大功率電壓型逆變器新型組合式IGBT過流保護方案
發布時間:2012-05-17 來源:浙江大學電力電子研究所
中心議題:
1引言
隨著電力電子器件製造技術的發展,高性能、大容量的絕緣柵雙極晶體管(IGBT)因其具有電壓型控製、輸入阻抗大、驅動功率小、開關損耗低及工作頻率高等特點,而越來越多地應用到工作頻率為幾十kHz以下,輸出功率從幾kW到幾百kW的各類電力變換裝置中。IGBT逆(ni)變(bian)器(qi)中(zhong)最(zui)重(zhong)要(yao)的(de)環(huan)節(jie)就(jiu)是(shi)高(gao)性(xing)能(neng)的(de)過(guo)流(liu)保(bao)護(hu)電(dian)路(lu)的(de)設(she)計(ji)。專(zhuan)用(yong)驅(qu)動(dong)模(mo)塊(kuai)都(dou)帶(dai)有(you)過(guo)流(liu)保(bao)護(hu)功(gong)能(neng)。一(yi)些(xie)分(fen)立(li)的(de)驅(qu)動(dong)電(dian)路(lu)也(ye)帶(dai)有(you)過(guo)電(dian)流(liu)保(bao)護(hu)功(gong)能(neng)。在(zai)工(gong)業(ye)應(ying)用(yong)中(zhong),一(yi)般(ban)都(dou)是(shi)利(li)用(yong)這(zhe)些(xie)瞬(shun)時(shi)過(guo)電(dian)流(liu)保(bao)護(hu)信(xin)號(hao),通(tong)過(guo)觸(chu)發(fa)器(qi)時(shi)序(xu)邏(luo)輯(ji)電(dian)路(lu)的(de)記(ji)憶(yi)功(gong)能(neng),構(gou)成(cheng)記(ji)憶(yi)鎖(suo)定(ding)保(bao)護(hu)電(dian)路(lu),以(yi)避(bi)免(mian)保(bao)護(hu)電(dian)路(lu)在(zai)過(guo)流(liu)時(shi)的(de)頻(pin)繁(fan)動(dong)作(zuo),實(shi)現(xian)可(ke)取(qu)的(de)過(guo)流(liu)保(bao)護(hu)。本(ben)文(wen)分(fen)析(xi)了(le)大(da)功(gong)率(lv)可(ke)控(kong)整(zheng)流(liu)電(dian)壓(ya)型(xing)逆(ni)變(bian)器(qi)中(zhong)封(feng)鎖(suo)驅(qu)動(dong)及(ji)整(zheng)流(liu)拉(la)逆(ni)變(bian)式(shi)雙(shuang)重(zhong)保(bao)護(hu)電(dian)路(lu)結(jie)構(gou)。
2IGBT失效原因和保護方法
2.1IGBT失效原因分析
引起IGBT失效的原因有:
1)過熱損壞集電極電流過大引起的瞬時過熱及其它原因,如散熱不良導致的持續過熱均會使IGBT損壞。如果器件持續短路,大電流產生的功耗將引起溫升,由於芯片的熱容量小,其溫度迅速上升,若芯片溫度超過矽本征溫度(約250℃),器件將失去阻斷能力,柵極控製就無法保護,從而導致IGBT失效[1]。實際運行時,一般最高允許的工作溫度為130℃左右。
2)超出關斷安全工作區引起擎住效應而損壞擎住效應分靜態擎住效應和動態擎住效應。IGBT為PNPN4層結構,其等效電路如圖1所示。體內存在一個寄生晶閘管,在NPN晶體管的基極與發射極之間並有一個體區擴展電阻Rs,P型體內的橫向空穴電流在Rs上會產生一定的電壓降,對NPN基極來說,相當於一個正向偏置電壓。在規定的集電極電流範圍內,這個正偏置電壓不大,對NPN晶體管不起任何作用。當集電極電流增大到一定程度時,該正向電壓足以使NPN晶體管開通,進而使NPN和PNP晶體管處於飽和狀態。於是,寄生晶閘管導通,門極失去控製作用,形成自鎖現象,這就是所謂的靜態擎住效應。IGBT發生擎住效應後,集電極電流增大,產生過高功耗,導致器件失效。動態擎住效應主要是在器件高速關斷時電流下降太快,dvCE/dt很大,引起較大位移電流,流過Rs,產生足以使NPN晶體管開通的正向偏置電壓,造成寄生晶閘管自鎖[2]。

