基於漏極導通區特性理解MOSFET開關過程
發布時間:2009-10-26 來源:萬代半導體元件上海有限公司
中心議題:
MOSFET的柵極電荷特性與開關過程盡管MOSFET在開關電源、電機控製等一些電子係統中得到廣泛的應用,但是許多電子工程師並沒有十分清楚的理解MOSFET開關過程,以及MOSFET在開關過程中所處的狀態。一般來說,電子工程師通常基於柵極電荷理解MOSFET的開通的過程,如圖1所示。此圖在MOSFET數據表中可以查到。
圖1 AOT460柵極電荷特性
MOSFET的D和S極加電壓為VDD,當驅動開通脈衝加到MOSFET的G和S極時,輸入電容Ciss充電,G和S極電壓Vgs線性上升並到達門檻電壓VGS(th),Vgs上升到VGS(th)之前漏極電流Id≈0A,沒有漏極電流流過,Vds的電壓保持VDD不變。
當Vgs到達VGS(th)時,漏極開始流過電流Id,然後Vgs繼續上升,Id也逐漸上升,Vds仍然保持VDD。當Vgs到達米勒平台電壓VGS(pl)時,Id也上升到負載電流最大值ID,Vds的電壓開始從VDD下降。米勒平台期間,Id電流維持ID,Vds電壓不斷降低。
米勒平台結束時刻,Id電流仍然維持ID,Vds電壓降低到一個較低的值。米勒平台結束後,Id電流仍然維持ID,Vds電壓繼續降低,但此時降低的斜率很小,因此降低的幅度也很小,最後穩定在Vds=Id×Rds(on)。因此通常可以認為米勒平台結束後MOSFET基本上已經導通。
對於上述的過程,理解難點在於為什麼在米勒平台區,Vgs的電壓恒定?驅動電路仍然對柵極提供驅動電流,仍然對柵極電容充電,為什麼柵極的電壓不上升?而且柵極電荷特性對於形象的理解MOSFET的開通過程並不直觀。因此,下麵將基於漏極導通特性理解MOSFET開通過程。
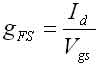
MOSFET的漏極導通特性與開關過程MOSFET的漏極導通特性如圖2所示。MOSFET與三極管一樣,當MOSFET應用於放大電路時,通常要使用此曲線研究其放大特性。隻是三極管使用的基極電流、集電極電流和放大倍數,而MOSFET使用柵極電壓、漏極電流和跨導。
圖2 AOT460的漏極導通特性
[page]
三極管有三個工作區:截止區、放大區和飽和區,MOSFET對應是關斷區、恒流區和可變電阻區。注意:MOSFET恒流區有時也稱飽和區或放大區。當驅動開通脈衝加到MOSFET的G和S極時,Vgs的電壓逐漸升高時,MOSFET的開通軌跡A-B-C-D如圖3中的路線所示。
圖3 AOT460的開通軌跡
開通前,MOSFET起始工作點位於圖3的右下角A點,AOT460的VDD電壓為48V,Vgs的電壓逐漸升高,Id電流為0,Vgs的電壓達到VGS(th),Id電流從0開始逐漸增大。
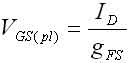
A-B就是Vgs的電壓從VGS(th)增加到VGS(pl)的過程。從A到B點的過程中,可以非常直觀的發現,此過程工作於MOSFET的恒流區,也就是Vgs電壓和Id電流自動找平衡的過程,即Vgs電壓的變化伴隨著Id電流相應的變化,其變化關係就是MOSFET的跨導:
,
- 基於功率MOSFET的柵極電荷特性的開關過程
- 基於功率MOSFET的導通區特性的開關過程
- 功率MOSFET動態經過是關斷區、恒流區和可變電阻區
- MOSFET工作於放大狀態,Id電流為Vgs電壓和跨導乘積
MOSFET的柵極電荷特性與開關過程盡管MOSFET在開關電源、電機控製等一些電子係統中得到廣泛的應用,但是許多電子工程師並沒有十分清楚的理解MOSFET開關過程,以及MOSFET在開關過程中所處的狀態。一般來說,電子工程師通常基於柵極電荷理解MOSFET的開通的過程,如圖1所示。此圖在MOSFET數據表中可以查到。

