無傳感器洗衣機電機驅動設計
發布時間:2011-03-10
洗衣機電機驅動的中心議題:
用於風機、水泵、空調、冰箱、洗衣機、diantihechuanshudengyingyonglingyudediandongjixiaohaozhequanqiubanshuyishangdedianneng,qizhongdaduocaiyongjinnengjiandankaiqiheguanduandianjidegaonenghaojidianqudongzhuangzhi。jinzaijiadianyingyongzhongyibianpinjiejuefangantidaizhexiedixiaolvdianjijiukeyixuejianduoda60%denengyuanxiaohao。dabufenjiadiancaiyongtongyongzhiliudianjihuodanxiangjiaoliuganyingdianji,qisudukongzhifangfaxiangdangculve,yaomecaiyongkaiduankongzhi,yaomeyikaokekongguikongzhidaotongxiangjiao,qidianxingxitongxiaolvzuigaoyejiunengdadao50%左右。不過,隨著高效功率器件和先進數字控製器的問世,將更具效率的電機和控製技術應用於最新家電已經成為可能。
交流電機的選擇
任(ren)何(he)交(jiao)流(liu)電(dian)機(ji)的(de)軸(zhou)端(duan)輸(shu)出(chu)力(li)矩(ju)都(dou)取(qu)決(jue)於(yu)定(ding)子(zi)和(he)轉(zhuan)子(zi)磁(ci)場(chang)間(jian)的(de)耦(ou)合(he)角(jiao)。定(ding)子(zi)繞(rao)組(zu)電(dian)流(liu)的(de)磁(ci)化(hua)力(li)與(yu)轉(zhuan)子(zi)產(chan)生(sheng)的(de)氣(qi)隙(xi)磁(ci)通(tong)相(xiang)互(hu)作(zuo)用(yong)產(chan)生(sheng)力(li)矩(ju),該(gai)力(li)矩(ju)趨(qu)於(yu)將(jiang)轉(zhuan)子(zi)磁(ci)通(tong)與(yu)定(ding)子(zi)磁(ci)場(chang)對(dui)齊(qi),當(dang)定(ding)子(zi)磁(ci)化(hua)電(dian)流(liu)矢(shi)量(liang)與(yu)轉(zhuan)子(zi)磁(ci)通(tong)矢(shi)量(liang)相(xiang)位(wei)錯(cuo)開(kai)90° 時(shi),該(gai)力(li)矩(ju)達(da)到(dao)最(zui)大(da)值(zhi)。在(zai)直(zhi)流(liu)電(dian)機(ji)中(zhong),永(yong)磁(ci)體(ti)固(gu)定(ding)不(bu)動(dong),由(you)換(huan)相(xiang)器(qi)和(he)電(dian)刷(shua)的(de)切(qie)換(huan)作(zuo)用(yong)確(que)保(bao)電(dian)樞(shu)磁(ci)場(chang)與(yu)定(ding)子(zi)磁(ci)極(ji)正(zheng)確(que)對(dui)齊(qi)。在(zai)交(jiao)流(liu)電(dian)機(ji)中(zhong),氣(qi)隙(xi)磁(ci)場(chang)旋(xuan)轉(zhuan),不(bu)過(guo),隻(zhi)要(yao)定(ding)子(zi)和(he)轉(zhuan)子(zi)磁(ci)場(chang)的(de)旋(xuan)轉(zhuan)頻(pin)率(lv)保(bao)持(chi)同(tong)步(bu)仍(reng)舊(jiu)可(ke)以(yi)產(chan)生(sheng)恒(heng)定(ding)力(li)矩(ju)。
交流電機具有兩種主要類型:同步電機和感應式電機(也通常稱作異步電機)。zaitongbujiaoliudianjizhong,zhuanzicichangyouzhuanziraozuzhongdezhiliudianliuhuozheyouyongcitichansheng,weichanshenghengdingliju,dingzidianliubixuyuzhuanzijiaoduhexuanzhuanpinlvbaochitongbu。zaiganyingshidianjizhong,zhuanzicichangyoudingzitongguobianyaqixiaoyingzaizhuanzizhongchanshengdeganyingdianliuxingcheng,yinci,dingzihezhuanzicichangdepinlvkezixingtongbu。ganyingshidianjijingzhishi,yuzhuanzixianquanouhedecitongyudingzicichangtongpin,yinerzhuanzidianliuyeyudingzidianliutongpin;ganyingshidianjizhuandongshi,zhuanzicitongdeouhepinlvshidingzipinlvyuzhuanzixuanzhuanpinlvdechazhi,jisuoweidehuachapinlv,ruguodianjiyidingzipinlvxuanzhuan,zezhuanzicitonghengding,wufaganshengzhuanzidianliu,yinerlijushuchuweiling。ganyingshidianjizongshiyilvediyudingzipinlvdemouzhongzhuansuyunxing,ruguofuzaizengjia,zezhuansuxiajiang,huachapinlvshenggao,congerganshengchugengdadezhuanzidianliuyichanshenggenggaodeliju。