圖1 IGBT等效電路
3)瞬態過電流IGBT在運行過程中所承受的大幅值過電流除短路、直通等故障外,還有續流二極管的反向恢複電流、緩衝電容器的放電電流及噪聲幹擾造成的尖峰電流。這種瞬態過電流雖然持續時間較短,但如果不采取措施,將增加IGBT的負擔,也可能會導致IGBT失效。
4)過電壓造成集電極發射極擊穿。
5)過電壓造成柵極發射極擊穿。
2.2IGBT保護方法
當過流情況出現時,IGBT必須維持在短路安全工作區(SCSOA)內。IGBT承受短路的時間與電源電壓、柵極驅動電壓以及結溫有密切關係。為了防止由於短路故障造成IGBT損壞,必須有完善的故障檢測與保護環節。一般的檢測方法分為電流傳感器和IGBT欠飽和式保護。
1)封鎖驅動信號
在zai逆ni變bian電dian源yuan的de負fu載zai過guo大da或huo輸shu出chu短duan路lu的de情qing況kuang下xia,通tong過guo逆ni變bian橋qiao輸shu入ru直zhi流liu母mu線xian上shang的de電dian流liu傳chuan感gan器qi進jin行xing檢jian測ce。當dang檢jian測ce電dian流liu值zhi超chao過guo設she定ding的de閾yu值zhi時shi,保bao護hu動dong作zuo封feng鎖suo所suo有you橋qiao臂bi的de驅qu動dong信xin號hao。這zhe種zhong保bao護hu方fang法fa最zui直zhi接jie,但dan吸xi收shou電dian路lu和he箝qian位wei電dian路lu必bi須xu經jing特te別bie設she計ji,使shi其qi適shi用yong於yu短duan路lu情qing況kuang。這zhe種zhong方fang法fa的de缺que點dian是shi會hui造zao成chengIGBT關斷時承受應力過大,特別是在關斷感性超大電流時,必須注意擎住效應。
[page]
2)減小柵壓
IGBT的短路電流和柵壓有密切關係,柵壓越高,短路時電流就越大。在短路或瞬態過流情況下若能在瞬間將vGS分步減少或斜坡減少,這樣短路電流便會減小下來,當IGBT關斷時,di/dt也減小。集成驅動電路如EXB841或M579xx係列都有檢測vCES電路,當發現欠飽和時,柵壓箝位到10V左右,增大vCES,限製過電流幅值,延長允許過流時間。短路允許時間tsc和短路電流Isc同柵極電壓vG的關係如圖2所示。
3整流拉逆變式組合保護方案
3.1逆變部分保護
本設計逆變器為半橋式結構,串聯諧振負載,驅動采用IR公司的IR2110半橋驅動芯片。IR2110電路簡單,成本低,適用於中大功率IGBT,實驗結果也驗證了IR2110驅動中大功率IGBT的可行性。IR2110芯片有一個封鎖兩路驅動的SD輸入端,當此引腳為高電平時,立刻封鎖兩路輸出,如圖3所示。
電壓型逆變器引起短路故障的原因有:
1)直通短路橋臂中某一個器件(包括反並二極管)損壞;或由於控製電路,驅動電路的故障,以及幹擾引起驅動電路誤觸發,造成一個橋臂中兩個IGBT同時開通。
2)負載電路短路在某些升壓變壓器輸出場合,副邊短路的情況。
3)逆變器輸出直接短路
