非常詳盡!通用型有源濾波器原理分析
發布時間:2018-11-30 責任編輯:xueqi
從數學原理上來說,通用型有源濾波器可以用如下的係統框圖來表示。
圖1:典型的二階係統的信號流圖
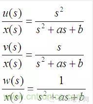
上麵是一個典型的二階係統的信號流圖,利用Mason 公式可以很容易的得到係統各個通路的傳遞函數:

上麵三個式子分別對應高通、帶通和低通濾波器,如果將u、v、w三路信號加權疊加則可以組成任意的二階係統。
二階係統傳遞函數的分母多項式的標準形式為:

經比較可知,大環路增益b決定二階係統的固有頻率,小環路的增益a決定係統的阻尼係數,也就是決定係統的品質因數Q。
狀態變量濾波器
狀態變量濾波器也被稱為KHN 濾波器,屬於通用型有源濾波器的一種實現形式,由Kerwin、Huelsman’Newcomb與1967年提出的。電路的基本形式如下。

圖2:反向輸入型KHN 濾波器

轉換為信號流圖後如下圖所示。
其中:

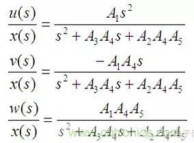
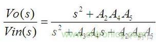
列寫係統各個通路的傳遞函數如下:

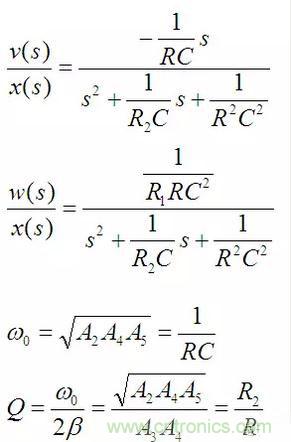
將(3)帶入(4)後經整理可得:

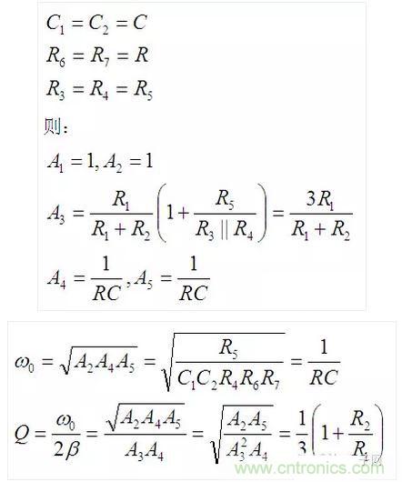
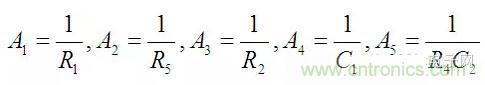
如果對電阻電容的值做一些限製,公式會變得更簡單。設:

可以看出品質因數Q隻依賴於R1與R2的比值。而固有頻率隻與RC的乘積有關。

正向輸入型的KHN濾波器如下圖所示:

圖3:正向輸入型的KHN濾波器
對應的信號流圖如下:

從信號流圖上看,僅僅是x(s) 到 u(s) 之間的增益從 -A1 變為 A1,其他的地方完全相同。但是由於R3從運放的負輸入端移動到了正輸入端,所以A1和A3的值發生了很大的變化。

列寫係統各個通路的傳遞函數如下:

由於A2、A4和A5都沒有變化,所以係統的固有頻率沒有變:

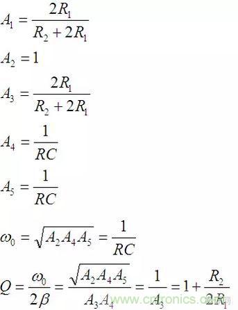
如果還是做一些限製:

則可以簡化為:

正(zheng)向(xiang)輸(shu)入(ru)型(xing)和(he)反(fan)向(xiang)輸(shu)入(ru)型(xing)最(zui)大(da)的(de)區(qu)別(bie)在(zai)於(yu)通(tong)頻(pin)帶(dai)的(de)增(zeng)益(yi)。下(xia)麵(mian)給(gei)出(chu)低(di)通(tong)濾(lv)波(bo)器(qi)時(shi)的(de)幅(fu)頻(pin)特(te)性(xing)曲(qu)線(xian)。兩(liang)邊(bian)的(de)曲(qu)線(xian)一(yi)對(dui)比(bi)他(ta)們(men)的(de)區(qu)別(bie)就(jiu)一(yi)目(mu)了(le)然(ran)了(le)。

Tow-Thomas 型二階濾波器
另一種類似的電路形式稱之為 Tow-Thomas 型濾波器。它的基本電路形式如下,其中R3=R6構成一個反向器。

圖5:Tow-Thomas 型濾波器
信號流圖與正向輸入型KHN濾波器完全相同。需要說明的是u(s)是電流信號,表示的是流過C1的電流的大小。

但是A1到A5的表達式卻變得簡單的多。

列寫係統各個通路的傳遞函數也與正向輸入型KHN濾波器完全相同,這裏重複如下:

由於u(s)是電流信號,無法直接引出使用,因此也就沒有列出來。將(16)帶入(17)後可得:

品質因數和固有頻率計算如下:

則可以化簡為:

原始信號減去帶通信號就稱為帶阻信號了,因此再增加一個運放就可以實現帶阻型濾波器。

圖6:Tow-Thomas 帶阻型濾波器
這個電路的要點是R1=R2,這樣才能保證原始信號與帶通信號的幅度相同。也就是說要求A1=A3。

簡單的說,這種辦法生成的帶阻濾波器其實就是在虛軸上對應位置添加了零點。

圖7:Tow-Thomas 帶阻型濾波器的零、極點分布
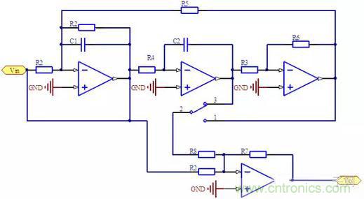
帶阻信號如果再與低通信號相加,就能夠組成低通帶阻型或高通帶阻型。下麵是電路原理圖。

圖8:Tow-Thomas (高通/低通)帶阻型濾波器
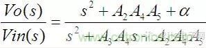
單刀雙擲開關打到3的位置時對應低通帶阻濾波器,打到2的位置時對應高通帶阻濾波器。原理可以這樣分析。首先,傳遞函數可以寫為如下形式:

單刀雙擲開關打到3的位置時α的值為正,打到2的位置時α的值為負。α 值的變化對應的是係統零點的移動。α大於0 相當於零點互相遠離。

圖9:Tow-Thomas (高通/低通)帶阻型濾波器的零、極點分布
(高通/低通)帶阻型濾波器的典型頻響如下麵兩幅圖所示。

圖10:低通帶阻型濾波器的幅頻響應

圖11:高通帶阻型濾波器的幅頻響應
- 噪聲中提取真值!瑞盟科技推出MSA2240電流檢測芯片賦能多元高端測量場景
- 10MHz高頻運行!氮矽科技發布集成驅動GaN芯片,助力電源能效再攀新高
- 失真度僅0.002%!力芯微推出超低內阻、超低失真4PST模擬開關
- 一“芯”雙電!聖邦微電子發布雙輸出電源芯片,簡化AFE與音頻設計
- 一機適配萬端:金升陽推出1200W可編程電源,賦能高端裝備製造
- 邊緣AI的發展為更智能、更可持續的技術鋪平道路
- 每台智能體PC,都是AI時代的新入口
- IAR作為Qt Group獨立BU攜兩項重磅汽車電子應用開發方案首秀北京車展
- 構建具有網絡彈性的嵌入式係統:來自行業領袖的洞見
- 數字化的線性穩壓器
- 車規與基於V2X的車輛協同主動避撞技術展望
- 數字隔離助力新能源汽車安全隔離的新挑戰
- 汽車模塊拋負載的解決方案
- 車用連接器的安全創新應用
- Melexis Actuators Business Unit
- Position / Current Sensors - Triaxis Hall



