驅動IC設計選型必備:自舉電容和二極管
發布時間:2014-11-27 責任編輯:sherryyu
【導讀】本篇文章主要介紹了高壓驅動ICdangzhongzijudianrongheerjiguandexuanze,bingqiegeichulejiaoweixiangxidejiangjie,geichulezaixuanzezijudianrongshisuoxuyaozhuyidejixiangneirong,xiwangdajiazaiyueduguobenpianwenzhangzhihounengduizijudianrongheerjiguandexuanzeyoujinyibudelejie。
二(er)極(ji)管(guan)是(shi)一(yi)種(zhong)在(zai)電(dian)路(lu)當(dang)中(zhong)非(fei)常(chang)常(chang)見(jian)的(de)器(qi)件(jian),這(zhe)種(zhong)器(qi)件(jian)當(dang)中(zhong)有(you)兩(liang)個(ge)電(dian)極(ji),隻(zhi)允(yun)許(xu)在(zai)電(dian)路(lu)當(dang)中(zhong)的(de)電(dian)流(liu)進(jin)行(xing)單(dan)方(fang)麵(mian)的(de)通(tong)過(guo),二(er)極(ji)管(guan)在(zai)整(zheng)流(liu)電(dian)路(lu)當(dang)中(zhong)應(ying)用(yong)的(de)比(bi)較(jiao)多(duo)。自(zi)舉(ju)電(dian)容(rong)與(yu)信(xin)號(hao)反(fan)饋(kui)有(you)關(guan),在(zai)將(jiang)輸(shu)出(chu)信(xin)號(hao)反(fan)饋(kui)回(hui)輸(shu)入(ru)端(duan)時(shi),如(ru)果(guo)相(xiang)位(wei)是(shi)相(xiang)同(tong)的(de)話(hua),屬(shu)於(yu)正(zheng)反(fan)饋(kui),主(zhu)要(yao)作(zuo)用(yong)是(shi)增(zeng)加(jia)輸(shu)出(chu),這(zhe)就(jiu)是(shi)自(zi)舉(ju)電(dian)路(lu)。本(ben)篇(pian)文(wen)章(zhang)將(jiang)為(wei)大(da)家(jia)介(jie)紹(shao)在(zai)高(gao)壓(ya)驅(qu)動(dong)IC當中自舉電容和二極管的選擇。
Vbs(驅動電路Vb 和Vs 管腳之間的電壓差)給集成電路高端驅動電路提供電源。該電源電壓必須在10-20V之間,以確保驅動集成電路能夠完全地驅動MOS柵極器件(MGT)。部分驅動集成電路有 Vbs欠壓保護,當Vbs電壓下降到一定值時,將關閉高端驅動輸出,保證MGT不會在高功耗下工作。

Vbs電源是懸浮電源,附加在Vs電壓上(Vs通常是一個高頻的方波)。有許多方法可以產生Vbs懸浮電源,其中一種如本文中介紹的自舉方式。這種方式的好處是簡單、低廉,但也有局限性。占空比和開通時間受限於自舉電容的再充電,自舉電源由二極管和電容組成,如圖1所示。
電路的工作原理如下,當Vs被拉到地時(通過下端器件或負載,視電路結構而定),15V Vcc電源通過自舉二極管(Dbs) 給自舉電容(Cbs)充電。因此給Vbs提供一個電源。
有五種以下因素影響對Vbs電源的要求:
MGT柵極電荷要求、Iqbs高端驅動電路靜態電流、驅動IC中電平轉換電路的電流、MGT柵極源漏電流、自舉電容漏電流。
最後一個因素隻有當自舉電容是電解電容時才考慮,其它類型電容可以忽略,因此建議使用非電解類電容。
下列公式列出了自舉電容應該提供的最小電荷要求:

