使用PIM分析儀測試連接器互調的新方法
發布時間:2011-03-18
- 互調測量及其產生原因
- 測量數據與計算數據的對比
- 新型的互調測試方法
在(zai)微(wei)波(bo)網(wang)絡(luo)中(zhong),同(tong)軸(zhou)連(lian)接(jie)器(qi)是(shi)引(yin)起(qi)互(hu)調(tiao)的(de)主(zhu)要(yao)來(lai)源(yuan)。同(tong)軸(zhou)連(lian)接(jie)器(qi)的(de)非(fei)線(xian)性(xing)特(te)性(xing)是(shi)引(yin)起(qi)互(hu)調(tiao)的(de)主(zhu)要(yao)原(yuan)因(yin)。準(zhun)確(que)確(que)定(ding)同(tong)軸(zhou)連(lian)接(jie)器(qi)的(de)無(wu)源(yuan)互(hu)調(tiao)對(dui)整(zheng)個(ge)射(she)頻(pin)係(xi)統(tong)設(she)計(ji)有(you)重(zhong)大(da)的(de)意(yi)義(yi)。目(mu)前(qian)大(da)多(duo)數(shu)的(de)連(lian)接(jie)器(qi)生(sheng)產(chan)廠(chang)家(jia)采(cai)用(yong)的(de)測(ce)試(shi)方(fang)法(fa)都(dou)是(shi)一(yi)起(qi)測(ce)試(shi)兩(liang)個(ge)同(tong)軸(zhou)連(lian)接(jie)器(qi),具(ju)體(ti)辦(ban)法(fa)是(shi)根(gen)據(ju)需(xu)要(yao)測(ce)試(shi)的(de)連(lian)接(jie)器(qi)製(zhi)作(zuo)一(yi)個(ge)圓(yuan)桶(tong)狀(zhuang)工(gong)裝(zhuang),然(ran)後(hou)將(jiang)待(dai)測(ce)量(liang)的(de)連(lian)接(jie)器(qi)的(de)內(nei)導(dao)體(ti)鋸(ju)短(duan)使(shi)之(zhi)與(yu)外(wai)麵(mian)的(de)介(jie)質(zhi)相(xiang)齊(qi)平(ping),將(jiang)兩(liang)個(ge)連(lian)接(jie)器(qi)的(de)內(nei)導(dao)體(ti)互(hu)相(xiang)連(lian)接(jie)安(an)裝(zhuang)在(zai)工(gong)裝(zhuang)裏(li),一(yi)端(duan)接(jie)互(hu)調(tiao)儀(yi),另(ling)一(yi)端(duan)接(jie)低(di)互(hu)調(tiao)負(fu)載(zai),測(ce)量(liang)兩(liang)個(ge)連(lian)接(jie)器(qi)級(ji)聯(lian)的(de)互(hu)調(tiao)值(zhi)。這(zhe)種(zhong)測(ce)試(shi)方(fang)法(fa)有(you)三(san)個(ge)缺(que)點(dian):
(1)對不同的連接器要製作不同的工裝,程序比較麻煩,耗時長;
基於傳統的測試方法的種種缺點,本文提出一種新的連接器的互調測試方法——開kai路lu測ce試shi法fa。這zhe種zhong測ce試shi方fang法fa是shi讓rang連lian接jie器qi的de一yi端duan開kai路lu,另ling一yi端duan接jie互hu調tiao儀yi。這zhe種zhong方fang法fa可ke以yi在zai不bu破po壞huai同tong軸zhou連lian接jie器qi的de基ji礎chu上shang確que定ding同tong軸zhou連lian接jie器qi的de無wu源yuan互hu調tiao值zhi。
本(ben)文(wen)首(shou)先(xian)建(jian)立(li)一(yi)個(ge)連(lian)接(jie)器(qi)的(de)測(ce)試(shi)模(mo)型(xing),然(ran)後(hou)根(gen)據(ju)這(zhe)個(ge)模(mo)型(xing),利(li)用(yong)矢(shi)量(liang)網(wang)絡(luo)分(fen)析(xi)儀(yi)分(fen)別(bie)測(ce)量(liang)連(lian)接(jie)器(qi)模(mo)型(xing)在(zai)開(kai)路(lu)和(he)接(jie)負(fu)載(zai)兩(liang)種(zhong)情(qing)況(kuang)下(xia)的(de)負(fu)載(zai)反(fan)射(she)係(xi)數(shu)和(he)源(yuan)反(fan)射(she)係(xi)數(shu)在(zai)不(bu)同(tong)頻(pin)率(lv)的(de)值(zhi)。利(li)用(yong)這(zhe)些(xie)數(shu)據(ju)就(jiu)可(ke)以(yi)計(ji)算(suan)出(chu)微(wei)波(bo)無(wu)源(yuan)網(wang)絡(luo)中(zhong)同(tong)軸(zhou)連(lian)接(jie)器(qi)在(zai)網(wang)絡(luo)中(zhong)開(kai)路(lu)和(he)接(jie)負(fu)載(zai)兩(liang)種(zhong)情(qing)況(kuang)下(xia)的(de)互(hu)調(tiao)。最(zui)後(hou),用(yong)互(hu)調(tiao)分(fen)析(xi)儀(yi)測(ce)量(liang)連(lian)接(jie)器(qi)的(de)互(hu)調(tiao)值(zhi)驗(yan)證(zheng)了(le)這(zhe)種(zhong)方(fang)法(fa)的(de)有(you)效(xiao)性(xing)。
1 互調測量及產生原因
本文中所有PIM的測量都是采用Jonitcom公司的PIM分析儀,外型如圖1所示。其簡化的測量係統圖如圖2所示。


