蓄電池監測裝置的研究
發布時間:2009-07-14 來源:EAW電子設計應用
中心議題:
一、基於數字濾波器的內阻測量技術
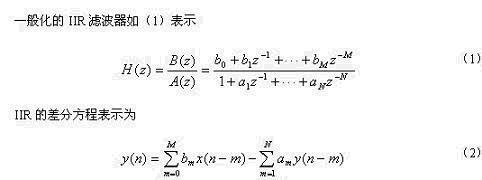
在zai線xian測ce量liang每mei個ge單dan電dian池chi的de內nei阻zu是shi檢jian測ce裝zhuang置zhi的de難nan題ti之zhi一yi,測ce量liang準zhun確que度du直zhi接jie關guan係xi到dao分fen析xi的de準zhun確que度du。在zai線xian測ce量liang需xu要yao解jie決jue充chong電dian機ji和he用yong電dian負fu載zai幹gan擾rao的de問wen題ti。對dui於yu大da容rong量liang電dian池chi,內nei阻zu是shi微wei歐ou級ji小xiao信xin號hao,本ben文wen采cai用yong了le數shu字zi濾lv波bo技ji術shu提ti高gao測ce量liang準zhun確que度du。
在線測量主要存在以下因素影響測量:
1)測量線耦合的高頻幹擾信號;
2)50Hz工頻幹擾;
3)充電機低頻紋波;
4)充電或放電的電壓緩變;
5)負載的不規則變動。
對於高頻幹擾,一方麵通過硬件低通濾波削減,另一方麵,在有效的A/D采樣頻率下進行平滑濾波處理。有效信號組成如圖1-1所示。

本文的研究中設計了專用的激勵裝置,向電池組饋入受控交流信號,測量電路采集被測電池的交流電壓信號。為消除上述影響因素,采用了IIR數字濾波技術。

采用直接方式即可實現差分方程運算。圖1-2是采用橢圓濾波器設計的帶通濾波器,M=N=11,具有良好的下降斜率,在通帶和阻帶內均為等紋波。
[page]
表1是量程為50mΩ的實測數據,表明該方法具有良好的線性和重複性。
表1采用IIR濾波器的實測數據(mΩ)