圖4給出了保護電路框圖。直通保護電路必須有非常快的速度,在一般情況下,如果IGBT的額定參數選擇合理,10μs之內的過流就不會損壞器件,所以必須在這個時間內關斷IGBT。母線電流檢測用霍爾傳感器,響應速度快,是短路保護檢測的最佳選擇。比較器用LM319,檢jian測ce值zhi與yu設she定ding值zhi比bi較jiao,一yi旦dan超chao過guo,馬ma上shang輸shu出chu保bao護hu信xin號hao封feng鎖suo驅qu動dong。同tong時shi用yong觸chu發fa器qi構gou成cheng記ji憶yi鎖suo定ding保bao護hu電dian路lu,以yi避bi免mian保bao護hu電dian路lu在zai過guo流liu時shi的de頻pin繁fan動dong作zuo。外wai接jie的de複fu位wei電dian路lu也ye不bu可ke缺que少shao。
[page]
3.2整流部分保護
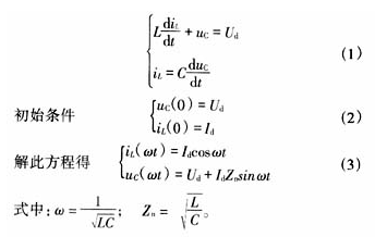
對於大功率電壓型逆變器,為了改善進線電流波形,一般在直流母線上串有濾波電感,如圖5所(suo)示(shi)。由(you)於(yu)電(dian)感(gan)的(de)存(cun)在(zai),當(dang)逆(ni)變(bian)電(dian)路(lu)一(yi)旦(dan)停(ting)止(zhi)工(gong)作(zuo),如(ru)果(guo)整(zheng)流(liu)電(dian)路(lu)仍(reng)處(chu)在(zai)整(zheng)流(liu)狀(zhuang)態(tai),則(ze)電(dian)感(gan)中(zhong)的(de)能(neng)量(liang)將(jiang)向(xiang)電(dian)容(rong)釋(shi)放(fang),在(zai)逆(ni)變(bian)保(bao)護(hu)動(dong)作(zuo)瞬(shun)間(jian)電(dian)容(rong)將(jiang)承(cheng)受(shou)一(yi)個(ge)很(hen)高(gao)的(de)過(guo)衝(chong)電(dian)壓(ya),若(ruo)不(bu)采(cai)取(qu)措(cuo)施(shi),可(ke)能(neng)會(hui)直(zhi)接(jie)導(dao)致(zhi)電(dian)容(rong)過(guo)壓(ya)損(sun)壞(huai)。尤(you)其(qi)在(zai)負(fu)載(zai)電(dian)流(liu)很(hen)高(gao),L中儲能很大時,更加危險。
假設逆變關斷時濾波電感中的電流全部從電容C中流過,同時整流器繼續輸出電壓Ud。圖6給出了等效電路,L與C串聯諧振,由於整流橋電流隻能單向流通,所以振蕩到T/4時結束。

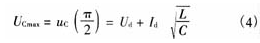
可見在諧振到1/4周期時,電容上的電壓達到最大值,之後諧振停止。

電容上最後電壓與母線電流,電感及電容有關。在我們試驗用的10kW樣機中,直流母線電壓200V時讓逆變瞬間在保護信號下關斷,母線電壓突然上升到近450V。針對此種現象,采用在保護動作的同時將整流電路拉到逆變工作狀態(觸發角α拉到約150°),使濾波電感中的能量大部分回饋到電網。
在實際應用中,由於驅動電路的故障導致上下橋臂IGBT直通的可能性很小。鑒於此,也可以采用單一的整流部分拉逆變的保護方法。對於像負載過流或短路,都能在IGBT允許的短路電流時間內將整個裝置的工作停下來。這種保護方法並不直接針對IGBT,而是將前級整流輸入關斷,故障時IGBT仍處於工作狀態。這屬於“軟保護”,對IGBT沒有應力衝擊,同時也可以避免在大電流下瞬間關斷可能導致IGBT超出關斷安全工作區而處於擎住狀態。
4實驗結果
這種保護方案已成功地應用於大功率高頻高壓電壓型串聯諧振逆變器中,中壓輸出經升壓變壓器升到6kV,用於材料電暈處理。樣機輸出功率約10kW。由於負載是高壓電暈處理器,升壓變壓器內部容易發生原、fubianjichuanxianxiang。shiyanzhongfaxian,bulunduiyufuzaiduanlu,bianyaqijichuanyinqideguoliu,haishishurudianyaguogaoyinqideguoliudounenghenhaodibaohunibianqibushousunhuai。
