儀表放大器噪聲
發布時間:2020-05-25 責任編輯:wenwei
【導讀】由於儀表放大器主要用於放大微小精密信號,因此,有必要了解所有相關噪聲源的效應。儀表放大器模型如下麵圖1所示。

輸入電壓噪聲有兩個來源。第一個來源表示為與輸入端串聯的噪聲源VNI,就如常規運算放大器電路中一樣。該噪聲由儀表放大器增益G反映到輸出端。第二個噪聲源是輸出噪聲VNO,表示為與儀表放大器輸出端串聯的噪聲電壓。輸出噪聲(此處表示為VOUT)可以通過除以增益G,從而折合到輸入端。
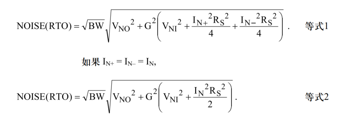
與輸入噪聲電流IN+和IN–關聯的噪聲源也有兩個。盡管IN+和IN–通常相等(IN+ ≈ IN– = IN),但它們卻不相關,因此,二者所產生的噪聲必須以和方根(RSS)的方式求和。IN+流過RS的一半,IN–流過另一半。結果會產生兩個噪聲電壓,其幅度各為INRS/2。這兩個噪聲源分別由儀表放大器增益G反映到輸出端。
總輸出噪聲是通過和方根形式對全部四個噪聲源求和的方式算出的。

要求總噪聲(折合到輸入端(RTI)),隻需將上述表達式除以儀表放大器增益G即可。

儀表放大器數據手冊通常會把總電壓噪聲RTI表示為增益的函數。噪聲頻譜密度同時包括輸入(VNI)和輸出(VNO)噪聲貢獻。輸入電流噪聲頻譜密度分開規定。
就如在運算放大器中一樣,必須將總儀表放大器噪聲RTIzaishiyongyibiaofangdaqibihuandaikuanneijinxingjifen,congersuanchuyigehefanggenzhi。daikuankeyigenjushujushoucedianxingqueding,qizhongjiangpinlvxiangyingbiaoshiweizengyidehanshu。
對於該帶寬,計算時務必小心,因為其通常不是恒定帶寬積關係(如VFB運算放大器即是如此)。對於AD620儀表放大器係列,增益帶寬模式更像一個CFB運算放大器。在這種情況下,預測給定增益下帶寬最安全的做法是使用數據手冊中提供的曲線。
參考文獻
1. Hank Zumbahlen, Basic Linear Design, Analog Devices, 2006, ISBN:0-915550-28-1.另見Linear Circuit Design Handbook, Elsevier-Newnes, 2008, ISBN-10:0750687037, ISBN-13:978-0750687034。Chapter 2.
2. Walter G. Jung, Op Amp Applications, Analog Devices, 2002, ISBN 0-916550-26-5, 另見Op Amp Applications Handbook, Elsevier/Newnes, 2005, ISBN 0-7506-7844-5.Chapter 2.
3. Charles Kitchin and Lew Counts, A Designer''''''''s Guide to Instrumentation Amplifiers, 3rd Edition, Analog Devices, 2006.
推薦閱讀:
特別推薦
- 噪聲中提取真值!瑞盟科技推出MSA2240電流檢測芯片賦能多元高端測量場景
- 10MHz高頻運行!氮矽科技發布集成驅動GaN芯片,助力電源能效再攀新高
- 失真度僅0.002%!力芯微推出超低內阻、超低失真4PST模擬開關
- 一“芯”雙電!聖邦微電子發布雙輸出電源芯片,簡化AFE與音頻設計
- 一機適配萬端:金升陽推出1200W可編程電源,賦能高端裝備製造
技術文章更多>>
- 一秒檢測,成本降至萬分之一,光引科技把幾十萬的台式光譜儀“搬”到了手腕上
- AI服務器電源機櫃Power Rack HVDC MW級測試方案
- 突破工藝邊界,奎芯科技LPDDR5X IP矽驗證通過,速率達9600Mbps
- 通過直接、準確、自動測量超低範圍的氯殘留來推動反滲透膜保護
- 從技術研發到規模量產:恩智浦第三代成像雷達平台,賦能下一代自動駕駛!
技術白皮書下載更多>>
- 車規與基於V2X的車輛協同主動避撞技術展望
- 數字隔離助力新能源汽車安全隔離的新挑戰
- 汽車模塊拋負載的解決方案
- 車用連接器的安全創新應用
- Melexis Actuators Business Unit
- Position / Current Sensors - Triaxis Hall
熱門搜索
按鈕開關
白色家電
保護器件
保險絲管
北鬥定位
北高智
貝能科技
背板連接器
背光器件
編碼器型號
便攜產品
便攜醫療
變容二極管
變壓器
檳城電子
並網
撥動開關
玻璃釉電容
剝線機
薄膜電容
薄膜電阻
薄膜開關
捕魚器
步進電機
測力傳感器
測試測量
測試設備
拆解
場效應管
超霸科技