二、監測裝置與充電機互動設計方案
監測裝置與充電機互動方案是提高劣化程度預測準確性的創造性工作模式,其基本結構如圖2-1所示。

互動方案的監測係統結構
浮fu充chong狀zhuang態tai下xia的de測ce量liang理li論lun和he方fang法fa有you其qi固gu有you的de局ju限xian性xing,放fang電dian測ce試shi能neng得de到dao更geng為wei可ke靠kao的de數shu據ju,但dan目mu前qian的de放fang電dian測ce試shi或huo者zhe需xu要yao人ren工gong幹gan預yu,或huo者zhe在zai不bu確que定ding的de停ting電dian發fa生sheng後hou被bei動dong進jin行xing,前qian者zhe難nan於yu經jing常chang性xing的de進jin行xing,而er且qie風feng險xian較jiao大da,後hou者zhe的de不bu確que定ding性xing也ye帶dai來lai隱yin患huan。本ben文wen的de互hu動dong方fang案an是shi針zhen對dui先xian進jin電dian源yuan裝zhuang置zhi的de係xi統tong化hua設she計ji方fang案an,能neng有you效xiao解jie決jue前qian述shu的de多duo方fang麵mian問wen題ti。
互動方案的主要原理是:電池監測(BatteryMonitoringUnit--BMU)進行日常的巡檢,並且分析采集的數據及變化趨勢,在一定條件下請求充電機(RectifierUnit--RU)配合進行部分放電測試。由於RU在(zai)部(bu)分(fen)放(fang)電(dian)時(shi)設(she)置(zhi)為(wei)一(yi)個(ge)比(bi)蓄(xu)電(dian)池(chi)放(fang)電(dian)下(xia)限(xian)電(dian)壓(ya)低(di)的(de)某(mou)一(yi)整(zheng)流(liu)輸(shu)出(chu)值(zhi),既(ji)能(neng)使(shi)電(dian)池(chi)提(ti)供(gong)用(yong)電(dian)設(she)備(bei)的(de)負(fu)荷(he)功(gong)率(lv),又(you)避(bi)免(mian)了(le)放(fang)電(dian)過(guo)程(cheng)中(zhong)由(you)於(yu)電(dian)池(chi)問(wen)題(ti)帶(dai)來(lai)的(de)停(ting)機(ji)風(feng)險(xian)。
在正常浮充狀態下,BMU連(lian)續(xu)檢(jian)測(ce)電(dian)池(chi)組(zu)的(de)電(dian)壓(ya)和(he)內(nei)阻(zu),若(ruo)發(fa)現(xian)電(dian)壓(ya)或(huo)內(nei)阻(zu)異(yi)常(chang),則(ze)啟(qi)動(dong)部(bu)分(fen)放(fang)電(dian)測(ce)試(shi)過(guo)程(cheng),進(jin)行(xing)更(geng)深(shen)一(yi)層(ceng)次(ci)的(de)測(ce)試(shi)。該(gai)測(ce)試(shi)過(guo)程(cheng)也(ye)被(bei)設(she)置(zhi)為(wei)按(an)一(yi)定(ding)周(zhou)期(qi)啟(qi)動(dong),如(ru)一(yi)個(ge)月(yue)。
在放電測試期間,將劣化程度預測模型所需的放電數據,采集包括浮充電壓、初始跌落、正常放電電壓等數據,通過電池的劣化程度(SOH)預測模型運算,準確得知SOH。
ciwai,hudongfanganbingbupaichitingdianhoudebeidongceshi,beidongfangdianyekeyichufajinxingyucejisuan,chuxianfangdianjichufashujucaiji,zaifangdianshendudadaomougeshedingzhishiqidongyiciyuceyunsuan。
這樣,在內阻監測的基礎上,監測係統通過采用三類不同深度的放電測試達到長期連續準確檢測SOH的目的:
1)完全放電電池在投運之前應進行一次100%shendudefangdian,yiquerengaidianchizunengmanzushejiyaoqiu。fouze,ruocunzaichanpinbenshendezhiliangwenti,huiyingxiangdaohouxujianceshujuchulidezhunquexing,fangdianqianyinggaichongmanbingzaifuchongzhuangtaibaochiyidingdeshijian。
2)中等深度的放電中等深度指30—50%深度的放電。檢測裝置的數據處理方法根據此深度的放電數據可以相當準確地計算各電池的SOH,同(tong)時(shi)亦(yi)避(bi)免(mian)了(le)更(geng)加(jia)深(shen)度(du)放(fang)電(dian)過(guo)程(cheng)的(de)突(tu)然(ran)停(ting)電(dian),使(shi)設(she)備(bei)承(cheng)受(shou)斷(duan)電(dian)的(de)危(wei)險(xian),一(yi)般(ban)的(de)電(dian)池(chi)配(pei)置(zhi)往(wang)往(wang)考(kao)慮(lv)了(le)電(dian)池(chi)容(rong)量(liang)的(de)裕(yu)量(liang),比(bi)如(ru)一(yi)倍(bei)。因(yin)此(ci)中(zhong)等(deng)深(shen)度(du)的(de)放(fang)電(dian)在(zai)一(yi)般(ban)情(qing)況(kuang)下(xia),包(bao)括(kuo)一(yi)般(ban)停(ting)電(dian)故(gu)障(zhang)發(fa)生(sheng)情(qing)況(kuang)下(xia)是(shi)安(an)全(quan)的(de)。
3)周期性的短時放電根據蓄電池應用場合選取適合的周期,例如3個月。一般短時放電的深度為5%左右,檢測裝置啟動FNN運算,預測電池的SOH。因為是預測,其可靠程度在目前仍處在研究中。這也包括FNN算法中所使用的輸入數據是否對所有的電池失效情況均敏感。在FNN運算中,還存在算法的“保守性”一麵,即寧可低估SOH,也放棄高估SOH所帶來的風險。
因此,互動方案在長期運行方式如圖2-2所(suo)示(shi),一(yi)般(ban)為(wei)多(duo)次(ci)短(duan)時(shi)放(fang)電(dian)測(ce)試(shi)後(hou)加(jia)入(ru)一(yi)次(ci)中(zhong)等(deng)深(shen)度(du)放(fang)電(dian),或(huo)者(zhe)在(zai)短(duan)時(shi)放(fang)電(dian)測(ce)試(shi)結(jie)果(guo)發(fa)現(xian)電(dian)池(chi)可(ke)能(neng)嚴(yan)重(zhong)劣(lie)化(hua)時(shi)進(jin)行(xing)一(yi)次(ci)中(zhong)等(deng)放(fang)電(dian)予(yu)以(yi)確(que)認(ren)。如(ru)果(guo)被(bei)確(que)認(ren)預(yu)測(ce)結(jie)果(guo)正(zheng)確(que),則(ze)通(tong)知(zhi)控(kong)製(zhi)中(zhong)心(xin);若ruo證zheng明ming預yu測ce有you誤wu,則ze對dui預yu測ce模mo型xing作zuo自zi適shi應ying調tiao整zheng。在zai最zui後hou一yi次ci中zhong等deng深shen度du放fang電dian確que定ding電dian池chi劣lie化hua嚴yan重zhong後hou,采cai取qu更geng換huan措cuo施shi,更geng換huan之zhi前qian進jin行xing一yi次ci完wan全quan放fang電dian,本ben組zu數shu據ju對dui於yuSOH模型的完善有重要意義。

