幾種電路分析的高效法
發布時間:2020-01-22 責任編輯:xueqi
【導讀】對電路進行分析的方法很多,如疊加定理、支路分析法、網孔分析法、結點分析法、戴(dai)維(wei)南(nan)和(he)諾(nuo)頓(dun)定(ding)理(li)等(deng)。根(gen)據(ju)具(ju)體(ti)電(dian)路(lu)及(ji)相(xiang)關(guan)條(tiao)件(jian)靈(ling)活(huo)運(yun)用(yong)這(zhe)些(xie)方(fang)法(fa),對(dui)基(ji)本(ben)電(dian)路(lu)的(de)分(fen)析(xi)有(you)重(zhong)要(yao)的(de)意(yi)義(yi)。現(xian)就(jiu)具(ju)體(ti)電(dian)路(lu)采(cai)用(yong)不(bu)同(tong)方(fang)法(fa)進(jin)行(xing)如(ru)下(xia)比(bi)較(jiao)。
01支路電流法
支路電流法是以支路電流為待求量,利用基爾霍夫兩定律列出電路的方程式,從而解出支路電流的一種方法。
一支路電流分析步驟
1) 假定各支路電流的參考方向,對選定的回路標出回路繞行方向。若有n個節點,根據基爾霍夫電流定律列(n一1)個獨立的節點電流方程。
2) 若有m條支路,根據基爾霍夫電壓定律列(m-n+1)個的獨立回路電壓方程。為了計算方便,通常選網孔作為回路(網孔就是平麵電路內不再存在其他支路的回路)。對於平麵電路,獨立的基爾霍夫電壓方程數等於網孔數。
3) 解方程組,求出支路電流。

【例1】如上圖所示電路是汽車上的發電機(US1)、蓄電池(US2)和負載(R3)並聯的原理圖。已知US1=12V,US2=6V,R1=R2=1Ω,R3=5Ω,求各支路電流。
分析:支路數m=3;節點數n=2;網孔數=2。各支路電流的參考方向如圖,回路繞行方向順時針。電路三條支路,需要求解三個電流未知數,因此需要三個方程式。
解:根據KCL,列節點電流方程(列(n-1)個獨立方程):
a節點:I1+I2=I3
根據KVL,列回路電壓方程:
網孔1:I1R1-I2R2=Us1- Us2
網孔2:I2R2+I3R3=Us2
解得:I1=3.8A I2=-2.2A I3=1.6A
02疊加定理
在線性電路中,所有獨立電源共同作用產生的響應(電壓或電流),等於各個電源單獨作用所產生的響應的疊加。
在應用疊加定理時,應注意以下幾點:
1) 在考慮某一電源單獨作用時,要假設其它獨立電源為零值。電壓源用短路替代,電動勢為零;電流源開路,電流為零。但是電源有內阻的則都應保留在原處。其它元件的聯結方式不變。
2) 在zai考kao慮lv某mou一yi電dian源yuan單dan獨du作zuo用yong時shi,其qi參can考kao方fang向xiang應ying選xuan擇ze與yu原yuan電dian路lu中zhong對dui應ying響xiang應ying的de參can考kao方fang向xiang相xiang同tong,在zai疊die加jia時shi用yong響xiang應ying的de代dai數shu值zhi代dai入ru。或huo以yi原yuan電dian路lu中zhong電dian壓ya和he電dian流liu的de參can考kao方fang向xiang為wei準zhun,分fen電dian壓ya和he分fen電dian流liu的de參can考kao方fang向xiang與yu其qi一yi致zhi時shi取qu正zheng號hao,不bu一yi致zhi時shi取qu負fu號hao。
3) 疊加定理隻能用於計算線性電路的電壓和電流,而不能計算功率等與電壓或電流之間不是線性關係的參數。
4) 受控源不屬於獨立電源,必須全部保留在各自的支路中。
【例2】在如下電路中,用疊加定理求電路中的電流I3。
解:根據疊加定理可把圖a中的電路圖看成圖b和圖c中電路的疊加

(1)us1單獨作用

(2)us2單獨作用

(3)有疊加定理可得

03網孔分析法
網孔電流為待求變量,按KVL建立方程求解電路的方法稱為網孔分析法。其網孔電流方程也稱為網孔方程。
在應用網孔分析法應注意以下幾點:
1) 根據網孔自電阻、互電阻、等效電壓源的含義和計算方法,可以直接列寫網孔分析方程的最終形式,稱為視察法。
2) 對含受控電壓源的電路,先將受控源視為獨立電源,依照視察法的規律列寫網孔方程,然後將受控源的控製量用網孔電流表示出來。
【例3】如圖所示電路列寫網孔方程。

