單節鋰離子電池保護芯片的設計
發布時間:2008-10-15 來源:www.dianziw.com
中心論題:
- 分析鋰離子電池保護電路的基本功能和係統結構
- 分析鋰離子電池保護芯片關鍵電路的實現
- 模擬驗證鋰離子電池保護芯片性能
解決方案:
- 引入了濾除幹擾電路,采用三級保護機製和帶隙基準源
- 將模擬電路偏置在弱反型區,引入了待機狀態電路
- 巧妙電路結構實現待機狀態、充電過流檢測和0V電池充電抑製電路
前言
鋰離子電池保護芯片的設計與其封裝結構密切相關,如圖1所示為封裝在鋰離子電池內部的保護電路的基本結構。在正常情況下,充電控製端CO 和放電控製端DO 為高電位,N型放電控製管FET1和充電控製管FET2處於導通狀態,電路的工作方式可以是電池向負載放電,也可以是充電器對電池進行充電;當保護電路檢測到異常現象(過充電、過放電和過電流)時,使CO或DO輸出低電平,從而切斷充電或放電回路,實現保護功能。
為了有效利用放電電流或充電電流,FET1和FET2caiyongdaotongdianzuhenxiaodegonglvguan。tamendexuanzeyuanzechuledaotongdianzuyaoxiao,haiyaoqiutijixiao,bingqieguanbishiyuanloujichuandianyayaonengjingshoubupipeichongdianqideyingxiang。conglilunshangshuo,FET1和FET2可以用N 管也可以用P 管。但由於單節鋰離子電池保護電路的電源電壓較低,為了減小導通電阻,一般都采用N管。圖1中二極管是FET1和FET2的寄生二極管,它們的存在使係統在過放電狀態下能對電池充電,在過充電狀態下能對負載放電。
圖1 3.6V 鋰離子電池保護電路封裝結構
鋰離子電池保護芯片的應用場合要求其具有低電流驅動、高精度檢測的特點,另外由於保護電路的供電電源即為電池電壓,因此在電池電壓的變化範圍內,保護電路必須正常工作,本文根據圖1 所示的連接關係,設計一種低功耗單節鋰離子電池保護芯片,其電池電壓可以在1V—5.5V範圍內變化。
係統結構設計
鋰離子電池保護芯片的基本功能是進行過充電保護、過guo放fang電dian保bao護hu和he過guo電dian流liu保bao護hu,其qi中zhong過guo電dian流liu保bao護hu包bao括kuo充chong電dian過guo流liu保bao護hu和he放fang電dian過guo流liu保bao護hu。下xia麵mian以yi保bao護hu電dian路lu的de基ji本ben功gong能neng為wei出chu發fa點dian,分fen析xi其qi係xi統tong的de組zu成cheng。
檢測異常現象
鋰離子電池保護電路為了實現其基本功能,首先需要檢測異常現象。過充電和過放電檢測是將電池電壓進行分壓(采樣)後與基準電壓比較實現的;而對於過流檢測,保護芯片首先將充放電過程中的電流轉化為在功率管FET1、FET2上的電壓,然後通過VM與基準電壓比較完成,放電過流檢測的是正電壓,充電過流檢測的是負電壓。
濾除幹擾信號
通常在鋰離子電池保護電路的工作過程中會有幹擾信號存在,幹擾信號的類型主要有兩種:一種為瞬間幹擾,它是指在正常的信號上,在極短的時間內疊加上一個較大的信號。另一種為波動幹擾,它是指信號的起伏波動。如圖2 以充電過程解釋了這兩類幹擾,其中VCU 為過充電檢測電壓。
為了防止幹擾信號的引入使保護電路產生誤動作,可以從係統角度考慮采用適當的措施減小它們的影響。
瞬間幹擾可以在保護電路內部加上延時電路加以濾除,即當保護電路檢測到異常信號後,延時一段時間再關閉FET1或FET2。根據過充電、過放電、過電流對鋰電池的危害程度選取不同的延時時間。為了更加合理的保護鋰電池,放電過流可分為三個級別,分別為過流1保護、過流2保護以及負載短路保護,過流1的延時稍長,過流2的延時比過流1的延時短一些,而負載短路不加延時立即保護。波動幹擾可以在保護電路內部加上遲滯電路加以濾除。