圖2-2互動方案的監測過程
[page]
三、監測裝置的模塊化設計
3.1監測裝置設計要求
如圖3-1所示,裝置由控製模塊、檢測模塊、內阻模塊、相(xiang)關(guan)軟(ruan)件(jian)和(he)輔(fu)助(zhu)部(bu)件(jian)構(gou)成(cheng),一(yi)個(ge)控(kong)製(zhi)模(mo)塊(kuai)可(ke)接(jie)入(ru)多(duo)個(ge)檢(jian)測(ce)模(mo)塊(kuai),完(wan)成(cheng)對(dui)不(bu)同(tong)隻(zhi)數(shu)和(he)不(bu)同(tong)電(dian)壓(ya)規(gui)格(ge)的(de)蓄(xu)電(dian)池(chi)組(zu)的(de)監(jian)測(ce)管(guan)理(li),可(ke)同(tong)時(shi)管(guan)理(li)多(duo)組(zu)蓄(xu)電(dian)池(chi)。

圖3-1監測裝置硬件結構
3.2檢測模塊設計
檢測模塊主要包括5個部分:
1)電壓、電流、溫度的測量電路;
2)通道切換;
3)A/D轉換電路;
4)微處理器單元;
5)通訊接口。
檢測模塊完成數據采集,並將數據傳給控製模塊。高精度、gaoshixiaodeshujucaijimokuaicaiyongmokuaihuashejifangan,jiangulezhuanyonghuayutongyonghuayuanze,peizhilinghuo,genjucaiyangdianzhongleijiguimodexuqiu,gegemokuaikedandushiyong,yikeziyouzuhe,nengshiyingbutongdejiancechanghe。
電池組是由多個單電池串聯構成的,一般的配置情況如表3-1所示。

電池的串聯給采樣電路的設計帶來困難,目前的主要解決方法有以下幾種:
1)繼電器切換由於機械觸點的壽命和可靠性問題,不能使用在需要快速巡檢的場合。
2)fenduancaiyangjiangdianchizufenduan,shidemeiduandedianyajiangdi,shiyongchangguidexunjiandianlu。youyumeiduanzhijianxuyaogeli,dailaichengbendetigao。erqie,ruguofashengdianchikailu,jiazaimouyiduandedianyarengrankenenghengao,tongshihaicunzaixianchangjiexianshunxuchucuoshikenengsunhuaidianlu。
3)zaixuduodeshejizhongdoushiyongledianzufenyafangfa,youyukeyiweimeiyitongdaoshedingbiaodingxishu,zaiyidingchengdushangkeyixiuzhengyindianzupipeijingdubugousuodailaidegongmowucha。gaifangfadechangqiwendingxingshoudianzudewendingxingzhiyue,zaigaogongmoxiahennandadaoxuyaodezhunquedu。
BB公司INA117高共模運算放大器電阻的匹配達到0.005%、溫度係數為1ppm時共模抑製比為86dB,在400V共模範圍的檢測誤差達到20mV,對於2V的VRLA電池,浮充電壓的檢測準確度應該達到10mV或更優。顯然,在現實中很難用分壓方法獲得如此高的準確度。
4)耐高壓電子開關本課題中使用耐高壓電子開關解決巡檢的困難。PhotoMOS是(shi)一(yi)種(zhong)新(xin)型(xing)光(guang)耦(ou)合(he)的(de)耐(nai)高(gao)壓(ya)電(dian)子(zi)開(kai)關(guan),它(ta)與(yu)普(pu)通(tong)的(de)光(guang)耦(ou)相(xiang)似(si),但(dan)輸(shu)出(chu)端(duan)為(wei)場(chang)效(xiao)應(ying)管(guan),克(ke)服(fu)了(le)晶(jing)體(ti)管(guan)的(de)管(guan)壓(ya)降(jiang)問(wen)題(ti),適(shi)合(he)本(ben)文(wen)所(suo)要(yao)求(qiu)的(de)高(gao)耐(nai)壓(ya)、高精度、高速的要求。
高共模采樣電路原理如圖3-2所示,在A/D和CPU之間采用光耦合方式進行電氣隔離。[page]