Qg:高端器件柵極電荷
f:工作頻率
Icbs(leak):自舉電容漏電流
Qls:每個周期內,電平轉換電路中的電荷要求,500V/600V IC 為5nc,1200V IC 為20nc。
[page]
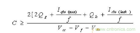
自舉電容必須能夠提供這些電荷,並且保持其電壓。否則Vbs將會有很大的電壓紋波,並且可能會低於欠壓值Vbsuv,使高端無輸出並停止工作。因此Cbs電容的電荷應是最小值的二倍,最小電容值可以由下式計算:

其中, Vf:自舉二極管正向壓降。
VLS:低端器件壓降或高端負載壓降。
內部集成的是雙向阻斷高壓MOSFET,不是二極管 。
這類IC在中小功率領域很好用,不適合高功率場合。
原則上,C/Dkeyizhemexuan。zhuyierjiguandefanxianghuifutexing。jinliangbimianyongyinghuifutexingdeerjiguan。zaierjiguanshang,zuihaonengchuanxiedianzu。weihedianrongzhiyongzhemedinaiyadedianya?而二極管卻要這麼大呢?因為電容是接在VB-BS上的,最高工作電壓是VCC,原則上,25V耐壓就足夠了。這和主回路電壓無關。而二極管要承受所有電源電壓。
選自舉電容需要注意
由式(2)計算的Cbs電容值是最小的要求,由於自舉電路的固有工作原理,低容值可能引起過充電,從而導致IC損壞。為了避免過充電和進一步減小Vbs紋波,由式(2)計算的容值應乘一個係數15。
Cbs電容隻在高端器件關斷,Vs被拉到地時才被充電。因此低端器件開通時間(或高端器件關斷時間)應足夠長,以保證被高端驅動電路吸收掉的電容Cbs 上的電荷被完全補充,因此對低端器件的開通時間(或高端器件的關斷時間)有最小要求。
另外,由於高端器件電路的結構使負載成為充電回路一部分時,負載的阻抗將直接影響自舉電容Cbs的充電。如果阻抗太高,電容將不能充分充電,這時就需要充電泵電路 。高頻,尤其是功率布線是非常講究的。高壓驅動也不例外。

自舉電容要盡可能靠近IC的管腳。如圖2所示,至少有一個低ESR的電容提供就近耦合。例如:如果使用了鋁電解電容做為自舉電容,就應再用一個瓷電電容。如果自舉電容是瓷電或鉭電容,自己做為就地耦合也就足夠了。現代的SMD電容器件 ,已經可以達到1206封裝10UF級別。原則上可以隻用一個貼片電容就足夠了。
特別推薦
- 噪聲中提取真值!瑞盟科技推出MSA2240電流檢測芯片賦能多元高端測量場景
- 10MHz高頻運行!氮矽科技發布集成驅動GaN芯片,助力電源能效再攀新高
- 失真度僅0.002%!力芯微推出超低內阻、超低失真4PST模擬開關
- 一“芯”雙電!聖邦微電子發布雙輸出電源芯片,簡化AFE與音頻設計
- 一機適配萬端:金升陽推出1200W可編程電源,賦能高端裝備製造
技術文章更多>>
- 一秒檢測,成本降至萬分之一,光引科技把幾十萬的台式光譜儀“搬”到了手腕上
- AI服務器電源機櫃Power Rack HVDC MW級測試方案
- 突破工藝邊界,奎芯科技LPDDR5X IP矽驗證通過,速率達9600Mbps
- 通過直接、準確、自動測量超低範圍的氯殘留來推動反滲透膜保護
- 從技術研發到規模量產:恩智浦第三代成像雷達平台,賦能下一代自動駕駛!
技術白皮書下載更多>>
- 車規與基於V2X的車輛協同主動避撞技術展望
- 數字隔離助力新能源汽車安全隔離的新挑戰
- 汽車模塊拋負載的解決方案
- 車用連接器的安全創新應用
- Melexis Actuators Business Unit
- Position / Current Sensors - Triaxis Hall
熱門搜索