控製充電控製管有效關閉
在充電過程中,與FET2源極相連的VM端電位為負值,當過充電保護起作用時,必須在過充電延時信號與CO端之間加上電平轉換電路,將控製邏輯電路產生的邏輯信號進行轉換,使CO端的電位小於或等於VM端的電位,從而保證FET2有效關斷。
0V電池充電抑製功能
鋰離子電池保護電路可實現對0V電池進行充電,也可實現對0V 電池禁止充電,本文的設計采用後者,這一功能使保護電路禁止對內部短路的電池進行充電。當電池電壓為0V電池充電抑製電壓VOINH(典型值為1V左右)或更低時,FET2的柵極電位被固定為VM 的電位,從而禁止充電。當電池電壓等於或高於VOINH 時,可以進行充電。
其它功能
1)zaiguochongdianzhuangtaixia,baohudianluxujinzhifangdianguoliubaohuqizuoyong。yinweidianchizaiguochongdianhoujieshangfuzaideqingkuangxia,zaifangdianchuqi,xitongrengchuyuguochongdianzhuangtai,cishifangdiandianliubiranhenda,yinqiguoliudekenengxinghenda;而過流保護如果起作用,就會關斷放電回路。這樣,一旦電池過充電,就可能永遠不能使用;
2)zaiguofangdianbaohuqizuoyongshi,baohudianluxujinzhichongdianguoliubaohuqizuoyong。yinweidangdianchiguofangdianhou,gangjieshangchongdianqichongdianshi,chongdiandianliuhuihenda。cishijinzhichongdianguoliubaohuqizuoyong,kebaozhengdianchizaiguofangdianhoukechongdian;
3)為了減少充電電流流過FET1內部寄生二極管的時間,如果在過放電狀態下連接上充電器並且VM電壓低於充電過流檢測電壓時,解除過放電遲滯。
根據上述分析,本文設計的鋰離子電池保護電路的係統框圖如圖3所示。係統主要包括控製邏輯電路(CONTROL LOGIC CIRCUIT)、取樣電路(SAMPLE CIRCUIT)、過充電檢測比較器(OVERDIACHARGE COMPARATOR)、過放電檢測比較器(OVERDISCHARGE COMPARATOR)、過流1檢測比較器(OVERCURRENT1 COMPARATOR)、過流2 檢測比較器(OVERCURRENT2 COMPARATOR)、負載短路檢測電路(LOAD SHORT DETECTION CIRCUIT)、充電過流檢測電路(CHARGER DETEDTION CIRCUIT)、電平轉換電路(CONVERTOR CIRCUIT)、基準電路(REFERENCE CIRCUIT)以及偏置電路(BIAS CIRCUIT)。其中,偏置電路在圖3 中沒有給出,電平轉換電路同時能實現0V 充電抑製功能。
圖3 鋰離子電池保護電路係統框圖