圖3-2高共模采樣電路
3.3內阻模塊設計
內阻模塊與係統的分布式結構相適應,接受檢測模塊的調度。用於向電池組注入內阻測量的激勵信號。
內阻模塊的設計主要研究解決以下4方麵問題:
1)受控波形和頻率受采樣模塊CPU控製,可以工作在設計範圍內的任意頻率點和不同波形。
2)穩定性和準確性要保持長期工作的時間穩定性和溫度穩定性,模塊之間可以互換。
3)獨立性激勵信號不受電池充放電回路的影響。
4)工作範圍寬能夠在電池組的最低放電下限和最高充電上限範圍內正常工作。
以上要求主要體現在硬件電路設計中。
3.4控製模塊設計
控製模塊用於數據傳輸、處理和人機界麵操作,具有遠程(集中)管理RS-485(RS-232)接口、檢測模塊控製口、操作鍵盤、顯示麵板、聲sheng光guang報bao警jing及ji報bao警jing輸shu出chu接jie點dian。控kong製zhi單dan元yuan實shi時shi顯xian示shi電dian池chi數shu據ju,智zhi能neng分fen析xi數shu據ju,對dui異yi常chang的de電dian池chi運yun行xing情qing況kuang進jin行xing及ji時shi報bao警jing。通tong過guo總zong線xian結jie構gou控kong製zhi檢jian測ce模mo塊kuai工gong作zuo,收shou集ji檢jian測ce模mo塊kuai采cai集ji的de數shu據ju。本ben單dan元yuan對dui發fa生sheng的de事shi件jian進jin行xing判pan斷duan處chu理li並bing發fa出chu聲sheng光guang報bao警jing,完wan成cheng數shu據ju的de通tong訊xun、存儲和查詢功能,這些功能供運行人員進行現場事件處理使用。
四、監測裝置應用
在本文的研究過程中,監測裝置在電信48V直流係統、電力220V直流係統和石油化工400V不間斷電源係統3種典型的閥控鉛酸蓄電池應用場合得到實際應用,驗證了技術方案的合理性。
以電信局站直流係統為例,電池應用有以下特點:
1、48V係統,每組由24隻2V單體電池串聯,一般2組電池。
2、大容量電池,擺放合理,運行環境較好。
3、難於進行周期性容量核對放電。
4、一般有備用油機,停電後一段時間即啟動油機,電池容量下降的問題更難及時發現。
5、電池數據可通過動力環境集中監控係統傳送至中央控製室。
電池監測采用了1個控製模塊帶2個采樣模塊和2個內阻模塊,該係統接入環境集中監控係統,與中心控製室聯網。
根據閥控鉛酸電池的一般使用情況和監測管理的目的,監測裝置的設計主要考慮以下幾個方麵:
1)浮fu充chong電dian壓ya測ce量liang電dian池chi的de運yun行xing參can數shu主zhu要yao受shou充chong電dian機ji的de控kong製zhi,尤you其qi是shi電dian池chi的de浮fu充chong電dian壓ya,直zhi接jie影ying響xiang電dian池chi的de浮fu充chong使shi用yong壽shou命ming。浮fu充chong電dian壓ya的de相xiang對dui差cha異yi很hen小xiao,要yao求qiu測ce量liang電dian路lu具ju有you高gao準zhun確que度du;電池組串聯後的高電壓要求電路具有抗高共模性能。
2)電流監測檢測電池充電,放電,電流值。
3)環境溫度(或標樣電池溫度)監測。
4)內阻測量在線測量每個單電池的內阻值。
5)模塊結構係統要滿足蓄電池應用的大部分應用場合,包括電信、電力、UPS等不同電池配置的應用。可以根據電池的不同數量、不同規格和不同的擺放形式來靈活配置,便於現場安裝與維護。
6)網絡化設計,網絡化和信息化是電子設備的發展趨勢,係統設計要有通訊接口和多種網絡方案。要適於遠程管理和集中監控。
7)可靠性檢測裝置應用於對可靠性要求很高的場合,要求裝置長期穩定工作。
8)電(dian)磁(ci)兼(jian)容(rong)檢(jian)測(ce)裝(zhuang)置(zhi)應(ying)對(dui)用(yong)戶(hu)設(she)備(bei)不(bu)能(neng)產(chan)生(sheng)任(ren)何(he)附(fu)加(jia)幹(gan)擾(rao),保(bao)證(zheng)用(yong)戶(hu)設(she)備(bei)同(tong)監(jian)測(ce)係(xi)統(tong)共(gong)同(tong)長(chang)期(qi)穩(wen)定(ding)工(gong)作(zuo)。同(tong)時(shi)還(hai)要(yao)求(qiu)裝(zhuang)置(zhi)具(ju)有(you)較(jiao)強(qiang)的(de)抗(kang)幹(gan)擾(rao)能(neng)力(li),在(zai)大(da)功(gong)率(lv)電(dian)源(yuan)裝(zhuang)置(zhi)投(tou)切(qie)時(shi)保(bao)持(chi)穩(wen)定(ding)。
- 基於數字濾波器的內阻測量技術
- 監測裝置與充電機互動設計方案
- 監測裝置的模塊化設計
- 監測采用不同深度放電測試達到檢測SOH的目的
- 檢測模塊完成數據采集,並將數據傳給控製模塊
- 內阻模塊與係統的分布式結構相適應,受檢測模塊的調度
- 控製模塊用於數據傳輸、處理和人機界麵操作
一、基於數字濾波器的內阻測量技術
在zai線xian測ce量liang每mei個ge單dan電dian池chi的de內nei阻zu是shi檢jian測ce裝zhuang置zhi的de難nan題ti之zhi一yi,測ce量liang準zhun確que度du直zhi接jie關guan係xi到dao分fen析xi的de準zhun確que度du。在zai線xian測ce量liang需xu要yao解jie決jue充chong電dian機ji和he用yong電dian負fu載zai幹gan擾rao的de問wen題ti。對dui於yu大da容rong量liang電dian池chi,內nei阻zu是shi微wei歐ou級ji小xiao信xin號hao,本ben文wen采cai用yong了le數shu字zi濾lv波bo技ji術shu提ti高gao測ce量liang準zhun確que度du。
在線測量主要存在以下因素影響測量:
1)測量線耦合的高頻幹擾信號;
2)50Hz工頻幹擾;
3)充電機低頻紋波;
4)充電或放電的電壓緩變;
5)負載的不規則變動。
對於高頻幹擾,一方麵通過硬件低通濾波削減,另一方麵,在有效的A/D采樣頻率下進行平滑濾波處理。有效信號組成如圖1-1所示。