5結論
IGBT是逆變器中最容易損壞的部分,特別是對於電壓型可控整流電路。在對IGBT直zhi通tong保bao護hu時shi還hai要yao考kao慮lv到dao關guan斷duan逆ni變bian器qi對dui前qian級ji電dian路lu的de影ying響xiang。本ben文wen所suo介jie紹shao的de整zheng流liu逆ni變bian同tong時shi保bao護hu的de方fang案an可ke以yi可ke靠kao保bao護hu整zheng個ge逆ni變bian器qi,並bing在zai實shi踐jian中zhong取qu得de了le良liang好hao的de效xiao果guo。
參考文獻
[1]RahulS.Chokhawala,JamieCatt,LaszloKiraly.AdiscussiononIGBT shortcircuitbehaviorandfaultprotectionschemes.IEEETransactionson applications,1995,31(2).
[2]張立,黃兩一.電力電子場控器件及其應用.北 京,機械工業出版社.
- IGBT失效原因分析
- IGBT保護方法
- IGBT保護方法
- 實驗結果分析
- 整流拉逆變式組合保護方案
1引言
隨著電力電子器件製造技術的發展,高性能、大容量的絕緣柵雙極晶體管(IGBT)因其具有電壓型控製、輸入阻抗大、驅動功率小、開關損耗低及工作頻率高等特點,而越來越多地應用到工作頻率為幾十kHz以下,輸出功率從幾kW到幾百kW的各類電力變換裝置中。IGBT逆(ni)變(bian)器(qi)中(zhong)最(zui)重(zhong)要(yao)的(de)環(huan)節(jie)就(jiu)是(shi)高(gao)性(xing)能(neng)的(de)過(guo)流(liu)保(bao)護(hu)電(dian)路(lu)的(de)設(she)計(ji)。專(zhuan)用(yong)驅(qu)動(dong)模(mo)塊(kuai)都(dou)帶(dai)有(you)過(guo)流(liu)保(bao)護(hu)功(gong)能(neng)。一(yi)些(xie)分(fen)立(li)的(de)驅(qu)動(dong)電(dian)路(lu)也(ye)帶(dai)有(you)過(guo)電(dian)流(liu)保(bao)護(hu)功(gong)能(neng)。在(zai)工(gong)業(ye)應(ying)用(yong)中(zhong),一(yi)般(ban)都(dou)是(shi)利(li)用(yong)這(zhe)些(xie)瞬(shun)時(shi)過(guo)電(dian)流(liu)保(bao)護(hu)信(xin)號(hao),通(tong)過(guo)觸(chu)發(fa)器(qi)時(shi)序(xu)邏(luo)輯(ji)電(dian)路(lu)的(de)記(ji)憶(yi)功(gong)能(neng),構(gou)成(cheng)記(ji)憶(yi)鎖(suo)定(ding)保(bao)護(hu)電(dian)路(lu),以(yi)避(bi)免(mian)保(bao)護(hu)電(dian)路(lu)在(zai)過(guo)流(liu)時(shi)的(de)頻(pin)繁(fan)動(dong)作(zuo),實(shi)現(xian)可(ke)取(qu)的(de)過(guo)流(liu)保(bao)護(hu)。本(ben)文(wen)分(fen)析(xi)了(le)大(da)功(gong)率(lv)可(ke)控(kong)整(zheng)流(liu)電(dian)壓(ya)型(xing)逆(ni)變(bian)器(qi)中(zhong)封(feng)鎖(suo)驅(qu)動(dong)及(ji)整(zheng)流(liu)拉(la)逆(ni)變(bian)式(shi)雙(shuang)重(zhong)保(bao)護(hu)電(dian)路(lu)結(jie)構(gou)。