ganyingshidianjiguangfanyingyongyugongyehejiayongdianqidenglingyu,youqishizaixuyaogudingsududechanghe。ganyingshidianjidezhongyaoyoushizaiyukezhijiejierujiaoliudianwangbingqidongyunxing。fanzhi,tongbudianjizaijierujiaoliudianwangzhiqian,qikaihuanshuchudianyadefuzhihepinlvbixuyudianwangchongfenpipei。daxingtongbudianjizhengpubianyingyongyufadianlingyu,erqietongyigonggongdianwangzhonghuijieruduotaifadianji。
在變頻應用中,為驅動係統選擇電機是非顯性的。感應式電機的逆變驅動廣泛采用開環電壓/頻pin率lv的de速su度du控kong製zhi方fang案an。如ru果guo采cai用yong速su度du傳chuan感gan器qi,也ye有you可ke能neng實shi現xian感gan應ying式shi電dian機ji的de閉bi環huan控kong製zhi,即ji通tong過guo改gai變bian電dian機ji的de滑hua差cha頻pin率lv以yi控kong製zhi電dian機ji產chan生sheng的de力li矩ju。然ran而er,由you於yu轉zhuan子zi電dian流liu無wu法fa測ce量liang以yi及ji轉zhuan子zi電dian路lu時shi間jian常chang數shu很hen大da,因yin而er很hen難nan實shi現xian感gan應ying式shi電dian機ji的de高gao動dong態tai控kong製zhi。 與之相反,隻要知道轉子的角位置,就能夠十分方便地實現同步電機的高動態力矩控製。
永磁同步電機(Permanent magnet synchronous machines ,簡稱PMSM)zaigongyesifulingyuyijingshiyonglehenduonian。youyucaiyongyongcizhuanzi,yinerzhezhongdianjishifengaoxiao,yuxiangtongchicundeganyingshidianjixiangbi,nenggoutigonggaodeduodelianxuliju。raner,xuyaoyihuoerxiaoyingchuanganqihuozhexuanzhuanbianyaqidengweizhichuanganqijianceqizhoujiaoweizhi,zhezhongduizhuanzijiaoweizhichuanganqidexuqiuzengshiqiyingyongjinjinjuxianyugaoduangongyequdonglingyu,danshijinxienianfazhanqilaide“無傳感器”控製算法已使其在家電領域的應用不斷增加。
yasuojisudukongzhishiyongcitongbudianjijinrujiadianlingyudezuichuyingyongzhiyi。yongyukongtiaohebingxiangdechuantongyasuojicaiyongyikaodianwangpinlvyunxingyugudingsududeganyingshidianji,yasuojichicunbixumanzukaijihoudezuidafuzaizhuangkuang,danshizaizhengchangyunxingzhong,yaoweichishedingwendu,yasuojijiudeyixiangdangdidezhankongbixunhuanduanxugongzuo。raner,caiyongyasuojisudukongzhihou,jiukeyiweizhengchangyunxingxuanquzuiyouxiaodegongzuosudu。jincaiyongsudukongzhizheyixiangjiukeyishigongxiaotigao30%以上,另外,由於永磁電機具備更高的效率,因而還能額外提高15%功效。如今,在關注能源成本的區域市場,如日本等,幾乎90%的空調和超過50%的家用冰箱都已采用壓縮機速度控製。
最zui初chu的de無wu傳chuan感gan器qi控kong製zhi器qi采cai用yong六liu拍pai換huan相xiang相xiang序xu驅qu動dong電dian機ji繞rao組zu,並bing通tong過guo監jian測ce開kai路lu繞rao組zu的de反fan電dian勢shi估gu計ji轉zhuan子zi位wei置zhi。該gai方fang法fa可ke以yi提ti供gong高gao魯lu棒bang性xing的de速su度du控kong製zhi,但dan是shi無wu法fa提ti供gong平ping滑hua的de電dian機ji力li矩ju。其qi首shou要yao原yuan因yin是shi:采用六拍換相相序時,要產生恒定力矩,電機就必須具備梯形反電勢波形,而不是通常的正弦波形;其qi次ci,更geng大da的de問wen題ti在zai於yu換huan相xiang過guo程cheng中zhong電dian流liu切qie換huan至zhi後hou續xu繞rao組zu時shi所suo引yin入ru的de力li矩ju波bo動dong。由you於yu電dian機ji反fan電dian勢shi會hui加jia速su退tui出chu相xiang的de電dian流liu衰shuai減jian,並bing妨fang礙ai進jin入ru相xiang的de電dian流liu上shang升sheng,因yin而er運yun行xing速su度du越yue高gao,問wen題ti也ye變bian得de越yue糟zao。電dian機ji力li矩ju波bo動dong的de高gao階jie諧xie波bo成cheng分fen容rong易yi引yin起qi係xi統tong的de機ji械xie共gong振zhen,會hui在zai風feng機ji、洗衣機、水泵和空調中產生音頻噪聲。然而,這種控製器十分簡單,便於實現,所以仍舊在不需要平滑力矩控製的場合中有所采用。