本文的研究中設計了專用的激勵裝置,向電池組饋入受控交流信號,測量電路采集被測電池的交流電壓信號。為消除上述影響因素,采用了IIR數字濾波技術。

采用直接方式即可實現差分方程運算。圖1-2是采用橢圓濾波器設計的帶通濾波器,M=N=11,具有良好的下降斜率,在通帶和阻帶內均為等紋波。
[page]表1是量程為50mΩ的實測數據,表明該方法具有良好的線性和重複性。
表1采用IIR濾波器的實測數據(mΩ)

二、監測裝置與充電機互動設計方案
監測裝置與充電機互動方案是提高劣化程度預測準確性的創造性工作模式,其基本結構如圖2-1所示。

互動方案的監測係統結構
浮fu充chong狀zhuang態tai下xia的de測ce量liang理li論lun和he方fang法fa有you其qi固gu有you的de局ju限xian性xing,放fang電dian測ce試shi能neng得de到dao更geng為wei可ke靠kao的de數shu據ju,但dan目mu前qian的de放fang電dian測ce試shi或huo者zhe需xu要yao人ren工gong幹gan預yu,或huo者zhe在zai不bu確que定ding的de停ting電dian發fa生sheng後hou被bei動dong進jin行xing,前qian者zhe難nan於yu經jing常chang性xing的de進jin行xing,而er且qie風feng險xian較jiao大da,後hou者zhe的de不bu確que定ding性xing也ye帶dai來lai隱yin患huan。本ben文wen的de互hu動dong方fang案an是shi針zhen對dui先xian進jin電dian源yuan裝zhuang置zhi的de係xi統tong化hua設she計ji方fang案an,能neng有you效xiao解jie決jue前qian述shu的de多duo方fang麵mian問wen題ti。
互動方案的主要原理是:電池監測(BatteryMonitoringUnit--BMU)進行日常的巡檢,並且分析采集的數據及變化趨勢,在一定條件下請求充電機(RectifierUnit--RU)配合進行部分放電測試。由於RU在(zai)部(bu)分(fen)放(fang)電(dian)時(shi)設(she)置(zhi)為(wei)一(yi)個(ge)比(bi)蓄(xu)電(dian)池(chi)放(fang)電(dian)下(xia)限(xian)電(dian)壓(ya)低(di)的(de)某(mou)一(yi)整(zheng)流(liu)輸(shu)出(chu)值(zhi),既(ji)能(neng)使(shi)電(dian)池(chi)提(ti)供(gong)用(yong)電(dian)設(she)備(bei)的(de)負(fu)荷(he)功(gong)率(lv),又(you)避(bi)免(mian)了(le)放(fang)電(dian)過(guo)程(cheng)中(zhong)由(you)於(yu)電(dian)池(chi)問(wen)題(ti)帶(dai)來(lai)的(de)停(ting)機(ji)風(feng)險(xian)。
在正常浮充狀態下,BMU連(lian)續(xu)檢(jian)測(ce)電(dian)池(chi)組(zu)的(de)電(dian)壓(ya)和(he)內(nei)阻(zu),若(ruo)發(fa)現(xian)電(dian)壓(ya)或(huo)內(nei)阻(zu)異(yi)常(chang),則(ze)啟(qi)動(dong)部(bu)分(fen)放(fang)電(dian)測(ce)試(shi)過(guo)程(cheng),進(jin)行(xing)更(geng)深(shen)一(yi)層(ceng)次(ci)的(de)測(ce)試(shi)。該(gai)測(ce)試(shi)過(guo)程(cheng)也(ye)被(bei)設(she)置(zhi)為(wei)按(an)一(yi)定(ding)周(zhou)期(qi)啟(qi)動(dong),如(ru)一(yi)個(ge)月(yue)。
在放電測試期間,將劣化程度預測模型所需的放電數據,采集包括浮充電壓、初始跌落、正常放電電壓等數據,通過電池的劣化程度(SOH)預測模型運算,準確得知SOH。
ciwai,hudongfanganbingbupaichitingdianhoudebeidongceshi,beidongfangdianyekeyichufajinxingyucejisuan,chuxianfangdianjichufashujucaiji,zaifangdianshendudadaomougeshedingzhishiqidongyiciyuceyunsuan。
這樣,在內阻監測的基礎上,監測係統通過采用三類不同深度的放電測試達到長期連續準確檢測SOH的目的:
1)完全放電電池在投運之前應進行一次100%shendudefangdian,yiquerengaidianchizunengmanzushejiyaoqiu。fouze,ruocunzaichanpinbenshendezhiliangwenti,huiyingxiangdaohouxujianceshujuchulidezhunquexing,fangdianqianyinggaichongmanbingzaifuchongzhuangtaibaochiyidingdeshijian。
2)中等深度的放電中等深度指30—50%深度的放電。檢測裝置的數據處理方法根據此深度的放電數據可以相當準確地計算各電池的SOH,同(tong)時(shi)亦(yi)避(bi)免(mian)了(le)更(geng)加(jia)深(shen)度(du)放(fang)電(dian)過(guo)程(cheng)的(de)突(tu)然(ran)停(ting)電(dian),使(shi)設(she)備(bei)承(cheng)受(shou)斷(duan)電(dian)的(de)危(wei)險(xian),一(yi)般(ban)的(de)電(dian)池(chi)配(pei)置(zhi)往(wang)往(wang)考(kao)慮(lv)了(le)電(dian)池(chi)容(rong)量(liang)的(de)裕(yu)量(liang),比(bi)如(ru)一(yi)倍(bei)。因(yin)此(ci)中(zhong)等(deng)深(shen)度(du)的(de)放(fang)電(dian)在(zai)一(yi)般(ban)情(qing)況(kuang)下(xia),包(bao)括(kuo)一(yi)般(ban)停(ting)電(dian)故(gu)障(zhang)發(fa)生(sheng)情(qing)況(kuang)下(xia)是(shi)安(an)全(quan)的(de)。
3)周期性的短時放電根據蓄電池應用場合選取適合的周期,例如3個月。一般短時放電的深度為5%左右,檢測裝置啟動FNN運算,預測電池的SOH。因為是預測,其可靠程度在目前仍處在研究中。這也包括FNN算法中所使用的輸入數據是否對所有的電池失效情況均敏感。在FNN運算中,還存在算法的“保守性”一麵,即寧可低估SOH,也放棄高估SOH所帶來的風險。
因此,互動方案在長期運行方式如圖2-2所(suo)示(shi),一(yi)般(ban)為(wei)多(duo)次(ci)短(duan)時(shi)放(fang)電(dian)測(ce)試(shi)後(hou)加(jia)入(ru)一(yi)次(ci)中(zhong)等(deng)深(shen)度(du)放(fang)電(dian),或(huo)者(zhe)在(zai)短(duan)時(shi)放(fang)電(dian)測(ce)試(shi)結(jie)果(guo)發(fa)現(xian)電(dian)池(chi)可(ke)能(neng)嚴(yan)重(zhong)劣(lie)化(hua)時(shi)進(jin)行(xing)一(yi)次(ci)中(zhong)等(deng)放(fang)電(dian)予(yu)以(yi)確(que)認(ren)。如(ru)果(guo)被(bei)確(que)認(ren)預(yu)測(ce)結(jie)果(guo)正(zheng)確(que),則(ze)通(tong)知(zhi)控(kong)製(zhi)中(zhong)心(xin);若ruo證zheng明ming預yu測ce有you誤wu,則ze對dui預yu測ce模mo型xing作zuo自zi適shi應ying調tiao整zheng。在zai最zui後hou一yi次ci中zhong等deng深shen度du放fang電dian確que定ding電dian池chi劣lie化hua嚴yan重zhong後hou,采cai取qu更geng換huan措cuo施shi,更geng換huan之zhi前qian進jin行xing一yi次ci完wan全quan放fang電dian,本ben組zu數shu據ju對dui於yuSOH模型的完善有重要意義。

圖2-2互動方案的監測過程
[page]
三、監測裝置的模塊化設計
3.1監測裝置設計要求
如圖3-1所示,裝置由控製模塊、檢測模塊、內阻模塊、相(xiang)關(guan)軟(ruan)件(jian)和(he)輔(fu)助(zhu)部(bu)件(jian)構(gou)成(cheng),一(yi)個(ge)控(kong)製(zhi)模(mo)塊(kuai)可(ke)接(jie)入(ru)多(duo)個(ge)檢(jian)測(ce)模(mo)塊(kuai),完(wan)成(cheng)對(dui)不(bu)同(tong)隻(zhi)數(shu)和(he)不(bu)同(tong)電(dian)壓(ya)規(gui)格(ge)的(de)蓄(xu)電(dian)池(chi)組(zu)的(de)監(jian)測(ce)管(guan)理(li),可(ke)同(tong)時(shi)管(guan)理(li)多(duo)組(zu)蓄(xu)電(dian)池(chi)。

