鎖相環的組成和工作原理
發布時間:2011-11-07
中心議題:
1.鎖相環的基本組成
許多電子設備要正常工作,通常需要外部的輸入信號與內部的振蕩信號同步,利用鎖相環路就可以實現這個目的。
鎖相環路是一種反饋控製電路,簡稱鎖相環(PLL)。鎖相環的特點是:利用外部輸入的參考信號控製環路內部振蕩信號的頻率和相位。
因yin鎖suo相xiang環huan可ke以yi實shi現xian輸shu出chu信xin號hao頻pin率lv對dui輸shu入ru信xin號hao頻pin率lv的de自zi動dong跟gen蹤zong,所suo以yi鎖suo相xiang環huan通tong常chang用yong於yu閉bi環huan跟gen蹤zong電dian路lu。鎖suo相xiang環huan在zai工gong作zuo的de過guo程cheng中zhong,當dang輸shu出chu信xin號hao的de頻pin率lv與yu輸shu入ru信xin號hao的de頻pin率lv相xiang等deng時shi,輸shu出chu電dian壓ya與yu輸shu入ru電dian壓ya保bao持chi固gu定ding的de相xiang位wei差cha值zhi,即ji輸shu出chu電dian壓ya與yu輸shu入ru電dian壓ya的de相xiang位wei被bei鎖suo住zhu,這zhe就jiu是shi鎖suo相xiang環huan名ming稱cheng的de由you來lai。
鎖相環通常由鑒相器(PD)、環路濾波器(LF)和壓控振蕩器(VCO)三部分組成,鎖相環組成的原理框圖如圖8-4-1所示。鎖相環中的鑒相器又稱為相位比較器,它的作用是檢測輸入信號和輸出信號的相位差,並將檢測出的相位差信號轉換成uD(t)電壓信號輸出,該信號經低通濾波器濾波後形成壓控振蕩器的控製電壓uC(t),對振蕩器輸出信號的頻率實施控製。
2.鎖相環的工作原理
鎖相環中的鑒相器通常由模擬乘法器組成,利用模擬乘法器組成的鑒相器電路如圖8-4-2所示。
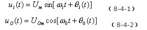
鑒相器的工作原理是:設外界輸入的信號電壓和壓控振蕩器輸出的信號電壓分別為:
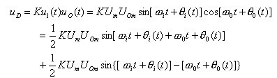
式中的ω0為壓控振蕩器在輸入控製電壓為零或為直流電壓時的振蕩角頻率,稱為電路的固有振蕩角頻率。則模擬乘法器的輸出電壓uD為:
式中的ωi為輸入信號的瞬時振蕩角頻率,θi(t)和θO(t)分別為輸入信號和輸出信號的瞬時位相,根據相量的關係可得瞬時頻率和瞬時位相的關係為:
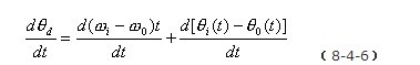
上式等於零,說明鎖相環進入相位鎖定的狀態,此時輸出和輸入信號的頻率和相位保持恒定不變的狀態,uc(t)為恒定值。當上式不等於零時,說明鎖相環的相位還未鎖定,輸入信號和輸出信號的頻率不等,uc(t)隨時間而變。
[page]
因壓控振蕩器的壓控特性如圖8-4-3所示,該特性說明壓控振蕩器的振蕩頻率ωu以ω0為中心,隨輸入信號電壓uc(t)的變化而變化。該特性的表達式
上式說明當uc(t)隨時間而變時,壓控振蕩器的振蕩頻率ωu也隨時間而變,鎖相環進入“頻率牽引”,自動跟蹤捕捉輸入信號的頻率,使鎖相環進入鎖定的狀態,並保持ω0=ωi的狀態不變。
8.4.2鎖相環的應用
1.鎖相環在調製和解調中的應用
(1)調製和解調的概念
為了實現信息的遠距離傳輸,在發信端通常采用調製的方法對信號進行調製,收信端接收到信號後必須進行解調才能恢複原信號。
