電子元器件在電路仿真中的建模
發布時間:2009-10-12
中心議題:
- 計算機仿真
- 參數建模法
- 子電路建模法
解決方案:
- 直接通過研究器件資料得到所需參數的數值,生成庫文件
- 單元電路和集成電路新產品,由用戶自己創建子電路的網格表轉化庫文件
計算機仿真具有效率高、精度高、可靠性高和成本低等特點,已被廣泛應用於電力電子電路(或係統)的(de)分(fen)析(xi)和(he)設(she)計(ji)。計(ji)算(suan)機(ji)仿(fang)真(zhen)不(bu)僅(jin)可(ke)以(yi)取(qu)代(dai)係(xi)統(tong)許(xu)多(duo)繁(fan)瑣(suo)的(de)人(ren)工(gong)分(fen)析(xi),減(jian)輕(qing)勞(lao)動(dong)強(qiang)度(du),提(ti)高(gao)分(fen)析(xi)和(he)設(she)計(ji)能(neng)力(li),還(hai)可(ke)以(yi)對(dui)電(dian)路(lu)進(jin)行(xing)優(you)化(hua)和(he)改(gai)進(jin),最(zui)大(da)限(xian)度(du)地(di)降(jiang)低(di)設(she)計(ji)成(cheng)本(ben),縮(suo)短(duan)係(xi)統(tong)研(yan)發(fa)周(zhou)期(qi)。
但dan這zhe些xie優you點dian都dou是shi基ji於yu元yuan器qi件jian模mo型xing,電dian路lu的de數shu學xue化hua主zhu要yao是shi元yuan器qi件jian的de模mo型xing化hua,可ke以yi說shuo沒mei有you模mo型xing化hua就jiu沒mei有you電dian路lu的de仿fang真zhen分fen析xi。簡jian單dan的de元yuan器qi件jian,比bi如ru,電dian阻zu、電容和電感等,隻需要一個或幾個參數就可以描述其電學性能。而各類半導體和集成器件,則需用很多參數來描述較複雜的建模過程。
目前各種仿真工具zhongdouzidaihenduochangyongdeyuanqijianmoxing,danshizidaimoxingkuyongyuangenbushangdianziyuanqijiandegengxinsudu。zhelizhenduijianmodezhongyaoxinghebiyaoxing,yanjiudangqianliuxingdedianzidianlufangzhengongjudedianziyuanqijianmoxing,tichuliangzhongjianmofangfa:參數建模法和子電路建模法。
參數建模法
參can數shu建jian模mo法fa主zhu要yao是shi針zhen對dui加jia工gong工gong藝yi相xiang同tong的de一yi類lei半ban導dao體ti器qi件jian提ti出chu的de,其qi工gong作zuo過guo程cheng是shi先xian利li用yong物wu理li法fa或huo黑hei箱xiang法fa構gou建jian出chu不bu同tong複fu雜za程cheng度du的de等deng效xiao電dian路lu,然ran後hou通tong過guo公gong式shi演yan算suan,得de出chu這zhe類lei半ban導dao體ti器qi件jian的de參can數shu。在zai使shi用yong過guo程cheng中zhong,若ruo遇yu到dao該gai類lei器qi件jian,就jiu可ke以yi通tong過guo直zhi接jie設she置zhi參can數shu值zhi實shi現xian不bu同tong型xing號hao元yuan器qi件jian的de建jian模mo,從cong而er省sheng去qu重zhong複fu構gou建jian等deng效xiao電dian路lu和he繁fan瑣suo的de方fang程cheng式shi推tui導dao過guo程cheng。
下麵以N溝道MOS(metal-oxidesemiconductor)晶體管為例說明等效電路與參數之間的關係。典型的N溝道MOS晶體管組成示意圖如圖1所示。

設置柵極寬度為W,有效柵極長度為L,柵極下氧化層的厚度為tOX。MOS管的特性方程為:

式中,COX是每單位麵積的柵極電容。Vth為柵極-源極間的閾值電壓。
[page]
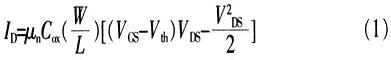
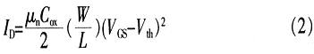
當VDS增加時,ID上升,直到溝道的漏極末端夾斷,ID不再上升。這種夾斷發生在VDS=VGS-Vth時。因此工作區MOS管的特性方程可簡化為:

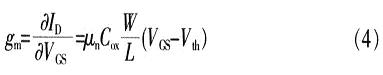
通過式(2)得到如圖2所示的MOS晶體管等效電路,其中壓控電流源gmVgs是模型中最重要的部分,晶體管的跨導gm定義為:

將式(2)代入式(3),可得出:

圖2中,gsVs表示第2個壓控電流源,模擬漏極電流id上的體效應。當源極與地相連時,或其電壓不變化時,此電流源可忽略。當體效應不能忽略時,則有:

式中,γ是體效應參數,|2φF|為表麵反轉電勢。圖2中,電阻rds表示有限輸出阻抗,模擬溝道長度調節和漏極電流因Vds改變而引起的效應,由式(1)可得:

圖2中,電容的求解過程參見參考文獻[1],以下給出結果:

Cgs是最大電容,需要較高精確度時可表示為:

LD是重疊區的距離。
[page]
第2大電容Csb表示為:式中,As是源極的結麵積,Ps是源極的結周長,不包括與溝道相鄰的一邊,Cj-sw表示0V偏置下的側壁電容。