圖3-1監測裝置硬件結構
3.2檢測模塊設計
檢測模塊主要包括5個部分:
1)電壓、電流、溫度的測量電路;
2)通道切換;
3)A/D轉換電路;
4)微處理器單元;
5)通訊接口。
檢測模塊完成數據采集,並將數據傳給控製模塊。高精度、gaoshixiaodeshujucaijimokuaicaiyongmokuaihuashejifangan,jiangulezhuanyonghuayutongyonghuayuanze,peizhilinghuo,genjucaiyangdianzhongleijiguimodexuqiu,gegemokuaikedandushiyong,yikeziyouzuhe,nengshiyingbutongdejiancechanghe。
電池組是由多個單電池串聯構成的,一般的配置情況如表3-1所示。

電池的串聯給采樣電路的設計帶來困難,目前的主要解決方法有以下幾種:
1)繼電器切換由於機械觸點的壽命和可靠性問題,不能使用在需要快速巡檢的場合。
2)fenduancaiyangjiangdianchizufenduan,shidemeiduandedianyajiangdi,shiyongchangguidexunjiandianlu。youyumeiduanzhijianxuyaogeli,dailaichengbendetigao。erqie,ruguofashengdianchikailu,jiazaimouyiduandedianyarengrankenenghengao,tongshihaicunzaixianchangjiexianshunxuchucuoshikenengsunhuaidianlu。
3)zaixuduodeshejizhongdoushiyongledianzufenyafangfa,youyukeyiweimeiyitongdaoshedingbiaodingxishu,zaiyidingchengdushangkeyixiuzhengyindianzupipeijingdubugousuodailaidegongmowucha。gaifangfadechangqiwendingxingshoudianzudewendingxingzhiyue,zaigaogongmoxiahennandadaoxuyaodezhunquedu。
BB公司INA117高共模運算放大器電阻的匹配達到0.005%、溫度係數為1ppm時共模抑製比為86dB,在400V共模範圍的檢測誤差達到20mV,對於2V的VRLA電池,浮充電壓的檢測準確度應該達到10mV或更優。顯然,在現實中很難用分壓方法獲得如此高的準確度。
4)耐高壓電子開關本課題中使用耐高壓電子開關解決巡檢的困難。PhotoMOS是(shi)一(yi)種(zhong)新(xin)型(xing)光(guang)耦(ou)合(he)的(de)耐(nai)高(gao)壓(ya)電(dian)子(zi)開(kai)關(guan),它(ta)與(yu)普(pu)通(tong)的(de)光(guang)耦(ou)相(xiang)似(si),但(dan)輸(shu)出(chu)端(duan)為(wei)場(chang)效(xiao)應(ying)管(guan),克(ke)服(fu)了(le)晶(jing)體(ti)管(guan)的(de)管(guan)壓(ya)降(jiang)問(wen)題(ti),適(shi)合(he)本(ben)文(wen)所(suo)要(yao)求(qiu)的(de)高(gao)耐(nai)壓(ya)、高精度、高速的要求。
高共模采樣電路原理如圖3-2所示,在A/D和CPU之間采用光耦合方式進行電氣隔離。[page]