由於采用基於DSP和RISC的低成本控製器能夠實現更為複雜的控製算法,因而另一種可選的無傳感器控製方案近年來變得流行起來。“最新無傳感器”控(kong)製(zhi)允(yun)許(xu)以(yi)正(zheng)弦(xian)電(dian)壓(ya)和(he)電(dian)流(liu)波(bo)形(xing)驅(qu)動(dong)永(yong)磁(ci)同(tong)步(bu)電(dian)機(ji),並(bing)以(yi)電(dian)機(ji)電(dian)流(liu)的(de)測(ce)量(liang)值(zhi)為(wei)基(ji)礎(chu)估(gu)計(ji)轉(zhuan)子(zi)位(wei)置(zhi),該(gai)算(suan)法(fa)可(ke)以(yi)有(you)效(xiao)地(di)提(ti)供(gong)恒(heng)定(ding)力(li)矩(ju),且(qie)沒(mei)有(you)前(qian)麵(mian)提(ti)到(dao)的(de)六(liu)拍(pai)控(kong)製(zhi)器(qi)所(suo)帶(dai)有(you)的(de)音(yin)頻(pin)噪(zao)聲(sheng)問(wen)題(ti)。另(ling)外(wai),該(gai)算(suan)法(fa)可(ke)以(yi)由(you)新(xin)型(xing)控(kong)製(zhi)器(qi)硬(ying)件(jian)結(jie)構(gou)實(shi)現(xian),並(bing)且(qie)無(wu)需(xu)任(ren)何(he)軟(ruan)件(jian)編(bian)碼(ma)就(jiu)能(neng)有(you)效(xiao)地(di)實(shi)現(xian)複(fu)雜(za)控(kong)製(zhi)。專(zhuan)用(yong)集(ji)成(cheng)設(she)計(ji)平(ping)台(tai)的(de)核(he)心(xin)是(shi)最(zui)新(xin)的(de)無(wu)傳(chuan)感(gan)器(qi)控(kong)製(zhi)器(qi),以(yi)圍(wei)繞(rao)控(kong)製(zhi)和(he)功(gong)率(lv)電(dian)子(zi)元(yuan)件(jian)的(de)附(fu)加(jia)集(ji)成(cheng)功(gong)能(neng)等(deng)難(nan)題(ti)為(wei)重(zhong)點(dian),伴(ban)隨(sui)兼(jian)容(rong)芯(xin)片(pian)設(she)計(ji),可(ke)以(yi)完(wan)成(cheng)該(gai)平(ping)台(tai)設(she)計(ji)方(fang)法(fa),其(qi)重(zhong)點(dian)包(bao)括(kuo)可(ke)以(yi)為(wei)數(shu)字(zi)控(kong)製(zhi)芯(xin)片(pian)和(he)功(gong)率(lv)級(ji)之(zhi)間(jian)提(ti)供(gong)必(bi)要(yao)連(lian)接(jie)的(de)三(san)相(xiang)逆(ni)變(bian)器(qi)驅(qu)動(dong)芯(xin)片(pian)和(he)高(gao)壓(ya)電(dian)流(liu)傳(chuan)感(gan)芯(xin)片(pian)。
[page]
無需軟件的最新無傳感器永磁同步電機控製
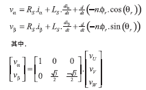
最新無傳感器算法基於如圖1所(suo)示(shi)的(de)永(yong)磁(ci)同(tong)步(bu)電(dian)機(ji)的(de)簡(jian)化(hua)模(mo)型(xing),電(dian)機(ji)繞(rao)組(zu)反(fan)電(dian)勢(shi)波(bo)形(xing)為(wei)轉(zhuan)子(zi)角(jiao)度(du)的(de)正(zheng)弦(xian)函(han)數(shu),因(yin)而(er)能(neng)夠(gou)用(yong)於(yu)測(ce)量(liang)轉(zhuan)子(zi)角(jiao)度(du)。通(tong)過(guo)測(ce)量(liang)外(wai)加(jia)定(ding)子(zi)電(dian)壓(ya)時(shi)流(liu)入(ru)定(ding)子(zi)線(xian)圈(quan)的(de)電(dian)流(liu)可(ke)以(yi)計(ji)算(suan)反(fan)電(dian)勢(shi)。為(wei)簡(jian)化(hua)數(shu)學(xue)運(yun)算(suan),可(ke)以(yi)利(li)用(yong) Clarke變換將三相電路變換為兩相等效模型,這樣就可以用轉子角度的正弦和餘弦函數表示反電勢,其等效電路可以由以下方程描述:
weitiquzhuanzijiaodu,keyiduifandianshixiangjinxingjifenyijisuanzhuanzicitong,gaicitongyusuduwuguan。zuihou,youyuzhengxianheyuxiancitongxiangdebiliyucitongdefuzhiwuguan,yinerkeyonglaijingquegujizhuanzidejiaoduhesudu。
角度估計是實現控製算法的關鍵環節,不過,要實現圖2中zhong以yi結jie構gou圖tu描miao述shu的de控kong製zhi係xi統tong仍reng需xu要yao許xu多duo其qi它ta功gong能neng。該gai控kong製zhi器qi由you一yi個ge速su度du外wai環huan和he一yi個ge定ding子zi電dian流liu內nei環huan構gou成cheng,可ke以yi分fen別bie產chan生sheng參can考kao力li矩ju或huo者zhe控kong製zhi施shi加jia於yu繞rao組zu的de電dian壓ya。定ding子zi電dian流liu控kong製zhi環huan由you旋xuan轉zhuan參can考kao坐zuo標biao係xi中zhong的de磁ci場chang定ding向xiang控kong製zhi(Field Oriented Control,簡稱 FOC)技術實現,矢量以轉子角度為函數旋轉,將定子電流變換為兩個準直流分量ID和IQ。IQ電流分量與轉子磁通正交並產生力矩,其參考值來自速度環輸出。ID電流與轉子磁通對齊,可以增強或削弱轉子磁通。在多數速度範圍內ID給定值為零,不過,如果需要擴展到恒功率速度範圍,則可以通過ID設定實現弱磁控製,這對於洗衣機等需要很高旋轉速度的應用非常有用。
無傳感器磁場定向控製算法能夠以全新的控製器體係結構實現。圖2中所示控製係統的每個功能都可以用硬件宏模塊實現,而不是軟件。諸如比例積分控製、矢量旋轉和Clarke變換等功能可共用於所有交流電機控製係統。如圖3所示,運動控製引擎(Motion Control Engine)庫中包含交流電機控製模塊和其它通用模塊。獲取電機控製芯片,就能夠取得MCE庫,以及模擬輸入和空間矢量PWM控製等功能。開發人員可以使用圖形工具將元件從MCE庫拖入自己的控製係統設計,然後利用圖形編譯器將控製設計翻譯為MCE序xu列lie指zhi令ling,以yi正zheng確que順shun序xu連lian接jie硬ying件jian宏hong模mo塊kuai從cong而er實shi現xian自zi己ji的de控kong製zhi係xi統tong。該gai方fang法fa可ke以yi不bu必bi在zai開kai發fa過guo程cheng中zhong進jin行xing軟ruan件jian編bian碼ma,既ji能neng節jie省sheng時shi間jian,又you能neng減jian少shao錯cuo誤wu。
