 10MHz高頻運行!氮矽科技發布集成驅動GaN芯片,助力電源能效再攀新高
- 失真度僅0.002%!力芯微推出超低內阻、超低失真4PST模擬開關
- 一“芯”雙電!聖邦微電子發布雙輸出電源芯片,簡化AFE與音頻設計
- 一機適配萬端:金升陽推出1200W可編程電源,賦能高端裝備製造
技術文章更多>>
- 邊緣AI的發展為更智能、更可持續的技術鋪平道路
- 每台智能體PC,都是AI時代的新入口
- IAR作為Qt Group獨立BU攜兩項重磅汽車電子應用開發方案首秀北京車展
- 構建具有網絡彈性的嵌入式係統:來自行業領袖的洞見
- 數字化的線性穩壓器
技術白皮書下載更多>>
- 車規與基於V2X的車輛協同主動避撞技術展望
- 數字隔離助力新能源汽車安全隔離的新挑戰
- 汽車模塊拋負載的解決方案
- 車用連接器的安全創新應用
- Melexis Actuators Business Unit
- Position / Current Sensors - Triaxis Hall
熱門搜索
Future
GFIVE
GPS
GPU
Harting
HDMI
HDMI連接器
HD監控
HID燈
I/O處理器
IC
IC插座
IDT
IGBT
in-cell
Intersil
IP監控
iWatt
Keithley
Kemet
Knowles
Lattice
LCD
LCD模組
LCR測試儀
lc振蕩器
Lecroy
LED
LED保護元件
LED背光



