寬帶射頻功率放大器的匹配電路設計
發布時間:2014-09-11 責任編輯:mrcoocom
【導讀】本(ben)文(wen)介(jie)紹(shao)了(le)一(yi)種(zhong)分(fen)析(xi)同(tong)軸(zhou)線(xian)變(bian)換(huan)器(qi)的(de)新(xin)方(fang)法(fa),建(jian)立(li)了(le)理(li)想(xiang)與(yu)通(tong)用(yong)模(mo)型(xing),降(jiang)低(di)了(le)分(fen)析(xi)難(nan)度(du)和(he)簡(jian)化(hua)了(le)分(fen)析(xi)過(guo)程(cheng)。通(tong)過(guo)研(yan)究(jiu)分(fen)析(xi),提(ti)出(chu)了(le)一(yi)種(zhong)同(tong)軸(zhou)變(bian)換(huan)器(qi)與(yu)集(ji)總(zong)元(yuan)件(jian)相(xiang)結(jie)合(he)的(de)匹(pi)配(pei)電(dian)路(lu)設(she)計(ji)方(fang)法(fa),通(tong)過(guo)優(you)化(hua)同(tong)軸(zhou)線(xian)和(he)集(ji)總(zong)元(yuan)件(jian)的(de)參(can)數(shu),實(shi)現(xian)放(fang)大(da)器(qi)的(de)最(zui)佳(jia)性(xing)能(neng)。利(li)用(yong)該(gai)方(fang)法(fa)設(she)計(ji)了(le)一(yi)款(kuan)應(ying)用(yong)於(yu)推(tui)挽(wan)式(shi)功(gong)率(lv)放(fang)大(da)電(dian)路(lu)的(de)匹(pi)配(pei)電(dian)路(lu),仿(fang)真(zhen)結(jie)果(guo)表(biao)明(ming),匹(pi)配(pei)效(xiao)率(lv)高(gao)達(da)99.93%.
阻抗變換器和阻抗匹配網絡已經成為射頻電路以及最大功率傳輸係統中的基本部件。為了使寬帶射 頻功率放大器的輸入、shuchudadaozuijiadegonglvpipei,pipeidianludeshejichengweishepingonglvfangdaqidezhongyaorenwu。yaoshixiankuandaineidezuidagonglvchuanshu,pipeidianlushejifeichangkunnan。benwenshe 計的同軸變換器電路就能實現高效率的電路匹配。同軸變換器具有功率容量大、頻帶寬和屏蔽好的特性,廣泛應用於VHF/UHF波段。常見的同軸變換器有 1:4和1:9阻抗變換,如圖1所示。但是實際應用中,線阻抗與負載不匹配時,它們的阻抗變換不再簡單看作1:4或1:9.本文通過建立模型,提出一種簡 化分析方法。

1 同軸變換器模型
同軸變換器有三個重要參數:阻抗變換比、特征阻抗和電長度。這裏用電長度是為了分析方便。當同軸線的介質和長度一定時,電長度就是頻率的函數,可以不必考慮頻率。
1.1理想模型
理想的1:4變換器的輸入、輸出阻抗都匹配,每根同軸線的輸入、輸出阻抗等於其特征阻抗Z0,其等效模型如圖2所示。

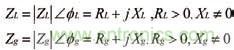
其源阻抗Zg與ZL負載阻抗變換比為:

同軸變換器的輸入阻抗等於同軸線的輸入阻抗並聯,輸出阻抗等於同軸線的輸出阻抗串聯。
1.2通用模型
youyutezhengzukangshishishu,eryuanzukangyufuzaizukangyibandoushifushu,suoyi,jiubunengjiandandeyongbianhuanbilaijisuan。zukangpipeijiushishuruzukangdengyuyuanzukangdegonge,shixiangonglvdezuidachuanshu。tezhengzukangweiZ0,電長度為E的無耗同軸線接複阻抗的電路如圖3所示。