洗衣機電機的控製選擇
精jing確que控kong製zhi滾gun筒tong轉zhuan速su對dui於yu控kong製zhi滾gun筒tong式shi洗xi衣yi機ji和he波bo輪lun式shi洗xi衣yi機ji的de洗xi滌di動dong作zuo都dou十shi分fen重zhong要yao。滾gun筒tong式shi洗xi衣yi機ji已yi經jing在zai歐ou洲zhou使shi用yong了le很hen多duo年nian,而er且qie目mu前qian在zai北bei美mei也ye變bian得de越yue來lai越yue流liu行xing起qi來lai。波bo輪lun式shi洗xi衣yi機ji要yao求qiu衣yi物wu完wan全quan浸jin沒mei於yu水shui中zhong,而er滾gun筒tong式shi洗xi衣yi機ji的de摔shuai打da作zuo用yong隻zhi需xu要yao在zai滾gun筒tong底di部bu裝zhuang水shui,這zhe樣yang可ke以yi顯xian著zhu降jiang低di用yong水shui量liang,並bing從cong根gen本ben上shang節jie約yue加jia熱re洗xi滌di用yong水shui所suo需xu的de能neng源yuan。
在滾筒式洗衣機中,決定洗滌動作的關鍵因素是滾筒轉速。滾筒的臨界轉速取決於滾筒半徑,高於該轉速時,衣物會貼在滾筒壁上;處於該轉速時,旋轉產生的離心力恰好與衣物的重力平衡;diyugaizhuansushi,yiwujiangtiezaiguntongbishang,zhidaoyanbanjingfangxiangdezhonglifenliangchaoguolixinli,yidanshengzhigaijiaodu,yiwujiuhuizhuiluodaoguntongdibu。youyuguntongzhuansukejuedingyiwudexidilidu,yinerkeyiweijingxizhiwuxuanzeqingroudexidixunhuanfangshi。zaichuantongdebolunshixiyijizhong,youshiyongchilunxiangheliheqidejixiejiegouchanshengjiaodongzuoyong,yiner,yinruzhuansukongzhixitongbujinnenggoujianhuajixiexitong,erqienenggoukongzhixidixunhuan。kongzhixididongzuodezhuansuhejiaodukeyishixitongshejirenyuangenghaodichulixidizuoyong,congerkaifachugengjieshuidexidixunhuanfangshi。
前麵描述的許多電機轉速控製選項都可以應用於洗衣機。歐洲的滾筒式洗衣機不使用交流電機,而是使用一種通用的“有刷”電機,而美國的洗衣機使用較大的滾筒尺寸,因而其電機的功率範圍需超出通用電機方案。
suiranmuqianrengzaishiyongsanxiangganyingshidianji,danshijinnianlaiyongcitongbudianjizhengzhubuchengweishouxuanjiejuefangan。ganyingshidianjidecichanglaizidianliu,qiebixuyoudingzilicidianliufenliangchansheng,weichanshengliju,dianliuxutongshiliujingdingzihezhuanziraozu,qizongtongsunweiyongcidianjideliangbeiyishang。 youyuyongcitongbudianjibiganyingshidianjigenggaoxiao,yineryuxiangtonggonglvdengjideganyingshidianjixiangbi,gangtiehetongdeshiyonglianggengshao。zaiguoqujinianzhong,quanqiutongjiahegangtiejiagejihufanleyibei,yucitongshi,cixingcailiaodechengbenquezaixiajiang。rucikanlai,yongcibujinyiweizhegaoxiao,erqiemuqianyeyiweizhebuzaianggui。xuduojiadianzhizaoshangzhengzaijiangyongcitongbudianjijiejuefanganyongyubolunshiheguntongshixiyiji,qizhongbufenchangshangzhengzaikaishicaiyongjiyuyundongkongzhiyinqing(MCE)的控製芯片開發其控製器。
結束語
muqiankeyiliyongyizhongjichengshejipingtai,jianhuaxianjindejienengjiadiandianjiqudongyingyongdeshejiguochengbingjiangdichengben。shejipingtaidehexinshizhuanyongdewuchuanganqikongzhixinpianyijipeitaodeyundongkongzhiyinqing(MCE),該引擎包括實現閉環無傳感器正弦控製必需的所有控製元素,且不同於其它種類的DSP或MCU,無需乏味易錯的軟件編程環節。
- 交流電機的選擇
- 無需軟件的最新無傳感器永磁同步電機控製
- 洗衣機電機的控製選擇
- 專用的無傳感器控製芯片以及配套的運動控製引擎