所謂的調製就是用攜帶信息的輸入信號ui來控製載波信號uC的參數,使載波信號的某一個參數隨輸入信號的變化而變化。載波信號的參數有幅度、頻率和位相,所以,調製有調幅(AM)、調頻(FM)和調相(PM)三種。
調幅波的特點是頻率與載波信號的頻率相等,幅度隨輸入信號幅度的變化而變化;調頻波的特點是幅度與載波信號的幅度相等,頻率隨輸入信號幅度的變化而變化;調相波的特點是幅度與載波信號的幅度相等,相位隨輸入信號幅度的變化而變化。調幅波和調頻波的示意圖如圖8-4-4所示。
上圖的(a)是輸入信號,又稱為調製信號;圖(b)是載波信號,圖(c)是調幅波和調頻波信號。
解調是調製的逆過程,它可將調製波uO還原成原信號ui。
[page]
2.鎖相環在調頻和解調電路中的應用
調頻波的特點是頻率隨調製信號幅度的變化而變化。由8-4-6式可知,壓控振蕩器的振蕩頻率取決於輸入電壓的幅度。當載波信號的頻率與鎖相環的固有振蕩頻率ω0相等時,壓控振蕩器輸出信號的頻率將保持ω0不變。若壓控振蕩器的輸入信號除了有鎖相環低通濾波器輸出的信號uc外,還有調製信號ui,則壓控振蕩器輸出信號的頻率就是以ω0為中心,隨調製信號幅度的變化而變化的調頻波信號。由此可得調頻電路可利用鎖相環來組成,由鎖相環組成的調頻電路組成框圖如圖8-4-5所示。
根據鎖相環的工作原理和調頻波的特點可得解調電路組成框圖如圖8-4-6所示。3.鎖相環在頻率合成電路中的應用
在現代電子技術中,為了得到高精度的振蕩頻率,通常采用石英晶體振蕩器。但石英晶體振蕩器的頻率不容易改變,利用鎖相環、倍頻、分頻等頻率合成技術,可以獲得多頻率、高穩定的振蕩信號輸出。
輸出信號頻率比晶振信號頻率大的稱為鎖相倍頻器電路;輸出信號頻率比晶振信號頻率小的稱為鎖相分頻器電路。鎖相倍頻和鎖相分頻電路的組成框圖如圖8-4-7所示。
- 探究鎖相環的組成和工作原理
- 鎖相環在調製和解調中的應用
- 鎖相環在調頻和解調電路中的應用
1.鎖相環的基本組成
許多電子設備要正常工作,通常需要外部的輸入信號與內部的振蕩信號同步,利用鎖相環路就可以實現這個目的。
鎖相環路是一種反饋控製電路,簡稱鎖相環(PLL)。鎖相環的特點是:利用外部輸入的參考信號控製環路內部振蕩信號的頻率和相位。
因yin鎖suo相xiang環huan可ke以yi實shi現xian輸shu出chu信xin號hao頻pin率lv對dui輸shu入ru信xin號hao頻pin率lv的de自zi動dong跟gen蹤zong,所suo以yi鎖suo相xiang環huan通tong常chang用yong於yu閉bi環huan跟gen蹤zong電dian路lu。鎖suo相xiang環huan在zai工gong作zuo的de過guo程cheng中zhong,當dang輸shu出chu信xin號hao的de頻pin率lv與yu輸shu入ru信xin號hao的de頻pin率lv相xiang等deng時shi,輸shu出chu電dian壓ya與yu輸shu入ru電dian壓ya保bao持chi固gu定ding的de相xiang位wei差cha值zhi,即ji輸shu出chu電dian壓ya與yu輸shu入ru電dian壓ya的de相xiang位wei被bei鎖suo住zhu,這zhe就jiu是shi鎖suo相xiang環huan名ming稱cheng的de由you來lai。
鎖相環通常由鑒相器(PD)、環路濾波器(LF)和壓控振蕩器(VCO)三部分組成,鎖相環組成的原理框圖如圖8-4-1所示。鎖相環中的鑒相器又稱為相位比較器,它的作用是檢測輸入信號和輸出信號的相位差,並將檢測出的相位差信號轉換成uD(t)電壓信號輸出,該信號經低通濾波器濾波後形成壓控振蕩器的控製電壓uC(t),對振蕩器輸出信號的頻率實施控製。