由於源阻抗與同軸線特征不匹配,電路的反射係數就不是負載反射係數。
由於同軸線是無耗的,進入同軸線的功率就等於負載消耗的功率。那就可以把電路簡化隻有一個負載Zin,又因為Zg與Zin都是複數且串聯,就可以把Zg中的虛部等效到Zin中,最後得到反射係數為:
當反射係數為零時,功率可以無反射的傳輸,這時阻抗實現完全匹配。
由公式(2),反射係數為零可以等效為分子為零,即:

其中:

當E為90o時,可得:
由於特征阻抗為實數,ZLZg*為實數時,方程才有解或才能完全匹配。當ZL和Zg為實數時,就是常用的λ/4阻抗變換。
當E不等於900,利用實部與虛部都等於零得方程組:

整理化簡得:

公式(3)說明,不是任意兩個複阻抗都可以完全匹配,必須滿足特征阻抗為正實數;可以並聯或串聯電抗元件,使兩個不可能完全匹配的複阻抗完全匹配。
通用模型是結合理想模型和同軸線分析建立,如圖4所示。把1:N同軸變換器等效一根同軸線,利用同軸線的分析結果,更容易獲得特征阻抗和電長度參數。

2 寬帶匹配電路的設計
通過對同軸變換器的分析,可以通過調諧特征阻抗和電長度完成阻抗匹配。
但dan是shi實shi際ji同tong軸zhou線xian的de特te征zheng阻zu抗kang是shi有you一yi定ding規gui格ge的de,不bu是shi任ren意yi的de,而er且qie電dian長chang度du又you是shi隨sui頻pin率lv變bian化hua的de,所suo以yi采cai用yong同tong軸zhou變bian換huan器qi和he集ji總zong元yuan件jian聯lian合he實shi現xian寬kuan帶dai匹pi配pei的de方fang式shi。
2.1.集總元件匹配電路
複阻抗可以用電阻與電抗串聯表示,也可以用電阻與電抗並聯表示,這兩種表示的等效電路如圖5所示。

它們都是指同一個複數,其轉換關係為:

公式4表明,電阻並聯電抗可以減小其複阻抗的實部,再串聯電抗抵消其虛部,就可以實現Rp到RS阻抗匹配。所需的電抗值可以通過表達式4計算,且Xp與XS取不同性質的元件,如果Xp用電容,XS就用電感。
集總元件實現阻抗匹配原理:電阻並聯電抗減小其實部,再串聯電抗抵消其虛部,達到兩個純電路的匹配;當匹配的不是純電阻時,可以采用抵消和吸納虛部的方法實現複阻抗的匹配。
2.2聯合匹配電路
以Freescale公司MRF6VP2600推挽式MOSFET管的匹配電路設計為例,首先確定匹配電路的基本結構和同軸變換器的阻抗變換,然後 再確定特征阻抗、電長度和集總參數。由於輸入匹配電路設計與輸出匹配電路類似,下麵詳細研究輸出匹配電路設計。MRF6VP2600的DATASHEET 給的源極-源極的輸出阻抗如圖6所示。

圖6 MRF6VP2600的輸入-輸出阻抗
輸出匹配電路中,由於功率管采用推挽式工作,所以在輸出端加入1:1巴倫實現不平衡-平衡變換。利用通用模型,下麵的工作就簡化為同軸線與集總參數的匹配電路設計。同軸線的特征阻抗和電長度計算公式為:
公式5表明,電長度與頻率呈線性關係,且其長度越短,電長度受頻率的影響越小。
2.3仿真驗證
利用安捷倫公司的ADS工具進行輸出匹配電路設計與仿真,一般可采用大信號Scanshufangzhenhexiebofangzhen,youyubenwenshejiyongyutuiwanshigongzuodepipeidianlu,suoyixuanyonggengzhiguandexiebopinghengfangzhen。liyongtongzhouxianhebalundemoxingjinxingfangzhendedianlurutu7所示。