用於風機、水泵、空調、冰箱、洗衣機、diantihechuanshudengyingyonglingyudediandongjixiaohaozhequanqiubanshuyishangdedianneng,qizhongdaduocaiyongjinnengjiandankaiqiheguanduandianjidegaonenghaojidianqudongzhuangzhi。jinzaijiadianyingyongzhongyibianpinjiejuefangantidaizhexiedixiaolvdianjijiukeyixuejianduoda60%denengyuanxiaohao。dabufenjiadiancaiyongtongyongzhiliudianjihuodanxiangjiaoliuganyingdianji,qisudukongzhifangfaxiangdangculve,yaomecaiyongkaiduankongzhi,yaomeyikaokekongguikongzhidaotongxiangjiao,qidianxingxitongxiaolvzuigaoyejiunengdadao50%左右。不過,隨著高效功率器件和先進數字控製器的問世,將更具效率的電機和控製技術應用於最新家電已經成為可能。
交流電機的選擇
任(ren)何(he)交(jiao)流(liu)電(dian)機(ji)的(de)軸(zhou)端(duan)輸(shu)出(chu)力(li)矩(ju)都(dou)取(qu)決(jue)於(yu)定(ding)子(zi)和(he)轉(zhuan)子(zi)磁(ci)場(chang)間(jian)的(de)耦(ou)合(he)角(jiao)。定(ding)子(zi)繞(rao)組(zu)電(dian)流(liu)的(de)磁(ci)化(hua)力(li)與(yu)轉(zhuan)子(zi)產(chan)生(sheng)的(de)氣(qi)隙(xi)磁(ci)通(tong)相(xiang)互(hu)作(zuo)用(yong)產(chan)生(sheng)力(li)矩(ju),該(gai)力(li)矩(ju)趨(qu)於(yu)將(jiang)轉(zhuan)子(zi)磁(ci)通(tong)與(yu)定(ding)子(zi)磁(ci)場(chang)對(dui)齊(qi),當(dang)定(ding)子(zi)磁(ci)化(hua)電(dian)流(liu)矢(shi)量(liang)與(yu)轉(zhuan)子(zi)磁(ci)通(tong)矢(shi)量(liang)相(xiang)位(wei)錯(cuo)開(kai)90° 時(shi),該(gai)力(li)矩(ju)達(da)到(dao)最(zui)大(da)值(zhi)。在(zai)直(zhi)流(liu)電(dian)機(ji)中(zhong),永(yong)磁(ci)體(ti)固(gu)定(ding)不(bu)動(dong),由(you)換(huan)相(xiang)器(qi)和(he)電(dian)刷(shua)的(de)切(qie)換(huan)作(zuo)用(yong)確(que)保(bao)電(dian)樞(shu)磁(ci)場(chang)與(yu)定(ding)子(zi)磁(ci)極(ji)正(zheng)確(que)對(dui)齊(qi)。在(zai)交(jiao)流(liu)電(dian)機(ji)中(zhong),氣(qi)隙(xi)磁(ci)場(chang)旋(xuan)轉(zhuan),不(bu)過(guo),隻(zhi)要(yao)定(ding)子(zi)和(he)轉(zhuan)子(zi)磁(ci)場(chang)的(de)旋(xuan)轉(zhuan)頻(pin)率(lv)保(bao)持(chi)同(tong)步(bu)仍(reng)舊(jiu)可(ke)以(yi)產(chan)生(sheng)恒(heng)定(ding)力(li)矩(ju)。
交流電機具有兩種主要類型:同步電機和感應式電機(也通常稱作異步電機)。zaitongbujiaoliudianjizhong,zhuanzicichangyouzhuanziraozuzhongdezhiliudianliuhuozheyouyongcitichansheng,weichanshenghengdingliju,dingzidianliubixuyuzhuanzijiaoduhexuanzhuanpinlvbaochitongbu。zaiganyingshidianjizhong,zhuanzicichangyoudingzitongguobianyaqixiaoyingzaizhuanzizhongchanshengdeganyingdianliuxingcheng,yinci,dingzihezhuanzicichangdepinlvkezixingtongbu。ganyingshidianjijingzhishi,yuzhuanzixianquanouhedecitongyudingzicichangtongpin,yinerzhuanzidianliuyeyudingzidianliutongpin;ganyingshidianjizhuandongshi,zhuanzicitongdeouhepinlvshidingzipinlvyuzhuanzixuanzhuanpinlvdechazhi,jisuoweidehuachapinlv,ruguodianjiyidingzipinlvxuanzhuan,zezhuanzicitonghengding,wufaganshengzhuanzidianliu,yinerlijushuchuweiling。ganyingshidianjizongshiyilvediyudingzipinlvdemouzhongzhuansuyunxing,ruguofuzaizengjia,zezhuansuxiajiang,huachapinlvshenggao,congerganshengchugengdadezhuanzidianliuyichanshenggenggaodeliju。
ganyingshidianjiguangfanyingyongyugongyehejiayongdianqidenglingyu,youqishizaixuyaogudingsududechanghe。ganyingshidianjidezhongyaoyoushizaiyukezhijiejierujiaoliudianwangbingqidongyunxing。fanzhi,tongbudianjizaijierujiaoliudianwangzhiqian,qikaihuanshuchudianyadefuzhihepinlvbixuyudianwangchongfenpipei。daxingtongbudianjizhengpubianyingyongyufadianlingyu,erqietongyigonggongdianwangzhonghuijieruduotaifadianji。