(Cj0偏置下的耗盡結電容)。
Cgd稱為密勒電容,其值為:Cgd=WCoxLD。
源極主體電容Cdb表示為:Cdb=C''''''''''''''''db+Cd-sw=AdCjd+PdCj-sw,其中,Ad是漏極的結麵積,Pd是不包括與柵極相鄰部分的結周長

在仿真工具中建模,可指定如表1所示參數,係統自動根據上述計算式確定等效電路參數,從而完成該器件的建模。

在pspice中仿真得到預期結果,如圖4所示。

可ke見jian參can數shu建jian模mo法fa省sheng去qu了le構gou建jian等deng效xiao電dian路lu的de過guo程cheng,隻zhi需xu通tong過guo廠chang商shang提ti供gong的de器qi件jian特te性xing參can數shu就jiu可ke以yi直zhi接jie建jian模mo。但dan該gai方fang法fa隻zhi適shi用yong於yu固gu定ding結jie構gou的de半ban導dao體ti器qi件jian。

[page]
子電路建模法
隨sui著zhe電dian子zi器qi件jian的de不bu斷duan更geng新xin,單dan純chun依yi靠kao修xiu改gai參can數shu值zhi進jin行xing建jian模mo已yi經jing遠yuan遠yuan不bu能neng滿man足zu現xian在zai電dian子zi電dian路lu仿fang真zhen的de需xu求qiu。針zhen對dui常chang用yong電dian路lu單dan元yuan和he集ji成cheng電dian路lu新xin產chan品pin,本ben文wen提ti出chu一yi種zhong為wei新xin產chan品pin建jian立li一yi個ge子zi電dian路lu模mo型xing的de方fang法fa,並bing將jiang該gai模mo型xing作zuo為wei一yi個ge器qi件jian添tian加jia到dao仿fang真zhen軟ruan件jian的de模mo型xing庫ku,在zai仿fang真zhen電dian路lu時shi用yong戶hu可ke以yi像xiang調tiao用yong自zi帶dai庫ku一yi樣yang直zhi接jie使shi用yong該gai模mo型xing。
將此種的文本文件存為.lib的後綴名後,通過ModelEditor工具將該文件與器件符號聯係在一起,就可以使用在電路仿真中。圖5為AD648C的簡單運用電路,從圖6瞬態分析結果可知建模正確。

duiyuqianmiansuoshudeqijianneibuquanbuzidianlujianmofa,henduoshihoubingbunengrucijutidelejieyigeqijianneibudesuoyoujiegou,zhezhongqingkuangxiazhinengtongguomoniqijianxingweijianmo。zhijiezaizidianluzhongyongyunsuanhanshudaitidianlubenshen。
對高壓開關穩壓器MC33363進行以下的子電路連接網格表:

語句GSUPP34VALUE={IF(V(33)<3.5,250U,3.5M)},表示節點33和節點3、4之間連接的模塊實現當輸入端33節點的電壓小於3.5V時,輸出端節點3和節點4之間的電壓為250μF,否則為3.5mV。該網格表使用到的EVALUE和GVALUE器件是將輸出量和輸入量之間運算函數關係用語句表示。EVALUE和GVALUE稱為模擬行為模型(ABM)器件,除了這兩個外還有:*SUM、*MULT、*TABLE、ABS、LOG等,帶有“*”符號的元器件,有E、G兩種類型。使用ABM器件可省去實現這些換算的電路,簡化子電路建模的工作量。
電路原理圖仿真的最大瓶頸在於電子器件的建模,針對這一難點給出兩種方法:一種是對於已經參數化的典型半導體器件,可以直接通過研究器件資料得到所需參數的數值,生成庫文件:另(ling)一(yi)種(zhong)是(shi)針(zhen)對(dui)一(yi)些(xie)單(dan)元(yuan)電(dian)路(lu)和(he)集(ji)成(cheng)電(dian)路(lu)新(xin)產(chan)品(pin),由(you)用(yong)戶(hu)自(zi)己(ji)創(chuang)建(jian)子(zi)電(dian)路(lu)的(de)網(wang)格(ge)表(biao),再(zai)轉(zhuan)化(hua)為(wei)庫(ku)文(wen)件(jian)。實(shi)驗(yan)證(zheng)明(ming)這(zhe)兩(liang)種(zhong)方(fang)法(fa)都(dou)是(shi)行(xing)之(zhi)有(you)效(xiao)的(de)。
- 噪聲中提取真值!瑞盟科技推出MSA2240電流檢測芯片賦能多元高端測量場景
- 10MHz高頻運行!氮矽科技發布集成驅動GaN芯片,助力電源能效再攀新高
- 失真度僅0.002%!力芯微推出超低內阻、超低失真4PST模擬開關
- 一“芯”雙電!聖邦微電子發布雙輸出電源芯片,簡化AFE與音頻設計
- 一機適配萬端:金升陽推出1200W可編程電源,賦能高端裝備製造
- 邊緣AI的發展為更智能、更可持續的技術鋪平道路
- 每台智能體PC,都是AI時代的新入口
- IAR作為Qt Group獨立BU攜兩項重磅汽車電子應用開發方案首秀北京車展
- 構建具有網絡彈性的嵌入式係統:來自行業領袖的洞見
- 數字化的線性穩壓器
- 車規與基於V2X的車輛協同主動避撞技術展望
- 數字隔離助力新能源汽車安全隔離的新挑戰
- 汽車模塊拋負載的解決方案
- 車用連接器的安全創新應用
- Melexis Actuators Business Unit
- Position / Current Sensors - Triaxis Hall