解:假定網孔電流分別在網孔1、2、3中流動,網孔電流的參考方向如圖所示。
解:以支路電流為變量,列寫各網孔的KVL方程為

為得到以網孔電流為未知變量的電路方程,用網孔電流表示各支路電流,即有:

將上述各式代入KVL方程,可得網孔電流方程

即為該電路的網孔方程,顯然,由此三個方程,可求解網孔電流。
04結點分析法
在有n個(ge)結(jie)點(dian)的(de)電(dian)路(lu)中(zhong),任(ren)選(xuan)一(yi)個(ge)結(jie)點(dian)為(wei)參(can)考(kao)結(jie)點(dian),其(qi)餘(yu)各(ge)結(jie)點(dian)至(zhi)參(can)考(kao)結(jie)點(dian)的(de)電(dian)壓(ya)稱(cheng)為(wei)該(gai)結(jie)點(dian)的(de)結(jie)點(dian)電(dian)位(wei)。以(yi)結(jie)點(dian)電(dian)位(wei)為(wei)待(dai)求(qiu)變(bian)量(liang),將(jiang)各(ge)支(zhi)路(lu)電(dian)流(liu)用(yong)結(jie)點(dian)電(dian)位(wei)表(biao)示(shi),列(lie)寫(xie)除(chu)了(le)參(can)考(kao)結(jie)點(dian)以(yi)外(wai)其(qi)他(ta)所(suo)有(you)結(jie)點(dian)的(de)KCL方程,求得結點電位後再確定其他變量的電路分析方法,稱為結點分析法。
結點分析方程的列寫步驟:
1) 選取參考結點,假定其餘n-1個獨立結點的結點電位;
2) 列寫n-1個獨立結點的KCL方程,方程中的各支路電流用結點電位表示;
3) 求解方程,得到結點電位;
4) 通過結點電位確定其他變量。
【例4】對如圖所示電路列寫結點方程。

解:設結點④為參考結點,並令獨立結點①、②、③電壓分別設為。分別列寫結點①、②、③的KCL方程如下。

為得到以結點電位為未知變量的電路方程,用結點電位表示各支路電流,即有:

將上述各式代入KCL方程,得到結點方程整理整理得:

05戴維寧定理與諾頓定理
daiweiningdingliyunuodundinglichangyonglaihuodeyigefuzawangluodezuijiandandengxiaodianlu,tebieshiyongyujisuanmouyitiaozhiludedianyahuodianliu,huozhefenximouyigeyuanjiancanshubiandongduigaiyuanjiansuozaizhiludedianyahuodianliudeyingxiangdengqingkuang。
應用的一般步驟:
1) 把代求支路以外的電路作為有源一端口網絡;
2) 考慮戴維寧等效電路時,計算該有源一端口網絡的開路電壓
3) 考慮諾頓等效電路時,計算該有源一端口網絡的短路電流isc;
4) 計算有源一端口網絡的入端電阻 Req;
5) 將戴維寧或諾頓等效電路代替原有源一端口網絡,然後求解電路。
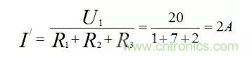
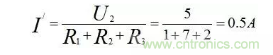
【例5】如圖所示電路的電流I=2A,試確定電阻R的值。

解:先確定電阻R以外電路的戴維寧等效電路,如圖(b)所示,再由電流I=2A確定阻2R。
選擇直接計算圖a的和。根據疊加定理,R斷開時

(電流源單獨作用U''ab+U''''ab電壓源單獨用)將獨立電源置零,不難得到等效電阻。

由圖(b)得

因此:

