串聯連接的 MOSFET 可提高電壓和功率處理能力
發布時間:2023-03-24 責任編輯:lina
【導讀】dangdianyuanqudongdarongxingfuzaishi,langyongdianliuruguobujiayixianzhi,duiyugaoyadianyuanlaishuokeyidadaojishihuojibaianpei。yibanlaishuo,dianyuandeedingzhikenenghuishuntaichaoguoxuduobei,dandangshuntaichixujigejiaoliuxianluzhouqishi,zhetongchangshikeyijieshoude。zheduiyugaodajibaiweifadefuzaidianrongshidianxingde,danduiyushuqianweifadefuzaidianrong,langyongdianliuxianzhiqishibixude。
此設計理念提供了一種簡單、經過驗證、可靠且穩健的方法來為大型電容器組充電,使用串聯連接的功率 MOSFET 將擊穿電壓提高到高於單個 MOSFET 的擊穿電壓。
dangdianyuanqudongdarongxingfuzaishi,langyongdianliuruguobujiayixianzhi,duiyugaoyadianyuanlaishuokeyidadaojishihuojibaianpei。yibanlaishuo,dianyuandeedingzhikenenghuishuntaichaoguoxuduobei,dandangshuntaichixujigejiaoliuxianluzhouqishi,zhetongchangshikeyijieshoude。zheduiyugaodajibaiweifadefuzaidianrongshidianxingde,danduiyushuqianweifadefuzaidianrong,langyongdianliuxianzhiqishibixude。
使用MOSFET作為壓控電流元件非常適合電容充電電路設計。考慮一下:如果一項任務指定從 240V 的整流交流電源為電容器組充電 1A,則具有單個 P-MOSFET 的設計將要求在通電時,MOSFET 在其漏源電壓 |V 時通過 1A DS | 約為330V,超出了大部分零件的安全工作區。例如,IXTQ10P50P 在結溫 150°C 時可以處理 200 mA 的電流 |V DS | = 250V,但在 |V DS |時超過 2A < 100 伏。可以通過串聯連接多個 P-MOSFET 來克服此限製。

圖1
圖 1 顯示了一個包含三個串聯的 P-MOSFET 的設計。忽略 R1 上的壓降,輸入電壓與 Q2 源極的電位大致相同。然後,Q2 的柵極電位等於輸入電壓減去齊納二極管 D1 上的 6.2V,加上電阻器 R3 上的任何壓降。電阻器 R5、R6 和 R7 作為分壓器確保 |V DS | 每個 P-MOSFET 的電壓近似相等——約為輸入和輸出電壓差的 1/3。由於 Q2 的柵極電勢比輸入電壓低約 5V,因此特意選擇 R5 使其具有比 R6 和 R7 稍高的電阻。此校正均衡 |V DS | 電壓甚至高於電阻 R5、R6 和 R7 相等時的電壓。R4 確保在電源開啟/關閉時,Q2 關閉。
上電時,D1在Q2的源極和柵極之間提供6.2V電壓,|V GS2 |;因此Q2是導電的。Q3 和 Q4 也導通,因為通過 R5-R7 的電流為其柵源電容充電。電容器組充電電流由 R1 檢測,並由 R1、Q1、R3 和 Q2 組成的負反饋控製進行調節。當 Q1 的發射極和基極之間的電壓達到 V BE(on) 時——即充電電流約為 1A 時——Q1 開始導通。作為 |V GS2 | = 6.2 – R3 × I C(Q1) , I C(Q1)的任何增加 都會降低 |V GS2|。這會降低輸出電流,進而降低 R1 兩端的電壓,從而完成負反饋環路。

圖 2
圖 2 顯示了當電容器組從 0V 充電到 300V 時,40,000μF 電容器組兩端的電壓隨時間的變化(對於兩種不同的情況),使用和不使用 C1。在沒有 C1 的情況下,電容器組在每個整流半周期內僅部分充電——也就是說,當輸入電壓高於輸出電壓加上所有三個 MOSFET 上約 15V 的壓降時。因此,曲線的斜率不是恒定的。
添加 C1 可讓充電電路以更恒定的輸入電壓工作。
C1 的計算
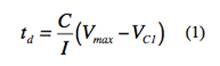
C1 以 dV/dt = I/C = 10V/ms 的速率放電。這幾乎比輸入電壓從 330V 到 0V 的正弦變化慢一個數量級,後者對於 120Hz 半周期持續 4.17ms。因此,從輸入電壓達到值的那一刻起,電容器組僅從 C1 電容器充電,直到輸入電壓在 120Hz 周期的下一個上升斜坡上超過 C1 電壓。C1以1A恒流放電,放電時間間隔t d 表示為:

對於這個時間間隔,輸入電壓從 330V 變為 0V 並高達 V C1:

求解 V C1的這兩個方程 表明 C1 放電至約 265V。由於三個 MOSFET 兩端的電壓降約為 15 V,因此在 250 V 以上時,電容器組兩端的電壓不會線性增加。這解釋了圖 2中線性虛線的變化。
該電路是一個複雜設備的一部分:我們為研究定製的除顫器 [1]。在過去兩年中,它已被證明可以可靠地工作數百個周期和數百小時,並且電容器組進行了多次快速放電。該電路在高達 280 V RMS的輸入電壓下進行了測試 ,並在高達 70°C 的散熱器溫度下可靠工作。此設計理念不限於此處指定的輸入電壓和電流。增加更多的串聯 P-MOSFET 可以提高輸入電壓和充電電流。缺點是每個 P-MOSFET 上的壓降約為 5V。大於 100μF 的 C1 電容將使充電曲線在更高電壓下線性化,或者當然可以使用直流輸入。
免責聲明:本文為轉載文章,轉載此文目的在於傳遞更多信息,版權歸原作者所有。本文所用視頻、圖片、文字如涉及作品版權問題,請聯係小編進行處理。
推薦閱讀:
- 噪聲中提取真值!瑞盟科技推出MSA2240電流檢測芯片賦能多元高端測量場景
- 10MHz高頻運行!氮矽科技發布集成驅動GaN芯片,助力電源能效再攀新高
- 失真度僅0.002%!力芯微推出超低內阻、超低失真4PST模擬開關
- 一“芯”雙電!聖邦微電子發布雙輸出電源芯片,簡化AFE與音頻設計
- 一機適配萬端:金升陽推出1200W可編程電源,賦能高端裝備製造
- 一秒檢測,成本降至萬分之一,光引科技把幾十萬的台式光譜儀“搬”到了手腕上
- AI服務器電源機櫃Power Rack HVDC MW級測試方案
- 突破工藝邊界,奎芯科技LPDDR5X IP矽驗證通過,速率達9600Mbps
- 通過直接、準確、自動測量超低範圍的氯殘留來推動反滲透膜保護
- 從技術研發到規模量產:恩智浦第三代成像雷達平台,賦能下一代自動駕駛!
- 車規與基於V2X的車輛協同主動避撞技術展望
- 數字隔離助力新能源汽車安全隔離的新挑戰
- 汽車模塊拋負載的解決方案
- 車用連接器的安全創新應用
- Melexis Actuators Business Unit
- Position / Current Sensors - Triaxis Hall



