微帶線的相位補償電路物理模型分析
發布時間:2020-08-07 責任編輯:lina
【導讀】通tong過guo引yin入ru金jin絲si鍵jian合he線xian等deng效xiao模mo型xing,建jian立li微wei帶dai線xian旁pang邊bian增zeng加jia片pian式shi電dian容rong並bing用yong金jin絲si鍵jian合he線xian互hu連lian後hou的de相xiang位wei補bu償chang電dian路lu物wu理li模mo型xing。提ti取qu金jin絲si鍵jian合he線xian的de並bing聯lian電dian容rong、串聯電感、串聯電阻等參數,計算片式電容的容值參數,推導相位補償電路物理模型的 ABCD 矩陣,並轉換為[S ]矩陣後,通過計算S21參數的角度值,即可得知片式電容對傳輸微波信號相位的影響。
摘要
通tong過guo引yin入ru金jin絲si鍵jian合he線xian等deng效xiao模mo型xing,建jian立li微wei帶dai線xian旁pang邊bian增zeng加jia片pian式shi電dian容rong並bing用yong金jin絲si鍵jian合he線xian互hu連lian後hou的de相xiang位wei補bu償chang電dian路lu物wu理li模mo型xing。提ti取qu金jin絲si鍵jian合he線xian的de並bing聯lian電dian容rong、串聯電感、串聯電阻等參數,計算片式電容的容值參數,推導相位補償電路物理模型的 ABCD 矩陣,並轉換為[S ]矩陣後,通過計算S21參數的角度值,即可得知片式電容對傳輸微波信號相位的影響。同時,通過仿真試驗,驗證了該模型建立和推導的正確性。
引言
youyuxianzaileidaxitongfuzaxingdetigao,leidaxitongdehuiboxinhaojingguotianxianhou,jingchangxuyaoduolujieshoutongdaotongshichuansong。danshitongdaojiandeguyouchayi,shidegelujieshoutongdaodexinhaoshuchuxiangweicunzaibuyizhixing。weici,xuyaoduixiangweijinxingbuchang,yixiaochutongdaoguyouchayiduixiangweideyingxiang。
tongchangdexiangweibuchangfangfashizaiweibodianluzhongchuanshuweiboxinhaodeweidaixiancemianzengjiayipianfutongceng,gaifutongcengzuoweiyigepianshidianrongyuweidaixianjianyongjinsijianhexianhulian,yigaibianweibodianluzhongchuanshuweiboxinhaodexiangwei。danshigaifutongcengchicunhedaoweidaixianjuliduiweiboxinhaochuanshuxiangweideyingxiangdoushiyoujingyanhuode,zaizaidianluzhongjiayitiaoshishixian。
benwentongguoyinrujinsijianhexiandengxiaodianlumoxing,liluntuidaopianshidianrongjingjinsijianhexianjieruweidaixianhou,duizhenggeweibodianluxiangweideyingxiang,bingjianlifangzhenmoxingjinxingyanzheng。jieguobiaoming,liluntuidaoyufangzhenjieguoxiangyizhi,weiweibodianluzhongxiangweibuchangtiaozhengtigonglelilunshejiyiju。
1 金絲鍵合線等效模型
1.1 等效模型
微帶線之間金絲鍵合線互連示意圖,如圖1所示。

圖1 金絲鍵合線互連結構示意圖
基於微帶線的金絲鍵合線等效模型由與兩邊微帶線並聯的電容 C e 、串聯電感 L b 、串聯電阻 R b等組成,如圖 2 所示 。

圖 2 金絲鍵合線等效模型
1.2 模型參數計算
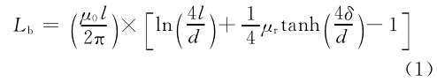
對自由空間中長度為 l ,直徑為 d 的圓形金絲鍵合線,其電感 L b 可表示為

式中:μ 0 為真空磁導率
;μ r為鍵合線的相對磁導率(對於金絲,μ r =1 );δ 為鍵合線的趨膚深度。
趨膚深度 δ 的表達式為

式中:σ 為 鍵 合 線 的 電 導 率,對 於 金 絲, σ =
; f 為鍵合線傳輸信號的頻率。
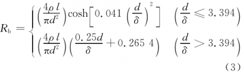
串聯電阻 R b 的計算公式為

式中:ρ 為金絲鍵合線的電阻率。
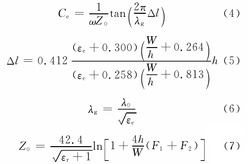
並聯電容 C e 表示為

其中:

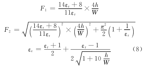
式中:h 為微帶線基片厚度;W 為微帶線導帶的寬度;ε r 為基片的相對介電常數。
2 相位補償電路推導
基於微帶線的相位補償電路是由傳輸信號的微帶線 、微帶線旁的片式電容和金絲鍵合線組成,結構示意圖如圖3所示,物理模型如圖4所示。

圖 3 相位補償電路結構示意圖

圖4 相位補償電路物理模型
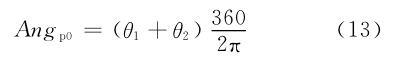
在圖4中,θ 1 是信號輸入端至金絲鍵合處的微帶線的電長度,表示為
, λ g 是微波信號在微帶線上的傳輸波長,計算公式見式(6 )。同樣,θ 2 是金絲鍵合處至信號輸出端的微帶線的電長度。 Cp 為片式電容,其電容值計算公式表示為

