總結氣隙功率電感儲能的關係及意義
發布時間:2019-01-12 責任編輯:lina
【導讀】功率電感是分帶磁罩和不帶磁罩兩種,主要由磁芯和銅線組成。 在電路中主要起濾波和振蕩作用。
功率電感是分帶磁罩和不帶磁罩兩種,主要由磁芯和銅線組成。 在電路中主要起濾波和振蕩作用。
綜合前麵幾節的說明,我們對功率電感儲能關係做一個總結,方便讀者理解和查閱。
氣隙電感

氣隙電感示意圖
儲能關係
如下式,"磁芯儲能Ec"、"氣隙儲能Eg"以及"總儲能E",我們應該如何理解?

儲能關係
從上麵式子可以看出,對於"氣隙規則磁芯(EE、EFD、EPC係列型、環形等)"當
"稀釋係數Z"越大,儲能會越大,這個可以從總儲能③中可以看出;
"稀釋係數Z"越大則表明氣隙lg越大,這個可以從上麵"Z"的表達式清楚地看到;
但必須清楚,如果保電感匝數和電流不變,當氣隙lg越大,那麼意味著磁路中"磁阻Rm"會增大,進而意味著磁通密度"B"是減小的,如下⑤式可以清楚看到。所以,不能單純地認為,增加氣隙就一定能增大儲能,你必須控製變量。

稀釋係數的地位
儲能關係變換
把⑤式磁感應強度帶入①、②和③得到如下,儲能變換式

儲能關係變換
(1)安匝(N*I)保持不變時,承接上麵敘述,當保持"安(A,電流是由負載決定的)匝(N,電感線圈匝數)"不變時(為常數),不斷增加氣隙時,能量關係圖如下:

從圖中可以看出,當稀釋係數Z=2時,磁芯和氣隙儲能是相等的(兩條曲線相交),但隨著氣隙的增長,總儲能"E"是減小的,氣隙儲能"Eg"也是減小的,磁芯儲能"Ec"也是減小的,但磁芯儲能減小的更快。
(2)磁感應強度或磁通密度保持不變時,


從圖中可以看出,當保持磁通密度不變時,增加氣隙時,總能量"E"是不斷增加的,但當你要保持磁通密度不變時,從下麵⑤中可以看出,必須不斷增加匝數(電感電流是負載決定的,認為是不變的),即保持"N/Z"是常數。

那麼,我們怎樣去理解這些參數的"變"與"不變"yijichunengguanxine?womenshijidangzhongjiujingyishenmezuoweiwomendeshejine?yinweiguanxiduole,jiurongyifashenghunluan,womenzhixuyaobawozhuyidianjiukeyile,dianyuanzhongwomenshejidiangan,tongchanghaishiyidianganliangweishejimubiao,yinweitakeyihengliangdianliuwenbowenti(實質是可以產生我們想要的磁通密度,阻止電流的變化甚至是突變)所以,最終我們無論怎樣加氣隙,要保持電感量恒定。
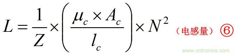
(3)電感量保持不變,如下⑥式可以看出,隻需要保持"N2/Z"是一個常數,同上述(2)保持磁通密度類似,也就是增加氣隙的同時,你需要不斷增加"匝數"才能保證電感量不變。