圖1 AOT460柵極電荷特性
MOSFET的D和S極加電壓為VDD,當驅動開通脈衝加到MOSFET的G和S極時,輸入電容Ciss充電,G和S極電壓Vgs線性上升並到達門檻電壓VGS(th),Vgs上升到VGS(th)之前漏極電流Id≈0A,沒有漏極電流流過,Vds的電壓保持VDD不變。
當Vgs到達VGS(th)時,漏極開始流過電流Id,然後Vgs繼續上升,Id也逐漸上升,Vds仍然保持VDD。當Vgs到達米勒平台電壓VGS(pl)時,Id也上升到負載電流最大值ID,Vds的電壓開始從VDD下降。米勒平台期間,Id電流維持ID,Vds電壓不斷降低。
米勒平台結束時刻,Id電流仍然維持ID,Vds電壓降低到一個較低的值。米勒平台結束後,Id電流仍然維持ID,Vds電壓繼續降低,但此時降低的斜率很小,因此降低的幅度也很小,最後穩定在Vds=Id×Rds(on)。因此通常可以認為米勒平台結束後MOSFET基本上已經導通。
對於上述的過程,理解難點在於為什麼在米勒平台區,Vgs的電壓恒定?驅動電路仍然對柵極提供驅動電流,仍然對柵極電容充電,為什麼柵極的電壓不上升?而且柵極電荷特性對於形象的理解MOSFET的開通過程並不直觀。因此,下麵將基於漏極導通特性理解MOSFET開通過程。
MOSFET的漏極導通特性與開關過程MOSFET的漏極導通特性如圖2所示。MOSFET與三極管一樣,當MOSFET應用於放大電路時,通常要使用此曲線研究其放大特性。隻是三極管使用的基極電流、集電極電流和放大倍數,而MOSFET使用柵極電壓、漏極電流和跨導。

圖2 AOT460的漏極導通特性
[page]
三極管有三個工作區:截止區、放大區和飽和區,MOSFET對應是關斷區、恒流區和可變電阻區。注意:MOSFET恒流區有時也稱飽和區或放大區。當驅動開通脈衝加到MOSFET的G和S極時,Vgs的電壓逐漸升高時,MOSFET的開通軌跡A-B-C-D如圖3中的路線所示。

圖3 AOT460的開通軌跡
開通前,MOSFET起始工作點位於圖3的右下角A點,AOT460的VDD電壓為48V,Vgs的電壓逐漸升高,Id電流為0,Vgs的電壓達到VGS(th),Id電流從0開始逐漸增大。
A-B就是Vgs的電壓從VGS(th)增加到VGS(pl)的過程。從A到B點的過程中,可以非常直觀的發現,此過程工作於MOSFET的恒流區,也就是Vgs電壓和Id電流自動找平衡的過程,即Vgs電壓的變化伴隨著Id電流相應的變化,其變化關係就是MOSFET的跨導:
,
跨導可以在MOSFET數據表中查到。
當Id電流達到負載的最大允許電流ID時,此時對應的柵級電壓。由於此時Id電流恒定,因此柵極Vgs電壓也恒定不變,見圖3中的B-C,此時MOSFET處於相對穩定的恒流區,工作於放大器的狀態。
開通前,Vgd的電壓為Vgs-Vds,為負壓,進入米勒平台,Vgd的負電壓絕對值不斷下降,過0後轉為正電壓。驅動電路的電流絕大部分流過CGD,以掃除米勒電容的電荷,因此柵極的電壓基本維持不變。Vds電壓降低到很低的值後,米勒電容的電荷基本上被掃除,即圖3中的C點,於是,柵極的電壓在驅動電流的充電下又開始升高,如圖3中的C-D,使MOSFET進一步完全導通。
C-D為可變電阻區,相應的Vgs電壓對應著一定的Vds電壓。Vgs電壓達到最大值,Vds電壓達到最小值,由於Id電流為ID恒定,因此Vds的電壓即為ID和MOSFET的導通電阻的乘積。
結論
基於MOSFET的漏極導通特性曲線可以直觀的理解MOSFET開通時,跨越關斷區、恒流區和可變電阻區的過程。米勒平台即為恒流區,MOSFET工作於放大狀態,Id電流為Vgs電壓和跨導乘積。
特別推薦
- 噪聲中提取真值!瑞盟科技推出MSA2240電流檢測芯片賦能多元高端測量場景
- 10MHz高頻運行!氮矽科技發布集成驅動GaN芯片,助力電源能效再攀新高
- 失真度僅0.002%!力芯微推出超低內阻、超低失真4PST模擬開關
- 一“芯”雙電!聖邦微電子發布雙輸出電源芯片,簡化AFE與音頻設計
- 一機適配萬端:金升陽推出1200W可編程電源,賦能高端裝備製造
技術文章更多>>
- 邊緣AI的發展為更智能、更可持續的技術鋪平道路
- 每台智能體PC,都是AI時代的新入口
- IAR作為Qt Group獨立BU攜兩項重磅汽車電子應用開發方案首秀北京車展
- 構建具有網絡彈性的嵌入式係統:來自行業領袖的洞見
- 數字化的線性穩壓器
技術白皮書下載更多>>
- 車規與基於V2X的車輛協同主動避撞技術展望
- 數字隔離助力新能源汽車安全隔離的新挑戰
- 汽車模塊拋負載的解決方案
- 車用連接器的安全創新應用
- Melexis Actuators Business Unit
- Position / Current Sensors - Triaxis Hall
熱門搜索