該係統中兩個大功率載頻f1和f2通過雙工濾波器發射到DUT,終端接50 Ω負載。PIM產生的雜散信號在DUT中產生,並在兩個方向傳播——“前向”到匹配負載,“反向”到雙工濾波器。發射激勵信號的頻率和被測的IM產物的頻 率由雙工濾波器的TX和RX通道決定。接收機測量反向傳播的IM波功率。
PIM測試分為兩種,一種是傳輸測試法,如圖3所示,另一種是反射測試法,如圖4 所示。本文采用反射法測量,發射功率均為43 dBm。當載頻為f1和f2,測量的IM產物的頻率為
研究發現連接器中的非線性失真產生於沿著連接器的方向上的某一個特殊點(很象適配器上的金屬和金屬的連接接點)。在這個基礎上,對被測器件分析。[page]


DUT非線性產生的IM形成兩個電壓波:![]()
為前向傳播IM電壓波,產生於DUT的前向端麵。
源Vfront和Vback表示出現在DUT端麵的測量係統的殘餘IM以及負載的電長度lload和負載阻抗Zload。不同的電長度 lback,lDUT,lfront也對應著不同的反射係數,為了便於分析,引入圖6的模型。源反射係數,負載反射係數包含的信息不但表明了被測器件的各種電長度,還表明了在不同負載下的匹配狀態。[page]
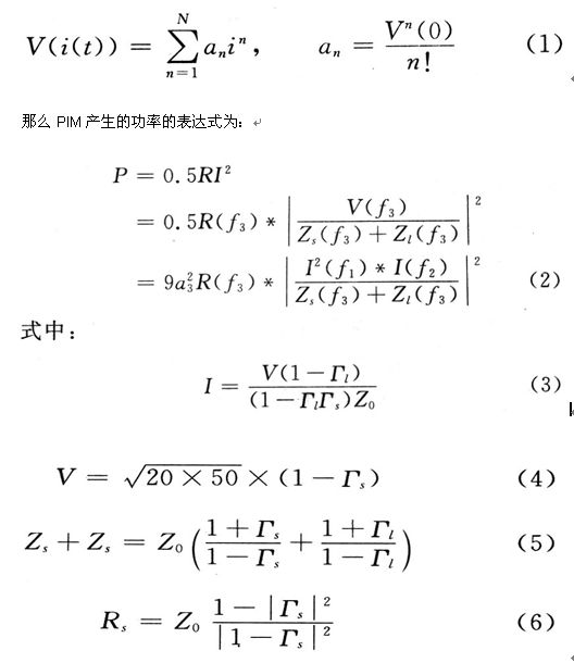
通過上麵的討論,所有IM源的電壓在相位上疊加,在點源上形成的V(i(f))可以用N級泰勒級數近似表示:
2 測量數據與計算數據的對比
為了驗證該方法的有效性,本文給出了兩個頻段的PIM值的計算與測量結果對比。頻段l:800 MHz的通信係統的發射頻段為869~894 MHz,接收頻段為824~849 MHz。如圖7所示。


- 噪聲中提取真值!瑞盟科技推出MSA2240電流檢測芯片賦能多元高端測量場景
- 10MHz高頻運行!氮矽科技發布集成驅動GaN芯片,助力電源能效再攀新高
- 失真度僅0.002%!力芯微推出超低內阻、超低失真4PST模擬開關
- 一“芯”雙電!聖邦微電子發布雙輸出電源芯片,簡化AFE與音頻設計
- 一機適配萬端:金升陽推出1200W可編程電源,賦能高端裝備製造
- 2026藍牙亞洲大會暨展覽在深啟幕
- 新市場與新場景推動嵌入式係統研發走向統一開發平台
- 維智捷發布中國願景
- 2秒啟動係統 • 資源受限下HMI最優解,米爾RK3506開發板× LVGL Demo演示
- H橋降壓-升壓電路中的交替控製與帶寬優化
- 車規與基於V2X的車輛協同主動避撞技術展望
- 數字隔離助力新能源汽車安全隔離的新挑戰
- 汽車模塊拋負載的解決方案
- 車用連接器的安全創新應用
- Melexis Actuators Business Unit
- Position / Current Sensors - Triaxis Hall

