開關變壓器第二講 秒伏容量和線圈匝數的計算
發布時間:2009-06-25
xianquanzashudejisuanshikaiguandianyuanshejideguanjian,erdanjishiheshuangjishikaiguandianyuanyougebuxiangtong。benjiangzhuyaofenxizaibutongleixingdianyamaichongshuruxiachujixianquandianchang、磁場的變化,電磁能量轉換的過程,實際設計中應當注意的問題,推導出線圈匝數的計算通式
。
雙激式開關電源變壓器伏秒容量與初級線圈匝數的計算
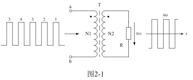
在圖2-1中,當有直流脈衝電壓輸入變壓器初級線圈a、b兩端時,在變壓器初級線圈中就有勵磁電流流過,勵磁電流會在變壓器鐵芯中產生磁通
,同時在變壓器初級線圈兩端還會產生反電動勢;反電動勢電壓的幅度與輸入電壓的幅度相等,但方向相反。

因此,根據電磁感應定律,變壓器鐵芯中磁通
的變化過程由下式決定:

上麵(2-13)、(2-14)、(2-15)式中,US為變壓器的伏秒容量,US = E×τ ,即:伏秒容量等於輸入脈衝電壓幅度與脈衝寬度的乘積,單位為伏秒,E為輸入脈衝電壓的幅度,單位為伏,τ為脈衝寬度,單位為秒;Δ
為磁通增量,單位為麥克斯韋(Mx),Δ
= S×ΔB ;ΔB磁通密度增量,ΔB = Bm-Br ,單位為高斯(Gs);S為鐵芯的截麵積,單位為平方厘米;N1為變壓器初級線圈N1繞組的匝數,K為比例常數。[page]
伏秒容量表示一個變壓器能夠承受多高的輸入電壓和多長時間的衝擊。因此,變壓器的伏秒容量US越yue大da,表biao示shi流liu過guo變bian壓ya器qi初chu級ji線xian圈quan的de勵li磁ci電dian流liu就jiu越yue小xiao。一yi般ban變bian壓ya器qi的de勵li磁ci電dian流liu都dou是shi不bu提ti供gong功gong率lv輸shu出chu的de,隻zhi有you反fan激ji式shi開kai關guan電dian源yuan是shi例li外wai,因yin此ci,在zai正zheng激ji式shi變bian壓ya器qi開kai關guan電dian源yuan或huo雙shuang激ji式shi變bian壓ya器qi開kai關guan電dian源yuan中zhong,勵li磁ci電dian流liu越yue小xiao,表biao示shi開kai關guan電dian源yuan的de工gong作zuo效xiao率lv越yue高gao。
在(zai)一(yi)定(ding)的(de)變(bian)壓(ya)器(qi)伏(fu)秒(miao)容(rong)量(liang)條(tiao)件(jian)下(xia),輸(shu)入(ru)電(dian)壓(ya)越(yue)高(gao),變(bian)壓(ya)器(qi)能(neng)夠(gou)承(cheng)受(shou)衝(chong)擊(ji)的(de)時(shi)間(jian)就(jiu)越(yue)短(duan),反(fan)之(zhi),輸(shu)入(ru)電(dian)壓(ya)越(yue)低(di),變(bian)壓(ya)器(qi)能(neng)夠(gou)承(cheng)受(shou)衝(chong)擊(ji)的(de)時(shi)間(jian)就(jiu)越(yue)長(chang);而(er)在(zai)一(yi)定(ding)的(de)工(gong)作(zuo)電(dian)壓(ya)條(tiao)件(jian)下(xia),變(bian)壓(ya)器(qi)的(de)伏(fu)秒(miao)容(rong)量(liang)越(yue)大(da),變(bian)壓(ya)器(qi)的(de)鐵(tie)芯(xin)中(zhong)的(de)磁(ci)通(tong)密(mi)度(du)就(jiu)越(yue)低(di),變(bian)壓(ya)器(qi)鐵(tie)芯(xin)就(jiu)更(geng)不(bu)容(rong)易(yi)飽(bao)和(he)。變(bian)壓(ya)器(qi)的(de)伏(fu)秒(miao)容(rong)量(liang)與(yu)變(bian)壓(ya)器(qi)的(de)體(ti)積(ji)以(yi)及(ji)功(gong)率(lv)基(ji)本(ben)無(wu)關(guan),隻(zhi)與(yu)磁(ci)通(tong)的(de)變(bian)化(hua)量(liang)大(da)小(xiao)有(you)關(guan)。
如果我們對(2-15)式稍微進行變換,就可以得到單激式開關電源變壓器初級線圈匝數計算公式:

(2-16)式就是計算單激式開關電源變壓器初級線圈N1繞組匝數的公式。式中,N1為變壓器初級線圈N1繞組的最少匝數,S為變壓器鐵芯的導磁麵積(單位:平方厘米),Bm為變壓器鐵芯的最大磁通密度(單位:高斯),Br為變壓器鐵芯的剩餘磁通密度(單位:高斯),τ為脈衝寬度,或電源開關管導通時間的寬度(單位:秒),E為脈衝電壓幅度,即開關電源的工作電壓幅度,單位為伏。
(2-16)式中的指數108在數值上正好等於(2-13)、(2-14)、(2-15)式中的比例係數K,因此,選用不同單位製,比例係數K的值就會不一樣;這裏選用CGS單位製,即:長度為厘米(cm),磁通密度為高斯(Gs),磁通單位為麥克斯韋(Mx)。


從圖2-2和圖2-3還可以看出,直接采用圖2-2和圖2-3的參數來設計單激式開關電源變壓器,在實際應用中是沒有太大價值的。因為,普通變壓器鐵芯材料的最大磁通密度Bm的值都不大,大約在3000~5000高斯之間,剩餘磁通密度Br一般卻高達最大磁通密度Bm的80%以上。[page]
因此,實際可應用的磁通密度增量ΔB一般都很小,大約隻有500高斯左右,一般不會超過1000高斯。為了增大磁通密度增量ΔB,一般都需要在變壓器鐵芯中留出一定長度的氣隙,以降低剩餘磁通密度Br的數值。
由(2-13)和(2-14)式可以知道,盡管磁化曲線不是線性的,但當輸入電壓為方波時,流過變壓器初級線圈勵磁電流所產生的磁通還是按線性規律增長的;而流過變壓器初級線圈勵磁電流以及磁場強度卻不一定是按線性規律增長,正因為如此,才使得(2-13)和(2-14)式中出現一個比例常數K 。
也就是說,當我們把(2-13)、(2-14)、(2-15)式中的係數K作zuo為wei一yi個ge比bi例li常chang數shu看kan待dai時shi,同tong時shi也ye就jiu意yi味wei著zhe,我wo們men已yi經jing把ba變bian壓ya器qi鐵tie芯xin的de導dao磁ci率lv也ye當dang成cheng了le一yi個ge常chang數shu看kan待dai了le,但dan由you於yu變bian壓ya器qi鐵tie芯xin導dao磁ci率lv的de非fei線xian性xing以yi及ji勵li磁ci電dian流liu的de非fei線xian性xing,兩liang個ge非fei線xian性xing參can數shu互hu相xiang補bu償chang,才cai使shi得de變bian壓ya器qi鐵tie芯xin中zhong的de磁ci通tong按an線xian性xing規gui律lv變bian化hua。因yin此ci,在zai變bian壓ya器qi鐵tie芯xin將jiang要yao接jie近jin飽bao和he的de時shi候hou,變bian壓ya器qi初chu級ji線xian圈quan中zhong的de勵li磁ci電dian流liu是shi非fei常chang大da的de。
在(zai)單(dan)激(ji)變(bian)壓(ya)器(qi)開(kai)關(guan)電(dian)源(yuan)中(zhong),雖(sui)然(ran)流(liu)過(guo)變(bian)壓(ya)器(qi)初(chu)級(ji)線(xian)圈(quan)中(zhong)的(de)電(dian)流(liu)所(suo)產(chan)生(sheng)的(de)磁(ci)通(tong)是(shi)按(an)線(xian)性(xing)規(gui)律(lv)上(shang)升(sheng)的(de),但(dan)變(bian)壓(ya)器(qi)鐵(tie)芯(xin)產(chan)生(sheng)退(tui)磁(ci)時(shi),磁(ci)通(tong)的(de)變(bian)化(hua)並(bing)不(bu)一(yi)定(ding)是(shi)按(an)線(xian)性(xing)規(gui)律(lv)下(xia)降(jiang)的(de)。