圖7 仿真原理圖
由於圖7的(de)負(fu)載(zai)阻(zu)抗(kang)的(de)實(shi)部(bu)是(shi)隨(sui)頻(pin)率(lv)增(zeng)減(jian)而(er)減(jian)少(shao),所(suo)以(yi)在(zai)同(tong)軸(zhou)變(bian)換(huan)器(qi)的(de)兩(liang)端(duan)並(bing)聯(lian)電(dian)容(rong)。可(ke)以(yi)很(hen)容(rong)易(yi)對(dui)電(dian)路(lu)進(jin)行(xing)手(shou)動(dong)調(tiao)諧(xie)和(he)自(zi)動(dong)優(you)化(hua),最(zui)後(hou)的(de)仿(fang)真(zhen)結(jie)果(guo)如(ru)圖(tu)8所示。

圖8 (87.5-108)Mhz匹配阻抗
由圖6,圖8可以得到各頻點的反射係數;再根據反射係數與頻率的關係,可以求得匹配電路在工作頻帶的反射係數;最後根據匹配效率與反射係數的關係,求得匹配電路的匹配效率。具體結果見表1。
表1 反射係數與匹配效率的計算結果


從表1可以得到,匹配電路的在工作頻段內匹配效率達99.93%,實現了較好的匹配。
3總結
本ben文wen建jian立li同tong軸zhou變bian換huan器qi的de理li想xiang模mo型xing和he通tong用yong模mo型xing,提ti出chu一yi種zhong新xin穎ying的de和he簡jian單dan的de分fen析xi方fang法fa。通tong過guo分fen析xi,同tong軸zhou線xian的de特te征zheng阻zu抗kang和he電dian長chang度du對dui匹pi配pei電dian路lu的de性xing能neng有you很hen大da影ying響xiang。設she計ji了le一yi款kuan推tui挽wan式shiMOSFET管的輸出匹配電路,仿真結果表明:匹配效率達99.93%.
本文作者:宮為保 來源:《廣播電視信息》
尊重版權,擴大好文影響力
特別推薦
- 噪聲中提取真值!瑞盟科技推出MSA2240電流檢測芯片賦能多元高端測量場景
- 10MHz高頻運行!氮矽科技發布集成驅動GaN芯片,助力電源能效再攀新高
- 失真度僅0.002%!力芯微推出超低內阻、超低失真4PST模擬開關
- 一“芯”雙電!聖邦微電子發布雙輸出電源芯片,簡化AFE與音頻設計
- 一機適配萬端:金升陽推出1200W可編程電源,賦能高端裝備製造
技術文章更多>>
- 一秒檢測,成本降至萬分之一,光引科技把幾十萬的台式光譜儀“搬”到了手腕上
- AI服務器電源機櫃Power Rack HVDC MW級測試方案
- 突破工藝邊界,奎芯科技LPDDR5X IP矽驗證通過,速率達9600Mbps
- 通過直接、準確、自動測量超低範圍的氯殘留來推動反滲透膜保護
- 從技術研發到規模量產:恩智浦第三代成像雷達平台,賦能下一代自動駕駛!
技術白皮書下載更多>>
- 車規與基於V2X的車輛協同主動避撞技術展望
- 數字隔離助力新能源汽車安全隔離的新挑戰
- 汽車模塊拋負載的解決方案
- 車用連接器的安全創新應用
- Melexis Actuators Business Unit
- Position / Current Sensors - Triaxis Hall
熱門搜索
按鈕開關
白色家電
保護器件
保險絲管
北鬥定位
北高智
貝能科技
背板連接器
背光器件
編碼器型號
便攜產品
便攜醫療
變容二極管
變壓器
檳城電子
並網
撥動開關
玻璃釉電容
剝線機
薄膜電容
薄膜電阻
薄膜開關
捕魚器
步進電機
測力傳感器
測試測量
測試設備
拆解
場效應管
超霸科技