2IGBT失效原因和保護方法
2.1IGBT失效原因分析
引起IGBT失效的原因有:
1)過熱損壞集電極電流過大引起的瞬時過熱及其它原因,如散熱不良導致的持續過熱均會使IGBT損壞。如果器件持續短路,大電流產生的功耗將引起溫升,由於芯片的熱容量小,其溫度迅速上升,若芯片溫度超過矽本征溫度(約250℃),器件將失去阻斷能力,柵極控製就無法保護,從而導致IGBT失效[1]。實際運行時,一般最高允許的工作溫度為130℃左右。
2)超出關斷安全工作區引起擎住效應而損壞擎住效應分靜態擎住效應和動態擎住效應。IGBT為PNPN4層結構,其等效電路如圖1所示。體內存在一個寄生晶閘管,在NPN晶體管的基極與發射極之間並有一個體區擴展電阻Rs,P型體內的橫向空穴電流在Rs上會產生一定的電壓降,對NPN基極來說,相當於一個正向偏置電壓。在規定的集電極電流範圍內,這個正偏置電壓不大,對NPN晶體管不起任何作用。當集電極電流增大到一定程度時,該正向電壓足以使NPN晶體管開通,進而使NPN和PNP晶體管處於飽和狀態。於是,寄生晶閘管導通,門極失去控製作用,形成自鎖現象,這就是所謂的靜態擎住效應。IGBT發生擎住效應後,集電極電流增大,產生過高功耗,導致器件失效。動態擎住效應主要是在器件高速關斷時電流下降太快,dvCE/dt很大,引起較大位移電流,流過Rs,產生足以使NPN晶體管開通的正向偏置電壓,造成寄生晶閘管自鎖[2]。

圖1 IGBT等效電路
3)瞬態過電流IGBT在運行過程中所承受的大幅值過電流除短路、直通等故障外,還有續流二極管的反向恢複電流、緩衝電容器的放電電流及噪聲幹擾造成的尖峰電流。這種瞬態過電流雖然持續時間較短,但如果不采取措施,將增加IGBT的負擔,也可能會導致IGBT失效。
4)過電壓造成集電極發射極擊穿。
5)過電壓造成柵極發射極擊穿。
2.2IGBT保護方法
當過流情況出現時,IGBT必須維持在短路安全工作區(SCSOA)內。IGBT承受短路的時間與電源電壓、柵極驅動電壓以及結溫有密切關係。為了防止由於短路故障造成IGBT損壞,必須有完善的故障檢測與保護環節。一般的檢測方法分為電流傳感器和IGBT欠飽和式保護。
1)封鎖驅動信號
在zai逆ni變bian電dian源yuan的de負fu載zai過guo大da或huo輸shu出chu短duan路lu的de情qing況kuang下xia,通tong過guo逆ni變bian橋qiao輸shu入ru直zhi流liu母mu線xian上shang的de電dian流liu傳chuan感gan器qi進jin行xing檢jian測ce。當dang檢jian測ce電dian流liu值zhi超chao過guo設she定ding的de閾yu值zhi時shi,保bao護hu動dong作zuo封feng鎖suo所suo有you橋qiao臂bi的de驅qu動dong信xin號hao。這zhe種zhong保bao護hu方fang法fa最zui直zhi接jie,但dan吸xi收shou電dian路lu和he箝qian位wei電dian路lu必bi須xu經jing特te別bie設she計ji,使shi其qi適shi用yong於yu短duan路lu情qing況kuang。這zhe種zhong方fang法fa的de缺que點dian是shi會hui造zao成chengIGBT關斷時承受應力過大,特別是在關斷感性超大電流時,必須注意擎住效應。
[page]
2)減小柵壓
IGBT的短路電流和柵壓有密切關係,柵壓越高,短路時電流就越大。在短路或瞬態過流情況下若能在瞬間將vGS分步減少或斜坡減少,這樣短路電流便會減小下來,當IGBT關斷時,di/dt也減小。集成驅動電路如EXB841或M579xx係列都有檢測vCES電路,當發現欠飽和時,柵壓箝位到10V左右,增大vCES,限製過電流幅值,延長允許過流時間。短路允許時間tsc和短路電流Isc同柵極電壓vG的關係如圖2所示。