這(zhe)個(ge)問(wen)題(ti)在(zai)第(di)一(yi)章(zhang)的(de)內(nei)容(rong)中(zhong)已(yi)經(jing)基(ji)本(ben)作(zuo)了(le)解(jie)釋(shi)。當(dang)直(zhi)流(liu)脈(mai)衝(chong)電(dian)壓(ya)過(guo)後(hou),變(bian)壓(ya)器(qi)次(ci)級(ji)線(xian)圈(quan)中(zhong)產(chan)生(sheng)的(de)是(shi)反(fan)激(ji)式(shi)電(dian)壓(ya)輸(shu)出(chu),在(zai)純(chun)電(dian)阻(zu)負(fu)載(zai)中(zhong),其(qi)輸(shu)出(chu)電(dian)壓(ya)一(yi)般(ban)是(shi)一(yi)個(ge)按(an)指(zhi)數(shu)規(gui)律(lv)下(xia)降(jiang)的(de)電(dian)壓(ya)脈(mai)衝(chong),因(yin)此(ci),其(qi)對(dui)應(ying)的(de)磁(ci)通(tong)增(zeng)量(liang)就(jiu)不(bu)可(ke)能(neng)是(shi)按(an)線(xian)性(xing)規(gui)律(lv)變(bian)化(hua),而(er)應(ying)該(gai)也(ye)是(shi)按(an)指(zhi)數(shu)規(gui)律(lv)變(bian)化(hua)的(de),不(bu)過(guo)後(hou)一(yi)種(zhong)指(zhi)數(shu)規(gui)律(lv)正(zheng)好(hao)是(shi)對(dui)前(qian)一(yi)種(zhong)指(zhi)數(shu)規(gui)律(lv)進(jin)行(xing)積(ji)分(fen)的(de)結(jie)果(guo)。這(zhe)種(zhong)對(dui)應(ying)關(guan)係(xi)從(cong)(2-13)和(2-14)式中也很容易可以看得出來。
這裏順便指出:單激式變壓器開關電源中,對變壓器鐵芯產生磁化作用的隻有流過變壓器初級線圈的勵磁電流,因此,勵磁電流也稱磁化電流;而對變壓器鐵芯產生退磁作用的是變壓器初、次級線圈產生的反電動勢,以及由反電動勢產生的電流,即:反激輸出電壓和電流;而正激輸出電壓和電流對變壓器鐵芯的磁化和退磁不起作用。
因為,勵磁電流雖然會產生正激電壓,但不能提供正激電流輸出,這相當於變壓器次級線圈處於開路時的情況一樣;當變壓器次級線圈有正激電流輸出時,在變壓器初級線圈中也相應要增加一個電流,這個電流是在原勵磁電流的基礎上相應增加的;這zhe個ge新xin增zeng電dian流liu產chan生sheng的de磁ci通tong與yu正zheng激ji輸shu出chu電dian流liu產chan生sheng的de磁ci通tong,在zai數shu值zhi上shang完wan全quan相xiang等deng,但dan方fang向xiang相xiang反fan,兩liang者zhe互hu相xiang抵di消xiao,即ji它ta們men對dui磁ci化hua和he退tui磁ci都dou不bu起qi作zuo用yong。[page]
雙激式開關電源變壓器伏秒容量與初級線圈匝數的計算

在圖2-7中,對於雙激式開關電源變壓器,每輸入一個交流脈衝電壓,除了第一個輸入脈衝的磁通密度變化範圍是從0到最大值Bm以外,其餘輸入脈衝,磁通密度的變化範圍都是從負的最大值-Bm到正的最大值Bm ,或從正的最大值Bm到負的最大值-Bm ,即:每輸入一個交流脈衝電壓,磁通密度的增量ΔB都是最大磁通密度Bm的2倍(2Bm)。因此,把這個結果代入(2-13)和(2-14)式,即可求得:

(2-17)和(2-18)式,就是計算雙激式開關電源變壓器初級線圈N1繞組匝數的公式。式中,N1為變壓器初級線圈N1繞組的最少匝數,S為變壓器鐵芯的導磁麵積(單位:平方厘米),Bm為變壓器鐵芯的最大磁通密度(單位:高斯),τ為脈衝寬度,或電源開關管導通時間的寬度(單位:