圖3 中MN 在過電流時導通,它的作用是使過大的電流不經過FET1和FET2而通過MN流向地。MP與待機狀態有關,待機狀態電路的工作原理是:當dang保bao護hu電dian路lu進jin入ru過guo放fang電dian狀zhuang態tai後hou,產chan生sheng一yi個ge待dai機ji狀zhuang態tai信xin號hao,使shi保bao護hu芯xin片pian中zhong的de大da多duo數shu電dian路lu停ting止zhi工gong作zuo,它ta是shi通tong過guo控kong製zhi邏luo輯ji電dian路lu和he負fu載zai短duan路lu檢jian測ce電dian路lu的de配pei合he完wan成cheng的de。M3的作用是在待機狀態下,使采樣電路不消耗靜態電流。M4和M5fenbieyongyushixianguofangdianheguochongdianjiancechizhiyilvchuchongfangdianguochengzhongdebodongganraoxinhao。ershunshiganraoxinhaodelvchuyoukongzhiluojidianluzhongdeyanshidianlushixian。
關鍵電路實現
鋰li離li子zi電dian池chi保bao護hu芯xin片pian的de性xing能neng,不bu僅jin與yu係xi統tong結jie構gou密mi切qie相xiang關guan,與yu具ju體ti電dian路lu的de實shi現xian也ye是shi密mi不bu可ke分fen的de,下xia麵mian的de電dian路lu模mo塊kuai在zai整zheng個ge芯xin片pian中zhong具ju有you關guan鍵jian的de作zuo用yong,本ben文wen從cong功gong耗hao和he精jing度du等deng角jiao度du考kao慮lv,提ti出chu了le獨du特te的de設she計ji方fang法fa。
待機狀態電路
保bao護hu電dian路lu進jin入ru待dai機ji狀zhuang態tai有you賴lai於yu過guo放fang電dian狀zhuang態tai的de檢jian測ce,進jin入ru待dai機ji狀zhuang態tai後hou,為wei了le減jian小xiao功gong耗hao應ying使shi盡jin可ke能neng多duo的de電dian路lu模mo塊kuai停ting止zhi工gong作zuo,但dan如ru果guo所suo有you的de檢jian測ce電dian路lu都dou不bu工gong作zuo,待dai機ji狀zhuang態tai將jiang無wu法fa退tui出chu,為wei此ci在zai設she計ji負fu載zai短duan路lu檢jian測ce電dian路lu時shi不bu引yin入ru待dai機ji狀zhuang態tai控kong製zhi信xin號hao,其qi目mu的de即ji為wei在zai電dian池chi電dian壓ya升sheng高gao後hou使shi保bao護hu電dian路lu能neng及ji時shi退tui出chu待dai機ji狀zhuang態tai。圖tu4 給出了待機狀態信號產生和撤銷的原理圖。

圖4 待機狀態實現電路
圖4 中SOD為過放電檢測信號,係統處於正常狀態時,SOD為高電平,VM為低電平,因此待機狀態控製信號POWERD輸出高電平、POWERDB輸出低電平。當係統進入過放電狀態時,SOD(延時後的信號)變為低電平,MP導通使VM變為高電平,最終使POWERD變為低電平、POWERDB變為高電平,它們控製保護電路相應模塊停止工作,係統進入待機狀態。當對電池進行充電時,由圖1可知VM被強製拉到低電平,使負載短路檢測電路的輸出信號OUT_LSB變為高電平;此時,不論SOD為何值或非門都將輸出低電平,POWERD由此變為高電平,這樣,就可實現待機狀態的退出。
基準電壓電路
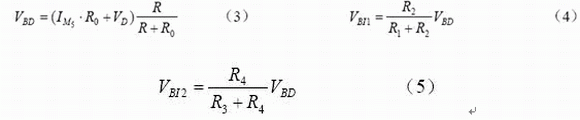