2.鎖相環的工作原理
鎖相環中的鑒相器通常由模擬乘法器組成,利用模擬乘法器組成的鑒相器電路如圖8-4-2所示。
鑒相器的工作原理是:設外界輸入的信號電壓和壓控振蕩器輸出的信號電壓分別為:

式中的ω0為壓控振蕩器在輸入控製電壓為零或為直流電壓時的振蕩角頻率,稱為電路的固有振蕩角頻率。則模擬乘法器的輸出電壓uD為:
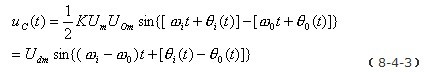
用低通濾波器LF將上式中的和頻分量濾掉,剩下的差頻分量作為壓控振蕩器的輸入控製電壓uC(t)。即uC(t)為:

式中的ωi為輸入信號的瞬時振蕩角頻率,θi(t)和θO(t)分別為輸入信號和輸出信號的瞬時位相,根據相量的關係可得瞬時頻率和瞬時位相的關係為:

[page]
因壓控振蕩器的壓控特性如圖8-4-3所示,該特性說明壓控振蕩器的振蕩頻率ωu以ω0為中心,隨輸入信號電壓uc(t)的變化而變化。該特性的表達式
上式說明當uc(t)隨時間而變時,壓控振蕩器的振蕩頻率ωu也隨時間而變,鎖相環進入“頻率牽引”,自動跟蹤捕捉輸入信號的頻率,使鎖相環進入鎖定的狀態,並保持ω0=ωi的狀態不變。
8.4.2鎖相環的應用
1.鎖相環在調製和解調中的應用
(1)調製和解調的概念
為了實現信息的遠距離傳輸,在發信端通常采用調製的方法對信號進行調製,收信端接收到信號後必須進行解調才能恢複原信號。
所謂的調製就是用攜帶信息的輸入信號ui來控製載波信號uC的參數,使載波信號的某一個參數隨輸入信號的變化而變化。載波信號的參數有幅度、頻率和位相,所以,調製有調幅(AM)、調頻(FM)和調相(PM)三種。
調幅波的特點是頻率與載波信號的頻率相等,幅度隨輸入信號幅度的變化而變化;調頻波的特點是幅度與載波信號的幅度相等,頻率隨輸入信號幅度的變化而變化;調相波的特點是幅度與載波信號的幅度相等,相位隨輸入信號幅度的變化而變化。調幅波和調頻波的示意圖如圖8-4-4所示。


解調是調製的逆過程,它可將調製波uO還原成原信號ui。

2.鎖相環在調頻和解調電路中的應用
調頻波的特點是頻率隨調製信號幅度的變化而變化。由8-4-6式可知,壓控振蕩器的振蕩頻率取決於輸入電壓的幅度。當載波信號的頻率與鎖相環的固有振蕩頻率ω0相等時,壓控振蕩器輸出信號的頻率將保持ω0不變。若壓控振蕩器的輸入信號除了有鎖相環低通濾波器輸出的信號uc外,還有調製信號ui,則壓控振蕩器輸出信號的頻率就是以ω0為中心,隨調製信號幅度的變化而變化的調頻波信號。由此可得調頻電路可利用鎖相環來組成,由鎖相環組成的調頻電路組成框圖如圖8-4-5所示。


在現代電子技術中,為了得到高精度的振蕩頻率,通常采用石英晶體振蕩器。但石英晶體振蕩器的頻率不容易改變,利用鎖相環、倍頻、分頻等頻率合成技術,可以獲得多頻率、高穩定的振蕩信號輸出。

特別推薦
- 噪聲中提取真值!瑞盟科技推出MSA2240電流檢測芯片賦能多元高端測量場景
- 10MHz高頻運行!氮矽科技發布集成驅動GaN芯片,助力電源能效再攀新高
- 失真度僅0.002%!力芯微推出超低內阻、超低失真4PST模擬開關
- 一“芯”雙電!聖邦微電子發布雙輸出電源芯片,簡化AFE與音頻設計
- 一機適配萬端:金升陽推出1200W可編程電源,賦能高端裝備製造
技術文章更多>>
- 一秒檢測,成本降至萬分之一,光引科技把幾十萬的台式光譜儀“搬”到了手腕上
- AI服務器電源機櫃Power Rack HVDC MW級測試方案
- 突破工藝邊界,奎芯科技LPDDR5X IP矽驗證通過,速率達9600Mbps
- 通過直接、準確、自動測量超低範圍的氯殘留來推動反滲透膜保護
- 從技術研發到規模量產:恩智浦第三代成像雷達平台,賦能下一代自動駕駛!
技術白皮書下載更多>>
- 車規與基於V2X的車輛協同主動避撞技術展望
- 數字隔離助力新能源汽車安全隔離的新挑戰
- 汽車模塊拋負載的解決方案
- 車用連接器的安全創新應用
- Melexis Actuators Business Unit
- Position / Current Sensors - Triaxis Hall
熱門搜索
按鈕開關
白色家電
保護器件
保險絲管
北鬥定位
北高智
貝能科技
背板連接器
背光器件
編碼器型號
便攜產品
便攜醫療
變容二極管
變壓器
檳城電子
並網
撥動開關
玻璃釉電容
剝線機
薄膜電容
薄膜電阻
薄膜開關
捕魚器
步進電機
測力傳感器
測試測量
測試設備
拆解
場效應管
超霸科技