由金絲鍵合線和片式電容組成的並聯支節,在電路中作為並聯導納,表示為

其中:
因此,圖4中從信號輸入至信號輸出級聯網絡的歸一化 ABCD矩陣如下表示 :

式中:
, Y 0 為微帶線的特性導納。

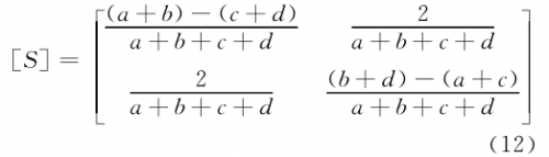
根據矩陣[ a ]至矩陣[ S ]的轉換公式(12)將式(11)轉化為矩陣[ S ],計算參數 S21的角度值為
,即為引入片式電容後微波信號從輸入端傳至輸出端的相位延遲值。
在不引入片式電容的情況下,計算微波信號在相同微帶線上傳輸的相位延遲值為

因此,計算
即為片式電容引入的相位補償值。
同理,當一個片式電容不足以對所需相位進行補償時,可以引入兩個片式電容,其物理模型如圖5所示。

圖 5 兩個片式電容相位補償模型
計算其歸一化 ABCD矩陣為

根據轉換式(12),將矩陣[aT2 ]轉換為矩陣[S],得出參數 S21 的角度值,與微帶線本身的相位延遲作比較,算出相位補償值。
3 理論推導與仿真試驗比對
通過建立仿真模型對理論推導進行驗證,仿真模型示意如圖6所示。圖中,微帶線基片厚度h=0.127mm ;相對介電常數 ε r=2.2 ;特性阻抗Z0 =50Ω ;鍵合金絲長度 l=800 μ m ;直徑 d=25 μ m ;片式電容尺寸為0.3mm×0.3mm 。若工作頻率為20GHz ,微帶線總長度為3倍 λ/4 ,兩個片式電容間隔 λ /4 。

圖6 相位補償仿真模型示意圖
由理論推導和仿真試驗得出的輸入端與輸出端相位延遲比較如表1所示。從中看出,插入1個或2個片式電容時,理論推導算得的相位補償分別為6.5° 、 13.1° ,仿真試驗得出相位補償分別為6.8° 、 14.0° ,理論推導的數據與仿真試驗的數據一致性很好。
表 1 理論推導和仿真試驗數據比對

通過進一步的分析計算,可以得出以下結論:多個片式電容間隔無需滿足1/4波長要求;片式電容位置不能離微帶線太遠,否則過長的金絲鍵合線會增加鏈路的插損,特別在工作頻率提高後。
4 結論
本文通過引入金絲鍵合線等效模型,建立由微帶線旁邊增加片式電容並用金絲鍵合線互連後的物理模型,將該模型轉換為矩陣[S]後hou,計ji算suan增zeng加jia片pian式shi電dian容rong對dui傳chuan輸shu微wei波bo信xin號hao的de相xiang位wei影ying響xiang。同tong時shi,通tong過guo仿fang真zhen試shi驗yan,驗yan證zheng了le該gai模mo型xing建jian立li和he推tui導dao的de正zheng確que性xing。因yin為wei可ke以yi方fang便bian地di在zai微wei帶dai線xian旁pang邊bian增zeng加jia片pian式shi電dian容rong,所suo以yi本ben文wen的de分fen析xi對dui微wei波bo鏈lian路lu中zhong靈ling活huo的de相xiang位wei補bu償chang具ju有you參can考kao作zuo用yong。
免責聲明:本文為轉載文章,轉載此文目的在於傳遞更多信息,版權歸原作者所有。本文所用視頻、圖片、文字如涉及作品版權問題,請電話或者郵箱聯係小編進行侵刪。
特別推薦
- 噪聲中提取真值!瑞盟科技推出MSA2240電流檢測芯片賦能多元高端測量場景
- 10MHz高頻運行!氮矽科技發布集成驅動GaN芯片,助力電源能效再攀新高
- 失真度僅0.002%!力芯微推出超低內阻、超低失真4PST模擬開關
- 一“芯”雙電!聖邦微電子發布雙輸出電源芯片,簡化AFE與音頻設計
- 一機適配萬端:金升陽推出1200W可編程電源,賦能高端裝備製造
技術文章更多>>
- 一秒檢測,成本降至萬分之一,光引科技把幾十萬的台式光譜儀“搬”到了手腕上
- AI服務器電源機櫃Power Rack HVDC MW級測試方案
- 突破工藝邊界,奎芯科技LPDDR5X IP矽驗證通過,速率達9600Mbps
- 通過直接、準確、自動測量超低範圍的氯殘留來推動反滲透膜保護
- 從技術研發到規模量產:恩智浦第三代成像雷達平台,賦能下一代自動駕駛!
技術白皮書下載更多>>
- 車規與基於V2X的車輛協同主動避撞技術展望
- 數字隔離助力新能源汽車安全隔離的新挑戰
- 汽車模塊拋負載的解決方案
- 車用連接器的安全創新應用
- Melexis Actuators Business Unit
- Position / Current Sensors - Triaxis Hall
熱門搜索