為了檢測過充電、guofangdianhefangdianguoliuqingkuang,jiancebijiaoqixuyaoyujizhundianyajinxingbijiao。youyuguochongdianjianceheguofangdianjiancedianluzhiqianyoucaiyangdianlu,tamenkeyongxiangtongdejizhundianya,erguoliu1 和過流2 需采用不同的基準電壓。為了提高芯片的檢測精度,電壓基準采用受電源、溫度和工藝影響較小的帶隙基準源,如圖5 所示為具體結構圖,其中M1~M5 工作於弱反型區,因此該電路具有功耗較小的特點。
電路的工作原理為:由M1—M4和R5組成的自偏置電路產生具有正溫度係數的電流,它在電阻R0所產生的壓降和具有負溫度係數的PN 結壓降(D0上的壓降)相加,從而輸出零溫度係數的基準電壓VBD;為滿足同一電路中輸出不同的基準電壓源,利用電阻分壓將VBD 分成了VBI1及VBI2輸出;C0和R6組成啟動電路。
由圖5 可知, VGSM2-VGSM1=IM2*R5。M3 和M4 組成電流鏡,取相同的寬長比,則IM1=IM2。因為M1和M2工作於弱反型區,所以:

式(1)中n為亞閾值因子,UT為熱電勢。M3和M5組成電流鏡,則:

設R=(R1+R2)//(R3+R4),二極管的正向壓降為VD,可以推導輸出電壓為:

由(3)—(5)式可知,基準電壓的精度與電阻R0—R4 的精度直接相關,為此這些電阻需要采用調整(trimming)技術。
圖5 電壓基準電路
充電過流檢測電路
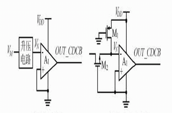
充電過流的檢測歸結為檢測VM電壓,其臨界值為VCH(約為-1.3V)。如果所用工藝的MOS管(guan)閾(yu)值(zhi)電(dian)壓(ya)可(ke)以(yi)調(tiao)節(jie),負(fu)電(dian)壓(ya)檢(jian)測(ce)電(dian)路(lu)可(ke)用(yong)差(cha)分(fen)結(jie)構(gou)的(de)比(bi)較(jiao)器(qi)實(shi)現(xian),其(qi)中(zhong)比(bi)較(jiao)器(qi)的(de)一(yi)個(ge)輸(shu)入(ru)端(duan)接(jie)地(di),並(bing)且(qie)兩(liang)個(ge)差(cha)分(fen)對(dui)管(guan)的(de)閾(yu)值(zhi)電(dian)壓(ya)需(xu)要(yao)調(tiao)整(zheng)。為(wei)了(le)使(shi)該(gai)電(dian)路(lu)能(neng)用(yong)常(chang)規(gui)的(de)CMOS 工藝實現,本文在過零比較器的基礎上引入升壓電路,如圖6(a)所示當VM》VCHA時,升壓電路使VN>0 。升壓部分具體實現如圖6(b)所示。

(a)采用升壓實現 (b)升壓部分具體實現
圖6 負壓檢測原理
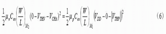
PMOS管M1和NMOS管M2的柵極都接地。當M1的柵源電壓小於它的閾值電壓時,M2截止,而M1始終導通,A1比較器的反相輸入信號VN電位因為大於同相輸入端的電位,而使輸出OUT_CDCB為低電平。隨著輸入信號VM電位向負方向的增大,M2逐漸導通,最後使得VN 端電位變負,OUT_CDCB由此變為高電平。圖6中VN=0時的輸入電壓即為檢測電壓VCHA,此時M1和M2處於飽和狀態且下列關係式成立:

(6)式中, un和up分別為N管和P管的遷移率,VTHN和VTHP分別為N管和P管的閾值電壓,COX為氧化層電容。(6)式經整理得:

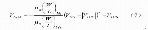
由(7)式可知,本電路中檢測電壓|VCHA|的取值隻能大於M2的閾值電壓,改變M1和M2的寬長比可改變檢測電壓VCHA。當M2未導通時,電路消耗的電流較小;當M2導通時,就會有電源到地的通路,為了減小消耗的電流,一般取M1的寬長比小於1。