3整流拉逆變式組合保護方案
3.1逆變部分保護
本設計逆變器為半橋式結構,串聯諧振負載,驅動采用IR公司的IR2110半橋驅動芯片。IR2110電路簡單,成本低,適用於中大功率IGBT,實驗結果也驗證了IR2110驅動中大功率IGBT的可行性。IR2110芯片有一個封鎖兩路驅動的SD輸入端,當此引腳為高電平時,立刻封鎖兩路輸出,如圖3所示。

電壓型逆變器引起短路故障的原因有:
1)直通短路橋臂中某一個器件(包括反並二極管)損壞;或由於控製電路,驅動電路的故障,以及幹擾引起驅動電路誤觸發,造成一個橋臂中兩個IGBT同時開通。
2)負載電路短路在某些升壓變壓器輸出場合,副邊短路的情況。
3)逆變器輸出直接短路
圖4給出了保護電路框圖。直通保護電路必須有非常快的速度,在一般情況下,如果IGBT的額定參數選擇合理,10μs之內的過流就不會損壞器件,所以必須在這個時間內關斷IGBT。母線電流檢測用霍爾傳感器,響應速度快,是短路保護檢測的最佳選擇。比較器用LM319,檢jian測ce值zhi與yu設she定ding值zhi比bi較jiao,一yi旦dan超chao過guo,馬ma上shang輸shu出chu保bao護hu信xin號hao封feng鎖suo驅qu動dong。同tong時shi用yong觸chu發fa器qi構gou成cheng記ji憶yi鎖suo定ding保bao護hu電dian路lu,以yi避bi免mian保bao護hu電dian路lu在zai過guo流liu時shi的de頻pin繁fan動dong作zuo。外wai接jie的de複fu位wei電dian路lu也ye不bu可ke缺que少shao。

3.2整流部分保護
對於大功率電壓型逆變器,為了改善進線電流波形,一般在直流母線上串有濾波電感,如圖5所(suo)示(shi)。由(you)於(yu)電(dian)感(gan)的(de)存(cun)在(zai),當(dang)逆(ni)變(bian)電(dian)路(lu)一(yi)旦(dan)停(ting)止(zhi)工(gong)作(zuo),如(ru)果(guo)整(zheng)流(liu)電(dian)路(lu)仍(reng)處(chu)在(zai)整(zheng)流(liu)狀(zhuang)態(tai),則(ze)電(dian)感(gan)中(zhong)的(de)能(neng)量(liang)將(jiang)向(xiang)電(dian)容(rong)釋(shi)放(fang),在(zai)逆(ni)變(bian)保(bao)護(hu)動(dong)作(zuo)瞬(shun)間(jian)電(dian)容(rong)將(jiang)承(cheng)受(shou)一(yi)個(ge)很(hen)高(gao)的(de)過(guo)衝(chong)電(dian)壓(ya),若(ruo)不(bu)采(cai)取(qu)措(cuo)施(shi),可(ke)能(neng)會(hui)直(zhi)接(jie)導(dao)致(zhi)電(dian)容(rong)過(guo)壓(ya)損(sun)壞(huai)。尤(you)其(qi)在(zai)負(fu)載(zai)電(dian)流(liu)很(hen)高(gao),L中儲能很大時,更加危險。

假設逆變關斷時濾波電感中的電流全部從電容C中流過,同時整流器繼續輸出電壓Ud。圖6給出了等效電路,L與C串聯諧振,由於整流橋電流隻能單向流通,所以振蕩到T/4時結束。


可見在諧振到1/4周期時,電容上的電壓達到最大值,之後諧振停止。

電容上最後電壓與母線電流,電感及電容有關。在我們試驗用的10kW樣機中,直流母線電壓200V時讓逆變瞬間在保護信號下關斷,母線電壓突然上升到近450V。針對此種現象,采用在保護動作的同時將整流電路拉到逆變工作狀態(觸發角α拉到約150°),使濾波電感中的能量大部分回饋到電網。