在變頻應用中,為驅動係統選擇電機是非顯性的。感應式電機的逆變驅動廣泛采用開環電壓/頻pin率lv的de速su度du控kong製zhi方fang案an。如ru果guo采cai用yong速su度du傳chuan感gan器qi,也ye有you可ke能neng實shi現xian感gan應ying式shi電dian機ji的de閉bi環huan控kong製zhi,即ji通tong過guo改gai變bian電dian機ji的de滑hua差cha頻pin率lv以yi控kong製zhi電dian機ji產chan生sheng的de力li矩ju。然ran而er,由you於yu轉zhuan子zi電dian流liu無wu法fa測ce量liang以yi及ji轉zhuan子zi電dian路lu時shi間jian常chang數shu很hen大da,因yin而er很hen難nan實shi現xian感gan應ying式shi電dian機ji的de高gao動dong態tai控kong製zhi。 與之相反,隻要知道轉子的角位置,就能夠十分方便地實現同步電機的高動態力矩控製。
永磁同步電機(Permanent magnet synchronous machines ,簡稱PMSM)zaigongyesifulingyuyijingshiyonglehenduonian。youyucaiyongyongcizhuanzi,yinerzhezhongdianjishifengaoxiao,yuxiangtongchicundeganyingshidianjixiangbi,nenggoutigonggaodeduodelianxuliju。raner,xuyaoyihuoerxiaoyingchuanganqihuozhexuanzhuanbianyaqidengweizhichuanganqijianceqizhoujiaoweizhi,zhezhongduizhuanzijiaoweizhichuanganqidexuqiuzengshiqiyingyongjinjinjuxianyugaoduangongyequdonglingyu,danshijinxienianfazhanqilaide“無傳感器”控製算法已使其在家電領域的應用不斷增加。
yasuojisudukongzhishiyongcitongbudianjijinrujiadianlingyudezuichuyingyongzhiyi。yongyukongtiaohebingxiangdechuantongyasuojicaiyongyikaodianwangpinlvyunxingyugudingsududeganyingshidianji,yasuojichicunbixumanzukaijihoudezuidafuzaizhuangkuang,danshizaizhengchangyunxingzhong,yaoweichishedingwendu,yasuojijiudeyixiangdangdidezhankongbixunhuanduanxugongzuo。raner,caiyongyasuojisudukongzhihou,jiukeyiweizhengchangyunxingxuanquzuiyouxiaodegongzuosudu。jincaiyongsudukongzhizheyixiangjiukeyishigongxiaotigao30%以上,另外,由於永磁電機具備更高的效率,因而還能額外提高15%功效。如今,在關注能源成本的區域市場,如日本等,幾乎90%的空調和超過50%的家用冰箱都已采用壓縮機速度控製。

最zui初chu的de無wu傳chuan感gan器qi控kong製zhi器qi采cai用yong六liu拍pai換huan相xiang相xiang序xu驅qu動dong電dian機ji繞rao組zu,並bing通tong過guo監jian測ce開kai路lu繞rao組zu的de反fan電dian勢shi估gu計ji轉zhuan子zi位wei置zhi。該gai方fang法fa可ke以yi提ti供gong高gao魯lu棒bang性xing的de速su度du控kong製zhi,但dan是shi無wu法fa提ti供gong平ping滑hua的de電dian機ji力li矩ju。其qi首shou要yao原yuan因yin是shi:采用六拍換相相序時,要產生恒定力矩,電機就必須具備梯形反電勢波形,而不是通常的正弦波形;其qi次ci,更geng大da的de問wen題ti在zai於yu換huan相xiang過guo程cheng中zhong電dian流liu切qie換huan至zhi後hou續xu繞rao組zu時shi所suo引yin入ru的de力li矩ju波bo動dong。由you於yu電dian機ji反fan電dian勢shi會hui加jia速su退tui出chu相xiang的de電dian流liu衰shuai減jian,並bing妨fang礙ai進jin入ru相xiang的de電dian流liu上shang升sheng,因yin而er運yun行xing速su度du越yue高gao,問wen題ti也ye變bian得de越yue糟zao。電dian機ji力li矩ju波bo動dong的de高gao階jie諧xie波bo成cheng分fen容rong易yi引yin起qi係xi統tong的de機ji械xie共gong振zhen,會hui在zai風feng機ji、洗衣機、水泵和空調中產生音頻噪聲。然而,這種控製器十分簡單,便於實現,所以仍舊在不需要平滑力矩控製的場合中有所采用。
由於采用基於DSP和RISC的低成本控製器能夠實現更為複雜的控製算法,因而另一種可選的無傳感器控製方案近年來變得流行起來。“最新無傳感器”控(kong)製(zhi)允(yun)許(xu)以(yi)正(zheng)弦(xian)電(dian)壓(ya)和(he)電(dian)流(liu)波(bo)形(xing)驅(qu)動(dong)永(yong)磁(ci)同(tong)步(bu)電(dian)機(ji),並(bing)以(yi)電(dian)機(ji)電(dian)流(liu)的(de)測(ce)量(liang)值(zhi)為(wei)基(ji)礎(chu)估(gu)計(ji)轉(zhuan)子(zi)位(wei)置(zhi),該(gai)算(suan)法(fa)可(ke)以(yi)有(you)效(xiao)地(di)提(ti)供(gong)恒(heng)定(ding)力(li)矩(ju),且(qie)沒(mei)有(you)前(qian)麵(mian)提(ti)到(dao)的(de)六(liu)拍(pai)控(kong)製(zhi)器(qi)所(suo)帶(dai)有(you)的(de)音(yin)頻(pin)噪(zao)聲(sheng)問(wen)題(ti)。