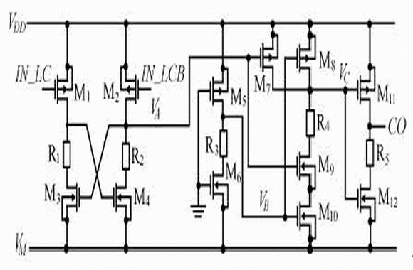
電平轉換電路及0V 電池充電抑製電路
由於電平轉換電路和0V電池充電抑製電路的目的都是為了控製CO端,這兩個功能可用一個電路完成,如圖7 所示給出了具體實現電路。
圖7 電平轉換電路及0V電池充電抑製電路
電平轉換功能主要由M1—M4、R1和R2組成的電路完成;0V電池充電抑製功能主要由M5、M6和R3完成;M7—M10和R4組成的與非門在電平轉換功能和0V 電池充電抑製功能之間進行選擇。電阻起限流作用。下麵是這兩個功能的具體實現過程。
電平轉換實現過程
在正常的放電過程中,VM端電位大於零而接近於零,可近似為VSS。此時,該電路的輸入信號IN_LCB=‘0’,IN_LC=‘1’,顯然,CO輸出為高電平(VDD)。
在正常的充電過程中,VM端電位小於零而接近於零,仍可近似為VSS。當出現過充電或充電過流時,IN_LC=‘0’,IN_LCB=‘1’,VA為VM端電位,VB為VDD電位,VC輸出VDD電位,因此CO與VM等電位。
0V 電池充電抑製實現過程
0V 電池充電抑製功能發生在充電過程中,此時,IN_LCB=‘0’,IN_LC=‘1’,VA 為高電平。當電池電壓VDD小於或等於1V時,M5關閉,另外,較小的電池電壓使其內阻變小,接近內部短路。在這種情況下充電,充電電流一定很大,導致VM的電位下降很大,使M6 導通,VB由低電平轉化為高電平,CO端輸出電位接近VM電位。
模擬結果
芯片的所有功能和主要參數均用HSPICE 進行了模擬驗證。圖8 給出了過充電保護檢測和釋放波形圖,圖9 給出了過放電保護檢測和釋放波形圖,其中COMP_OC 為過充電比較器的輸出信號,COMP_OD 為過放電比較器的輸出信號;芯片的過充電和過放電檢測精度約為30mV,在正常工作時消耗的電流為3.23uA,在待機狀態時消耗的電流為0.15uA。
圖8 過充電保護檢測和釋放波形圖
圖9 過放電保護檢測和釋放波形圖
總結
本文設計了一種單節鋰離子電池保護芯片,它可用常規的P 阱或雙阱CMOS工藝實現。為了提高檢測異常情況的精度,芯片中引入了濾除幹擾電路,放電過流采用三級保護機製,電壓基準采用帶隙基準源;為了降低功耗,采用了如下措施:將模擬電路偏置在弱反型區,引入了待機狀態電路;另外,本文用巧妙的電路結構實現了待機狀態電路、充電過流檢測電路以及0V電池充電抑製電路。經過模擬驗證,本文設計的芯片能有效防止鋰離子電池在應用中所發生的過充電、過放電和過電流現象,並且具有良好的性能。
- 噪聲中提取真值!瑞盟科技推出MSA2240電流檢測芯片賦能多元高端測量場景
- 10MHz高頻運行!氮矽科技發布集成驅動GaN芯片,助力電源能效再攀新高
- 失真度僅0.002%!力芯微推出超低內阻、超低失真4PST模擬開關
- 一“芯”雙電!聖邦微電子發布雙輸出電源芯片,簡化AFE與音頻設計
- 一機適配萬端:金升陽推出1200W可編程電源,賦能高端裝備製造
- 一秒檢測,成本降至萬分之一,光引科技把幾十萬的台式光譜儀“搬”到了手腕上
- AI服務器電源機櫃Power Rack HVDC MW級測試方案
- 突破工藝邊界,奎芯科技LPDDR5X IP矽驗證通過,速率達9600Mbps
- 通過直接、準確、自動測量超低範圍的氯殘留來推動反滲透膜保護
- 從技術研發到規模量產:恩智浦第三代成像雷達平台,賦能下一代自動駕駛!
- 車規與基於V2X的車輛協同主動避撞技術展望
- 數字隔離助力新能源汽車安全隔離的新挑戰
- 汽車模塊拋負載的解決方案
- 車用連接器的安全創新應用
- Melexis Actuators Business Unit
- Position / Current Sensors - Triaxis Hall