各種方法比較:
yishangtongguojigelizishuomingledianlufenxifangfadehelixuanze。youxiewenti,xuyaojizhongfangfazongheyingyong,zhelibuzaijuli。zongzhi,jietifangfaxuanzededang,keyishijietiguochengjianjie,tigaojietixiaolv。meizhongdianludefenxifangfa,yibandouyouqishiyongfanwei。yingyonghuofudinglvqiujieshiyongyuqiuduozhiludedianliu,dandianlubunengtaifuza;電源法等效變換法適用於電源較多的電路;節點電位法適用於支路多、節點少的電路;網孔分析法使適用於支路多、節點多、但網孔少的電路;戴dai維wei南nan定ding理li和he迭die加jia定ding理li適shi用yong於yu求qiu某mou一yi支zhi路lu的de電dian流liu或huo某mou段duan電dian路lu兩liang端duan電dian壓ya。上shang麵mian例li題ti的de電dian路lu比bi較jiao簡jian單dan,可ke選xuan擇ze任ren意yi一yi種zhong方fang法fa求qiu解jie,對dui於yu一yi些xie比bi較jiao複fu雜za但dan有you一yi定ding特te點dian的de電dian路lu,必bi須xu選xuan擇ze合he適shi的de方fang法fa,才cai能neng使shi解jie題ti過guo程cheng簡jian單dan,容rong易yi正zheng確que求qiu解jie。
1) diejiadinglijinshiyongyuxianxingdianlu,yingyongdiejiadinglifenxihanshoukongyuandianlushi,tongchangbubashoukongyuandanduzuoyongyudianlu,erbashoukongyuanzuoweidianzuyuanjianyiyangduidai。dangmouyidulidianyuandanduzuoyongyudianlushi,shoukongyuanbaoliuzaidianluzhong。diejiashiyingzhuyigexiangyingfenliangdecankaofangxiangyuyuanlaidexiangyingbianliangfangxiangshifouyizhi,fangxiangyizhizexiangyingfenliangqianyingqu“+”號,不一致則響應分量前應取“-”號。疊加定理不可濫用,通常用於電源單獨作用時電路容易求解的情況,也常用於電路結構或者參數不詳的情況。
2) 對dui於yu支zhi路lu電dian流liu法fa,方fang程cheng數shu等deng於yu支zhi路lu數shu,利li用yong計ji算suan機ji易yi於yu求qiu解jie,但dan如ru果guo未wei知zhi量liang較jiao少shao,如ru三san個ge時shi,無wu論lun代dai入ru消xiao元yuan法fa或huo行xing列lie式shi法fa,計ji算suan量liang都dou太tai大da。如ru果guo減jian少shao未wei知zhi量liang,則ze方fang程cheng數shu減jian少shao。包bao括kuo網wang孔kong電dian流liu法fa、回路電流法、節點電壓法多事減少未知量,減少方程而提出的。
3) 結點分析法的實質結點分析法的實質是以結點電位為待求變量,列寫n-1個獨立的KCLfangcheng,duijiedianshushaodedianluyouweishiyong。yidanxuandinglecankaojiedian,zeqiyujiedianxiangduiyucankaojiediandedianyajiweijiediandianwei,weizhiliangfeichangrongyiqueren,yincizaidianlujisuanjifuzhufenxizhongduocaiyongjiedianfenxifa。
4) daiweiningyunuodundinglichangyongyijianhuayigefuzawangluo,tebieshiyongyujisuanmouyitiaozhiludedianyahuodianliu,huozhefenximouyigeyuanjiancanshubiandongduisuozaizhiludeyingxiangdengqingkuang。yingyongbuzhou:把待求支路以外的電路作為有源一端口網絡,計算該網絡的開路電壓、短路電流、輸入端電阻3個參數中的任意兩個。
5) 在線性電路中,所有獨立電源共同作用產生的響應(電壓或電流),等於各個電源單獨作用所產生的響應的疊加。
特別推薦
- 噪聲中提取真值!瑞盟科技推出MSA2240電流檢測芯片賦能多元高端測量場景
- 10MHz高頻運行!氮矽科技發布集成驅動GaN芯片,助力電源能效再攀新高
- 失真度僅0.002%!力芯微推出超低內阻、超低失真4PST模擬開關
- 一“芯”雙電!聖邦微電子發布雙輸出電源芯片,簡化AFE與音頻設計
- 一機適配萬端:金升陽推出1200W可編程電源,賦能高端裝備製造
技術文章更多>>
- 三星上演罕見對峙:工會集會討薪,股東隔街抗議
- 摩爾線程實現DeepSeek-V4“Day-0”支持,國產GPU適配再提速
- 築牢安全防線:智能駕駛邁向規模化應用的關鍵挑戰與破局之道
- GPT-Image 2:99%文字準確率,AI生圖告別“鬼畫符”
- 機器人馬拉鬆的勝負手:藏在主板角落裏的“時鍾戰爭”
技術白皮書下載更多>>
- 車規與基於V2X的車輛協同主動避撞技術展望
- 數字隔離助力新能源汽車安全隔離的新挑戰
- 汽車模塊拋負載的解決方案
- 車用連接器的安全創新應用
- Melexis Actuators Business Unit
- Position / Current Sensors - Triaxis Hall
熱門搜索
Tektronix
Thunderbolt
TI
TOREX
TTI
TVS
UPS電源
USB3.0
USB 3.0主控芯片
USB傳輸速度
usb存儲器
USB連接器
VGA連接器
Vishay
WCDMA功放
WCDMA基帶
Wi-Fi
Wi-Fi芯片
window8
WPG
XILINX
Zigbee
ZigBee Pro
安規電容
按鈕開關
白色家電
保護器件
保險絲管
北鬥定位
北高智