更進一步我們,來說明當"N2/Z"是一個常數,也就是電感量保持不變時,可以從"①"看出,總能量E是保持不變的。


繪製能量關係圖,從圖形中可以看出,通過保持"N2/Z"為常數,使得電感保持不變時,總能量E是一個常數,且隨著氣隙增大時,能量幾乎存儲在氣隙裏麵了,但總能量E是保持不變的。
那麼既然總能量E保(bao)持(chi)不(bu)變(bian)了(le),那(na)麼(me)開(kai)氣(qi)隙(xi)的(de)意(yi)義(yi)究(jiu)竟(jing)是(shi)什(shen)麼(me)呢(ne)?這(zhe)樣(yang)情(qing)況(kuang)下(xia),加(jia)入(ru)氣(qi)隙(xi),並(bing)沒(mei)有(you)改(gai)變(bian)存(cun)儲(chu)能(neng)量(liang)的(de)能(neng)力(li),但(dan)卻(que)改(gai)變(bian)了(le)能(neng)量(liang)的(de)分(fen)配(pei)比(bi),也(ye)就(jiu)是(shi)說(shuo)磁(ci)芯(xin)的(de)磁(ci)感(gan)應(ying)強(qiang)度(du)或(huo)者(zhe)磁(ci)通(tong)密(mi)度(du)"B"距離磁芯材料的飽和密度Bsat大大增強,即B2sat*Z保持不變時,當Z增加,當然Bsat當然是減小的了,這就是使得磁通密度距離飽和磁通密度餘量極度增強(強調一點,磁材料的飽和磁通密度是不能改變的)。

帶飽和磁通密度的儲能關係
zhejiushi,jiaruqixideyiyi,julibaohecitongmiduyuliangzengqiang,xiamiantushi,hongseshijiaruqixidecizhihuixian,bianhuagengjiawenhele,yichangqingkuangxiacixinbuhuijinrushunjiandebaohe,shidecixingyuanqijianhebianhuanqigongzuogengjiakekao。

加入氣隙後磁滯回線的優化
這也就是,我們常說的,為什麼加入氣隙能夠防止飽和原因了。
理解概念是基本點。
附:
相對磁導率"ur"
這裏還需要必須理解什麼是相對率"ur",那就是磁芯本質屬性的絕對磁導率"uc"相對於真空或者空氣"u0"的一種無量綱比值,稱為相對磁導率,弄清楚"相對對象"就容易記清楚了,不再混淆了。
解析巨磁電阻的工作原理及作用
如何讓DSP數字振蕩器產生移相正弦波?
詳解電阻加熱的方法有哪幾種?
簡析電容傳感器原理
在RF檢波器中的二極管為何是不可替代的?
特別推薦
- 噪聲中提取真值!瑞盟科技推出MSA2240電流檢測芯片賦能多元高端測量場景
- 10MHz高頻運行!氮矽科技發布集成驅動GaN芯片,助力電源能效再攀新高
- 失真度僅0.002%!力芯微推出超低內阻、超低失真4PST模擬開關
- 一“芯”雙電!聖邦微電子發布雙輸出電源芯片,簡化AFE與音頻設計
- 一機適配萬端:金升陽推出1200W可編程電源,賦能高端裝備製造
技術文章更多>>
- 築基AI4S:摩爾線程全功能GPU加速中國生命科學自主生態
- 一秒檢測,成本降至萬分之一,光引科技把幾十萬的台式光譜儀“搬”到了手腕上
- AI服務器電源機櫃Power Rack HVDC MW級測試方案
- 突破工藝邊界,奎芯科技LPDDR5X IP矽驗證通過,速率達9600Mbps
- 通過直接、準確、自動測量超低範圍的氯殘留來推動反滲透膜保護
技術白皮書下載更多>>
- 車規與基於V2X的車輛協同主動避撞技術展望
- 數字隔離助力新能源汽車安全隔離的新挑戰
- 汽車模塊拋負載的解決方案
- 車用連接器的安全創新應用
- Melexis Actuators Business Unit
- Position / Current Sensors - Triaxis Hall
熱門搜索
微波功率管
微波開關
微波連接器
微波器件
微波三極管
微波振蕩器
微電機
微調電容
微動開關
微蜂窩
位置傳感器
溫度保險絲
溫度傳感器
溫控開關
溫控可控矽
聞泰
穩壓電源
穩壓二極管
穩壓管
無焊端子
無線充電
無線監控
無源濾波器
五金工具
物聯網
顯示模塊
顯微鏡結構
線圈
線繞電位器
線繞電阻