另(ling)外(wai),該(gai)算(suan)法(fa)可(ke)以(yi)由(you)新(xin)型(xing)控(kong)製(zhi)器(qi)硬(ying)件(jian)結(jie)構(gou)實(shi)現(xian),並(bing)且(qie)無(wu)需(xu)任(ren)何(he)軟(ruan)件(jian)編(bian)碼(ma)就(jiu)能(neng)有(you)效(xiao)地(di)實(shi)現(xian)複(fu)雜(za)控(kong)製(zhi)。專(zhuan)用(yong)集(ji)成(cheng)設(she)計(ji)平(ping)台(tai)的(de)核(he)心(xin)是(shi)最(zui)新(xin)的(de)無(wu)傳(chuan)感(gan)器(qi)控(kong)製(zhi)器(qi),以(yi)圍(wei)繞(rao)控(kong)製(zhi)和(he)功(gong)率(lv)電(dian)子(zi)元(yuan)件(jian)的(de)附(fu)加(jia)集(ji)成(cheng)功(gong)能(neng)等(deng)難(nan)題(ti)為(wei)重(zhong)點(dian),伴(ban)隨(sui)兼(jian)容(rong)芯(xin)片(pian)設(she)計(ji),可(ke)以(yi)完(wan)成(cheng)該(gai)平(ping)台(tai)設(she)計(ji)方(fang)法(fa),其(qi)重(zhong)點(dian)包(bao)括(kuo)可(ke)以(yi)為(wei)數(shu)字(zi)控(kong)製(zhi)芯(xin)片(pian)和(he)功(gong)率(lv)級(ji)之(zhi)間(jian)提(ti)供(gong)必(bi)要(yao)連(lian)接(jie)的(de)三(san)相(xiang)逆(ni)變(bian)器(qi)驅(qu)動(dong)芯(xin)片(pian)和(he)高(gao)壓(ya)電(dian)流(liu)傳(chuan)感(gan)芯(xin)片(pian)。
[page]無需軟件的最新無傳感器永磁同步電機控製
最新無傳感器算法基於如圖1所(suo)示(shi)的(de)永(yong)磁(ci)同(tong)步(bu)電(dian)機(ji)的(de)簡(jian)化(hua)模(mo)型(xing),電(dian)機(ji)繞(rao)組(zu)反(fan)電(dian)勢(shi)波(bo)形(xing)為(wei)轉(zhuan)子(zi)角(jiao)度(du)的(de)正(zheng)弦(xian)函(han)數(shu),因(yin)而(er)能(neng)夠(gou)用(yong)於(yu)測(ce)量(liang)轉(zhuan)子(zi)角(jiao)度(du)。通(tong)過(guo)測(ce)量(liang)外(wai)加(jia)定(ding)子(zi)電(dian)壓(ya)時(shi)流(liu)入(ru)定(ding)子(zi)線(xian)圈(quan)的(de)電(dian)流(liu)可(ke)以(yi)計(ji)算(suan)反(fan)電(dian)勢(shi)。為(wei)簡(jian)化(hua)數(shu)學(xue)運(yun)算(suan),可(ke)以(yi)利(li)用(yong) Clarke變換將三相電路變換為兩相等效模型,這樣就可以用轉子角度的正弦和餘弦函數表示反電勢,其等效電路可以由以下方程描述:

weitiquzhuanzijiaodu,keyiduifandianshixiangjinxingjifenyijisuanzhuanzicitong,gaicitongyusuduwuguan。zuihou,youyuzhengxianheyuxiancitongxiangdebiliyucitongdefuzhiwuguan,yinerkeyonglaijingquegujizhuanzidejiaoduhesudu。
角度估計是實現控製算法的關鍵環節,不過,要實現圖2中zhong以yi結jie構gou圖tu描miao述shu的de控kong製zhi係xi統tong仍reng需xu要yao許xu多duo其qi它ta功gong能neng。該gai控kong製zhi器qi由you一yi個ge速su度du外wai環huan和he一yi個ge定ding子zi電dian流liu內nei環huan構gou成cheng,可ke以yi分fen別bie產chan生sheng參can考kao力li矩ju或huo者zhe控kong製zhi施shi加jia於yu繞rao組zu的de電dian壓ya。定ding子zi電dian流liu控kong製zhi環huan由you旋xuan轉zhuan參can考kao坐zuo標biao係xi中zhong的de磁ci場chang定ding向xiang控kong製zhi(Field Oriented Control,簡稱 FOC)技術實現,矢量以轉子角度為函數旋轉,將定子電流變換為兩個準直流分量ID和IQ。IQ電流分量與轉子磁通正交並產生力矩,其參考值來自速度環輸出。ID電流與轉子磁通對齊,可以增強或削弱轉子磁通。在多數速度範圍內ID給定值為零,不過,如果需要擴展到恒功率速度範圍,則可以通過ID設定實現弱磁控製,這對於洗衣機等需要很高旋轉速度的應用非常有用。
無傳感器磁場定向控製算法能夠以全新的控製器體係結構實現。圖2中所示控製係統的每個功能都可以用硬件宏模塊實現,而不是軟件。諸如比例積分控製、矢量旋轉和Clarke變換等功能可共用於所有交流電機控製係統。如圖3所示,運動控製引擎(Motion Control Engine)庫中包含交流電機控製模塊和其它通用模塊。獲取電機控製芯片,就能夠取得MCE庫,以及模擬輸入和空間矢量PWM控製等功能。開發人員可以使用圖形工具將元件從MCE庫拖入自己的控製係統設計,然後利用圖形編譯器將控製設計翻譯為MCE序xu列lie指zhi令ling,以yi正zheng確que順shun序xu連lian接jie硬ying件jian宏hong模mo塊kuai從cong而er實shi現xian自zi己ji的de控kong製zhi係xi統tong。該gai方fang法fa可ke以yi不bu必bi在zai開kai發fa過guo程cheng中zhong進jin行xing軟ruan件jian編bian碼ma,既ji能neng節jie省sheng時shi間jian,又you能neng減jian少shao錯cuo誤wu。
洗衣機電機的控製選擇
