用差分電路原理來分析輸出電壓為何要偏移
發布時間:2021-02-09 責任編輯:lina
【導讀】差分運算放大電路,對共模信號得到有效抑製,而隻對差分信號進行放大,因而得到廣泛的應用。
差分運算放大電路,對共模信號得到有效抑製,而隻對差分信號進行放大,因而得到廣泛的應用。
差分電路的電路構型

圖1 差分電路
目標處理電壓:是采集處理電壓,比如在係統中像母線電壓的采集處理,還有像交流電壓的采集處理等。
差分同相/反相分壓電阻:為了得到適合運放處理的電壓,需要將高壓信號進行分壓處理,如圖1中V1與V2兩端的電壓經過分壓處理,最終得到適合運放處理的電壓Vin+與Vin-。
差分放大電路:
反饋,對於運算放大電路來說,運放工作在線性區,所以這裏一定是負反饋,沒有反饋(開環)或huo者zhe是shi正zheng反fan饋kui,那na是shi比bi較jiao器qi電dian路lu而er不bu是shi放fang大da電dian路lu,這zhe時shi候hou運yun放fang工gong作zuo在zai飽bao和he區qu或huo稱cheng為wei非fei線xian性xing工gong作zuo區qu,正zheng因yin為wei飽bao和he,輸shu出chu才cai是shi電dian源yuan電dian壓ya的de幅fu值zhi。
圖2是(shi)一(yi)種(zhong)帶(dai)正(zheng)反(fan)饋(kui)的(de)運(yun)放(fang)電(dian)路(lu),這(zhe)裏(li)就(jiu)不(bu)能(neng)叫(jiao)運(yun)算(suan)放(fang)大(da)電(dian)路(lu)了(le),因(yin)為(wei)運(yun)放(fang)的(de)開(kai)環(huan)放(fang)大(da)倍(bei)數(shu)理(li)想(xiang)是(shi)無(wu)限(xian)大(da),當(dang)然(ran)實(shi)際(ji)中(zhong)不(bu)可(ke)能(neng)無(wu)限(xian)大(da),所(suo)以(yi)如(ru)下(xia)結(jie)構(gou)是(shi)遲(chi)滯(zhi)電(dian)壓(ya)比(bi)較(jiao)器(qi),運(yun)放(fang)工(gong)作(zuo)在(zai)非(fei)線(xian)性(xing)區(qu)或(huo)飽(bao)和(he)區(qu)。

圖2
圖3,依然是電壓比較器結構,上麵已經提到,運放開環增益很大,不帶負反饋,工作就如非線性區,當做電壓比較器來使用。

圖3
運算放大器,反饋電阻從輸出接到反相端"-"就是負反饋,當然在輸出信號不超過電源電壓時(注:一切信號的能量來源是電源,輸出當然不可能超過電源幅值),實現的功能就是放大信號的功能;接到同相端"+"就是正反饋,電路功能是電壓比較器。當然在實際當中我們並不提倡用運放去做電壓比較器,而是選用專用的比較器,如LM339、LM393、LM211等,因為比較器和運放在實際當中內部器件的工作狀態還是有區別的。
比較器接了限流電阻—"R74、R77",這是因為比較器在幅值切換時,快速上升或下降沿對後級容性負載進行充放電,這個充放電電流確來自這個有源器件—比較器,因此加限流電阻目的是防止電流衝擊。
RC濾波:可以酌情調節,目的是防止輸出過衝等信號失真問題
差分輸入電壓的計算
圖4電路,為了便於計算,我們給定每個阻值。
差分電路的另一個特點是對稱性,R40=R56及R47=R55,差分分壓兩個支路電阻也是相等的。

圖4
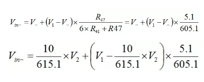
Vin+和Vin-的值是如何計算的?
我們先通過繁瑣的計算來得到,然後再簡化計算。
首先,運放的同相端5引腳和反相端6引腳,利用"虛短"得到,其中係數6是指6個100k的電阻,方便簡化式子:

那麼通過分壓關係得到Vin+:

再次通過分壓關係得到Vin-:

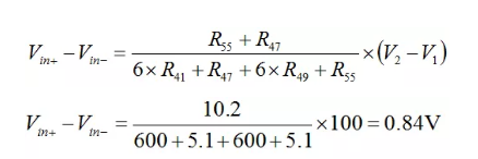
那麼就得到Vin+減Vin-的值。
其實還有一種簡單方法得到Vin+減Vin-的值,利用運放的虛短特點,可將電路等效為:

圖5

圖6
所以要計算Vin+減Vin-的值,變得很容易,隻是一個簡單的分壓電路而已,如下計算得到:

得到差分電壓輸入值是0.84V。
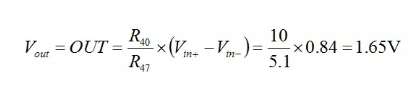
差分放大電路的計算

圖7
計算公式推導,依舊遵循運放的虛短和虛斷特性,當R56=R40,R47=R55時,差分計算可以簡化為:

實際應用電路中,我們為了簡化計算,也是用最簡方法計算,經常使用的電路也是上述電路,令電阻相等關係,簡化計算。
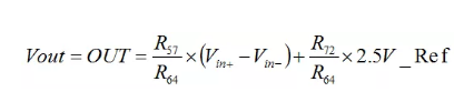
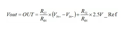
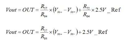
放大電路的"偏移計算"
為什麼要對輸出電壓進行偏移?這是因為如當采集負值時,我們的采樣芯片和MCU幾乎都不支持負值采樣的時候,你就必須進行偏移,使得輸出總是為正值。
偏移電路,如圖8,在原來同相端電阻接地GND的地方,我們接一個電壓值,通常也稱為偏移電壓。那麼最終表達式是什麼?

圖8
通過疊加定理最終得到:

這裏公式的成立,保證R64=R72,R73=R57,那麼最終得到偏移公式是在原來基礎上加個電壓偏移量2.5V_Ref:

隻要根據實際應用選擇合適的偏移量,輸出總會為一個正值。

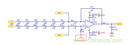
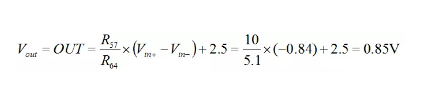
圖9
比如,圖9電路,輸入電壓變為-100V,那麼最終輸出電壓就為:

這樣就將負電壓偏移為正電壓,處理器符合處理器處理要求了,偏移電路在采集如交流電、以及存在負直流電壓的控製電路中廣泛使用。
免責聲明:本文為轉載文章,轉載此文目的在於傳遞更多信息,版權歸原作者所有。本文所用視頻、圖片、文字如涉及作品版權問題,請電話或者郵箱聯係小編進行侵刪。
特別推薦
- 噪聲中提取真值!瑞盟科技推出MSA2240電流檢測芯片賦能多元高端測量場景
- 10MHz高頻運行!氮矽科技發布集成驅動GaN芯片,助力電源能效再攀新高
- 失真度僅0.002%!力芯微推出超低內阻、超低失真4PST模擬開關
- 一“芯”雙電!聖邦微電子發布雙輸出電源芯片,簡化AFE與音頻設計
- 一機適配萬端:金升陽推出1200W可編程電源,賦能高端裝備製造
技術文章更多>>
- 從機械執行到智能互動:移遠Q-Robotbox助力具身智能加速落地
- 品英Pickering將亮相2026航空電子國際論壇,展示航電與電池測試前沿方案
- 模擬芯片設計師的噩夢:晶體管差1毫伏就廢了,溫度升1度特性全飄
- 3A大電流僅需3x1.6mm?意法半導體DCP3603重新定義電源設計
- 芯科科技Tech Talks與藍牙亞洲大會聯動,線上線下賦能物聯網創新
技術白皮書下載更多>>
- 車規與基於V2X的車輛協同主動避撞技術展望
- 數字隔離助力新能源汽車安全隔離的新挑戰
- 汽車模塊拋負載的解決方案
- 車用連接器的安全創新應用
- Melexis Actuators Business Unit
- Position / Current Sensors - Triaxis Hall
熱門搜索
按鈕開關
白色家電
保護器件
保險絲管
北鬥定位
北高智
貝能科技
背板連接器
背光器件
編碼器型號
便攜產品
便攜醫療
變容二極管
變壓器
檳城電子
並網
撥動開關
玻璃釉電容
剝線機
薄膜電容
薄膜電阻
薄膜開關
捕魚器
步進電機
測力傳感器
測試測量
測試設備
拆解
場效應管
超霸科技


