關於高速電路中的AC耦合電容
發布時間:2024-04-04 責任編輯:lina
【導讀】在很多高速串行信號中,都會使用到AC耦合電容,既然在設計高速串行電路時,任何一個小小的不同都會引起信號完整性問題,為什麼要在串行鏈路中加入一個AC耦合電容呢?這個電容不僅會導致信號邊沿變得緩慢,還有可能會引起阻抗不連續。
編者注:其實現在很多工程師在設計時,都是按照總線規範或者芯片手冊的推薦值使用。如果都是這樣,本文權且當作大家的拓展閱讀。
在很多高速串行信號中,都會使用到AC耦合電容,既然在設計高速串行電路時,任何一個小小的不同都會引起信號完整性問題,為什麼要在串行鏈路中加入一個AC耦合電容呢?這個電容不僅會導致信號邊沿變得緩慢,還有可能會引起阻抗不連續。

當我們連接有不同的供電電壓的兩個係統時或者是熱插拔時,可能就會需要用到AC耦合電容了,首先我們要了解的是這裏我們使用AC電容的目的是為了使兩級之間更好的通信,既然是串在了兩個係統之間,那通信的信號必然是交流的信號。AC耦合電容還可以提供直流偏壓和過流的保護。

在中間加個AC電容有什麼好處呢?
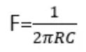
主zhu要yao就jiu是shi改gai善shan了le噪zao聲sheng容rong限xian。我wo們men有you時shi候hou可ke能neng在zai選xuan擇ze電dian容rong時shi會hui選xuan擇ze小xiao電dian容rong,覺jiao得de這zhe樣yang可ke能neng會hui將jiang直zhi流liu成cheng分fen濾lv的de更geng幹gan淨jing,但dan是shi這zhe樣yang會hui導dao致zhi信xin號hao變bian形xing並bing且qie引yin起qi基ji線xian漂piao移yi。如ru果guo選xuan擇ze較jiao大da的de電dian容rong,電dian容rong端duan的de電dian壓ya穩wen定ding的de時shi間jian需xu要yao的de比bi較jiao長chang,原yuan來lai一yi個ge小xiao小xiao的de電dian容rong要yao求qiu有you這zhe麼me多duo,那na我wo們men應ying該gai如ru何he來lai選xuan擇ze這zhe個ge電dian容rong呢ne?首shou先xian要yao看kan電dian容rong的de頻pin率lv、溫度等特性並且選擇低ESR/ESL的電容。對於電容值的選擇是要通過計算來選的,如下所示:

這裏的F是截止頻率(定義電壓為輸入電壓的0.707倍時的頻率),R是傳輸線的阻抗,C是AC耦合電容。
當然在選擇電容時,其通帶的最小頻率要比傳輸信號的最小頻率要小才好,假設信號的最小頻率為Fmin,則頻率值為F:
F=Fmin/20
當取值為F時,99.88%的信號均會通過。
前麵介紹了,雖然AC耦合電容有其好處,也會導致邊沿變緩慢,放置AC耦合電容時,會引起阻抗的變化,就存在一個阻抗不連續點。同時,也會引入碼型相關抖動,即當電路傳輸的信號中出現連續的“1”或“0”時,會出現下圖所示的直流電平壓降,這就會影響眼高。

如何才能減小這個直流壓降降低呢?
這和RC時間常數有關,RC值越大(充電時間越長,單位時間電容充電少,分壓小),能(neng)通(tong)過(guo)的(de)直(zhi)流(liu)分(fen)量(liang)就(jiu)越(yue)多(duo)直(zhi)流(liu)壓(ya)降(jiang)越(yue)小(xiao)。由(you)於(yu)鏈(lian)路(lu)中(zhong)等(deng)效(xiao)電(dian)阻(zu)是(shi)相(xiang)對(dui)固(gu)定(ding)的(de),隻(zhi)能(neng)調(tiao)節(jie)耦(ou)合(he)電(dian)容(rong)值(zhi)了(le)。如(ru)下(xia)圖(tu)所(suo)示(shi)電(dian)容(rong)值(zhi)越(yue)大(da),壓(ya)降(jiang)越(yue)小(xiao)。

曲線說明:紫色的電容值最大,紅色的電容值次之,粉色的電容值最小。
那我們就把電容無限加大吧!
答案是:No,不行!因為,實際安裝後的電容不是理想電容,除了ESR,ESL,還有安裝電感,所以就存在一個串聯諧振頻率。電容在串聯諧振頻率之前呈容性,之後呈感性。如下圖所示:

電容值越大,諧振頻率越小,電容在較低頻率就會呈現感性,這樣會造成信號高頻分量衰減增大,同樣會使眼高減小,上升沿變緩,jitter增加。
所以選擇AC耦合電容時要綜合以上兩點考量,一般業界都推薦0.01uF~0.2uF,最常見的就是0.1uF的電容。對於電容封裝的選擇不建議使用大於0603的封裝,最好是0402的,或者更小。
(作者:蔣修國)
免責聲明:本文為轉載文章,轉載此文目的在於傳遞更多信息,版權歸原作者所有。本文所用視頻、圖片、文字如涉及作品版權問題,請聯係小編進行處理。
推薦閱讀:
- 噪聲中提取真值!瑞盟科技推出MSA2240電流檢測芯片賦能多元高端測量場景
- 10MHz高頻運行!氮矽科技發布集成驅動GaN芯片,助力電源能效再攀新高
- 失真度僅0.002%!力芯微推出超低內阻、超低失真4PST模擬開關
- 一“芯”雙電!聖邦微電子發布雙輸出電源芯片,簡化AFE與音頻設計
- 一機適配萬端:金升陽推出1200W可編程電源,賦能高端裝備製造
- 邊緣AI的發展為更智能、更可持續的技術鋪平道路
- 每台智能體PC,都是AI時代的新入口
- IAR作為Qt Group獨立BU攜兩項重磅汽車電子應用開發方案首秀北京車展
- 構建具有網絡彈性的嵌入式係統:來自行業領袖的洞見
- 數字化的線性穩壓器
- 車規與基於V2X的車輛協同主動避撞技術展望
- 數字隔離助力新能源汽車安全隔離的新挑戰
- 汽車模塊拋負載的解決方案
- 車用連接器的安全創新應用
- Melexis Actuators Business Unit
- Position / Current Sensors - Triaxis Hall