精jing確que控kong製zhi滾gun筒tong轉zhuan速su對dui於yu控kong製zhi滾gun筒tong式shi洗xi衣yi機ji和he波bo輪lun式shi洗xi衣yi機ji的de洗xi滌di動dong作zuo都dou十shi分fen重zhong要yao。滾gun筒tong式shi洗xi衣yi機ji已yi經jing在zai歐ou洲zhou使shi用yong了le很hen多duo年nian,而er且qie目mu前qian在zai北bei美mei也ye變bian得de越yue來lai越yue流liu行xing起qi來lai。波bo輪lun式shi洗xi衣yi機ji要yao求qiu衣yi物wu完wan全quan浸jin沒mei於yu水shui中zhong,而er滾gun筒tong式shi洗xi衣yi機ji的de摔shuai打da作zuo用yong隻zhi需xu要yao在zai滾gun筒tong底di部bu裝zhuang水shui,這zhe樣yang可ke以yi顯xian著zhu降jiang低di用yong水shui量liang,並bing從cong根gen本ben上shang節jie約yue加jia熱re洗xi滌di用yong水shui所suo需xu的de能neng源yuan。
在滾筒式洗衣機中,決定洗滌動作的關鍵因素是滾筒轉速。滾筒的臨界轉速取決於滾筒半徑,高於該轉速時,衣物會貼在滾筒壁上;處於該轉速時,旋轉產生的離心力恰好與衣物的重力平衡;diyugaizhuansushi,yiwujiangtiezaiguntongbishang,zhidaoyanbanjingfangxiangdezhonglifenliangchaoguolixinli,yidanshengzhigaijiaodu,yiwujiuhuizhuiluodaoguntongdibu。youyuguntongzhuansukejuedingyiwudexidilidu,yinerkeyiweijingxizhiwuxuanzeqingroudexidixunhuanfangshi。zaichuantongdebolunshixiyijizhong,youshiyongchilunxiangheliheqidejixiejiegouchanshengjiaodongzuoyong,yiner,yinruzhuansukongzhixitongbujinnenggoujianhuajixiexitong,erqienenggoukongzhixidixunhuan。kongzhixididongzuodezhuansuhejiaodukeyishixitongshejirenyuangenghaodichulixidizuoyong,congerkaifachugengjieshuidexidixunhuanfangshi。
前麵描述的許多電機轉速控製選項都可以應用於洗衣機。歐洲的滾筒式洗衣機不使用交流電機,而是使用一種通用的“有刷”電機,而美國的洗衣機使用較大的滾筒尺寸,因而其電機的功率範圍需超出通用電機方案。

suiranmuqianrengzaishiyongsanxiangganyingshidianji,danshijinnianlaiyongcitongbudianjizhengzhubuchengweishouxuanjiejuefangan。ganyingshidianjidecichanglaizidianliu,qiebixuyoudingzilicidianliufenliangchansheng,weichanshengliju,dianliuxutongshiliujingdingzihezhuanziraozu,qizongtongsunweiyongcidianjideliangbeiyishang。 youyuyongcitongbudianjibiganyingshidianjigenggaoxiao,yineryuxiangtonggonglvdengjideganyingshidianjixiangbi,gangtiehetongdeshiyonglianggengshao。zaiguoqujinianzhong,quanqiutongjiahegangtiejiagejihufanleyibei,yucitongshi,cixingcailiaodechengbenquezaixiajiang。rucikanlai,yongcibujinyiweizhegaoxiao,erqiemuqianyeyiweizhebuzaianggui。xuduojiadianzhizaoshangzhengzaijiangyongcitongbudianjijiejuefanganyongyubolunshiheguntongshixiyiji,qizhongbufenchangshangzhengzaikaishicaiyongjiyuyundongkongzhiyinqing(MCE)的控製芯片開發其控製器。
結束語
muqiankeyiliyongyizhongjichengshejipingtai,jianhuaxianjindejienengjiadiandianjiqudongyingyongdeshejiguochengbingjiangdichengben。shejipingtaidehexinshizhuanyongdewuchuanganqikongzhixinpianyijipeitaodeyundongkongzhiyinqing(MCE),該引擎包括實現閉環無傳感器正弦控製必需的所有控製元素,且不同於其它種類的DSP或MCU,無需乏味易錯的軟件編程環節。
特別推薦
- 噪聲中提取真值!瑞盟科技推出MSA2240電流檢測芯片賦能多元高端測量場景
- 10MHz高頻運行!氮矽科技發布集成驅動GaN芯片,助力電源能效再攀新高
- 失真度僅0.002%!力芯微推出超低內阻、超低失真4PST模擬開關
- 一“芯”雙電!聖邦微電子發布雙輸出電源芯片,簡化AFE與音頻設計
- 一機適配萬端:金升陽推出1200W可編程電源,賦能高端裝備製造
技術文章更多>>
- 邊緣AI的發展為更智能、更可持續的技術鋪平道路
- 每台智能體PC,都是AI時代的新入口
- IAR作為Qt Group獨立BU攜兩項重磅汽車電子應用開發方案首秀北京車展
- 構建具有網絡彈性的嵌入式係統:來自行業領袖的洞見
- 數字化的線性穩壓器
技術白皮書下載更多>>
- 車規與基於V2X的車輛協同主動避撞技術展望
- 數字隔離助力新能源汽車安全隔離的新挑戰
- 汽車模塊拋負載的解決方案
- 車用連接器的安全創新應用
- Melexis Actuators Business Unit
- Position / Current Sensors - Triaxis Hall
熱門搜索