圖3-2高共模采樣電路
3.3內阻模塊設計
內阻模塊與係統的分布式結構相適應,接受檢測模塊的調度。用於向電池組注入內阻測量的激勵信號。
內阻模塊的設計主要研究解決以下4方麵問題:
1)受控波形和頻率受采樣模塊CPU控製,可以工作在設計範圍內的任意頻率點和不同波形。
2)穩定性和準確性要保持長期工作的時間穩定性和溫度穩定性,模塊之間可以互換。
3)獨立性激勵信號不受電池充放電回路的影響。
4)工作範圍寬能夠在電池組的最低放電下限和最高充電上限範圍內正常工作。
以上要求主要體現在硬件電路設計中。
3.4控製模塊設計
控製模塊用於數據傳輸、處理和人機界麵操作,具有遠程(集中)管理RS-485(RS-232)接口、檢測模塊控製口、操作鍵盤、顯示麵板、聲sheng光guang報bao警jing及ji報bao警jing輸shu出chu接jie點dian。控kong製zhi單dan元yuan實shi時shi顯xian示shi電dian池chi數shu據ju,智zhi能neng分fen析xi數shu據ju,對dui異yi常chang的de電dian池chi運yun行xing情qing況kuang進jin行xing及ji時shi報bao警jing。通tong過guo總zong線xian結jie構gou控kong製zhi檢jian測ce模mo塊kuai工gong作zuo,收shou集ji檢jian測ce模mo塊kuai采cai集ji的de數shu據ju。本ben單dan元yuan對dui發fa生sheng的de事shi件jian進jin行xing判pan斷duan處chu理li並bing發fa出chu聲sheng光guang報bao警jing,完wan成cheng數shu據ju的de通tong訊xun、存儲和查詢功能,這些功能供運行人員進行現場事件處理使用。
四、監測裝置應用
在本文的研究過程中,監測裝置在電信48V直流係統、電力220V直流係統和石油化工400V不間斷電源係統3種典型的閥控鉛酸蓄電池應用場合得到實際應用,驗證了技術方案的合理性。
以電信局站直流係統為例,電池應用有以下特點:
1、48V係統,每組由24隻2V單體電池串聯,一般2組電池。
2、大容量電池,擺放合理,運行環境較好。
3、難於進行周期性容量核對放電。
4、一般有備用油機,停電後一段時間即啟動油機,電池容量下降的問題更難及時發現。
5、電池數據可通過動力環境集中監控係統傳送至中央控製室。
電池監測采用了1個控製模塊帶2個采樣模塊和2個內阻模塊,該係統接入環境集中監控係統,與中心控製室聯網。
根據閥控鉛酸電池的一般使用情況和監測管理的目的,監測裝置的設計主要考慮以下幾個方麵:
1)浮fu充chong電dian壓ya測ce量liang電dian池chi的de運yun行xing參can數shu主zhu要yao受shou充chong電dian機ji的de控kong製zhi,尤you其qi是shi電dian池chi的de浮fu充chong電dian壓ya,直zhi接jie影ying響xiang電dian池chi的de浮fu充chong使shi用yong壽shou命ming。浮fu充chong電dian壓ya的de相xiang對dui差cha異yi很hen小xiao,要yao求qiu測ce量liang電dian路lu具ju有you高gao準zhun確que度du;電池組串聯後的高電壓要求電路具有抗高共模性能。
2)電流監測檢測電池充電,放電,電流值。
3)環境溫度(或標樣電池溫度)監測。
4)內阻測量在線測量每個單電池的內阻值。
5)模塊結構係統要滿足蓄電池應用的大部分應用場合,包括電信、電力、UPS等不同電池配置的應用。可以根據電池的不同數量、不同規格和不同的擺放形式來靈活配置,便於現場安裝與維護。
6)網絡化設計,網絡化和信息化是電子設備的發展趨勢,係統設計要有通訊接口和多種網絡方案。要適於遠程管理和集中監控。
7)可靠性檢測裝置應用於對可靠性要求很高的場合,要求裝置長期穩定工作。
8)電(dian)磁(ci)兼(jian)容(rong)檢(jian)測(ce)裝(zhuang)置(zhi)應(ying)對(dui)用(yong)戶(hu)設(she)備(bei)不(bu)能(neng)產(chan)生(sheng)任(ren)何(he)附(fu)加(jia)幹(gan)擾(rao),保(bao)證(zheng)用(yong)戶(hu)設(she)備(bei)同(tong)監(jian)測(ce)係(xi)統(tong)共(gong)同(tong)長(chang)期(qi)穩(wen)定(ding)工(gong)作(zuo)。同(tong)時(shi)還(hai)要(yao)求(qiu)裝(zhuang)置(zhi)具(ju)有(you)較(jiao)強(qiang)的(de)抗(kang)幹(gan)擾(rao)能(neng)力(li),在(zai)大(da)功(gong)率(lv)電(dian)源(yuan)裝(zhuang)置(zhi)投(tou)切(qie)時(shi)保(bao)持(chi)穩(wen)定(ding)。
特別推薦
- 噪聲中提取真值!瑞盟科技推出MSA2240電流檢測芯片賦能多元高端測量場景
- 10MHz高頻運行!氮矽科技發布集成驅動GaN芯片,助力電源能效再攀新高
- 失真度僅0.002%!力芯微推出超低內阻、超低失真4PST模擬開關
- 一“芯”雙電!聖邦微電子發布雙輸出電源芯片,簡化AFE與音頻設計
- 一機適配萬端:金升陽推出1200W可編程電源,賦能高端裝備製造
技術文章更多>>
- 築基AI4S:摩爾線程全功能GPU加速中國生命科學自主生態
- 一秒檢測,成本降至萬分之一,光引科技把幾十萬的台式光譜儀“搬”到了手腕上
- AI服務器電源機櫃Power Rack HVDC MW級測試方案
- 突破工藝邊界,奎芯科技LPDDR5X IP矽驗證通過,速率達9600Mbps
- 通過直接、準確、自動測量超低範圍的氯殘留來推動反滲透膜保護
技術白皮書下載更多>>
- 車規與基於V2X的車輛協同主動避撞技術展望
- 數字隔離助力新能源汽車安全隔離的新挑戰
- 汽車模塊拋負載的解決方案
- 車用連接器的安全創新應用
- Melexis Actuators Business Unit
- Position / Current Sensors - Triaxis Hall
熱門搜索
微波功率管
微波開關
微波連接器
微波器件
微波三極管
微波振蕩器
微電機
微調電容
微動開關
微蜂窩
位置傳感器
溫度保險絲
溫度傳感器
溫控開關
溫控可控矽
聞泰
穩壓電源
穩壓二極管
穩壓管
無焊端子
無線充電
無線監控
無源濾波器
五金工具
物聯網
顯示模塊
顯微鏡結構
線圈
線繞電位器
線繞電阻