在實際應用中,由於驅動電路的故障導致上下橋臂IGBT直通的可能性很小。鑒於此,也可以采用單一的整流部分拉逆變的保護方法。對於像負載過流或短路,都能在IGBT允許的短路電流時間內將整個裝置的工作停下來。這種保護方法並不直接針對IGBT,而是將前級整流輸入關斷,故障時IGBT仍處於工作狀態。這屬於“軟保護”,對IGBT沒有應力衝擊,同時也可以避免在大電流下瞬間關斷可能導致IGBT超出關斷安全工作區而處於擎住狀態。
4實驗結果
這種保護方案已成功地應用於大功率高頻高壓電壓型串聯諧振逆變器中,中壓輸出經升壓變壓器升到6kV,用於材料電暈處理。樣機輸出功率約10kW。由於負載是高壓電暈處理器,升壓變壓器內部容易發生原、fubianjichuanxianxiang。shiyanzhongfaxian,bulunduiyufuzaiduanlu,bianyaqijichuanyinqideguoliu,haishishurudianyaguogaoyinqideguoliudounenghenhaodibaohunibianqibushousunhuai。
5結論
IGBT是逆變器中最容易損壞的部分,特別是對於電壓型可控整流電路。在對IGBT直zhi通tong保bao護hu時shi還hai要yao考kao慮lv到dao關guan斷duan逆ni變bian器qi對dui前qian級ji電dian路lu的de影ying響xiang。本ben文wen所suo介jie紹shao的de整zheng流liu逆ni變bian同tong時shi保bao護hu的de方fang案an可ke以yi可ke靠kao保bao護hu整zheng個ge逆ni變bian器qi,並bing在zai實shi踐jian中zhong取qu得de了le良liang好hao的de效xiao果guo。
參考文獻
[1]RahulS.Chokhawala,JamieCatt,LaszloKiraly.AdiscussiononIGBT shortcircuitbehaviorandfaultprotectionschemes.IEEETransactionson applications,1995,31(2).
[2]張立,黃兩一.電力電子場控器件及其應用.北 京,機械工業出版社.
特別推薦
- 噪聲中提取真值!瑞盟科技推出MSA2240電流檢測芯片賦能多元高端測量場景
- 10MHz高頻運行!氮矽科技發布集成驅動GaN芯片,助力電源能效再攀新高
- 失真度僅0.002%!力芯微推出超低內阻、超低失真4PST模擬開關
- 一“芯”雙電!聖邦微電子發布雙輸出電源芯片,簡化AFE與音頻設計
- 一機適配萬端:金升陽推出1200W可編程電源,賦能高端裝備製造
技術文章更多>>
- 邊緣AI的發展為更智能、更可持續的技術鋪平道路
- 每台智能體PC,都是AI時代的新入口
- IAR作為Qt Group獨立BU攜兩項重磅汽車電子應用開發方案首秀北京車展
- 構建具有網絡彈性的嵌入式係統:來自行業領袖的洞見
- 數字化的線性穩壓器
技術白皮書下載更多>>
- 車規與基於V2X的車輛協同主動避撞技術展望
- 數字隔離助力新能源汽車安全隔離的新挑戰
- 汽車模塊拋負載的解決方案
- 車用連接器的安全創新應用
- Melexis Actuators Business Unit
- Position / Current Sensors - Triaxis Hall
熱門搜索
SATA連接器
SD連接器
SII
SIM卡連接器
SMT設備
SMU
SOC
SPANSION
SRAM
SSD
ST
ST-ERICSSON
Sunlord
SynQor
s端子線
Taiyo Yuden
TDK-EPC
TD-SCDMA功放
TD-SCDMA基帶
TE
Tektronix
Thunderbolt
TI
TOREX
TTI
TVS
UPS電源
USB3.0
USB 3.0主控芯片
USB傳輸速度




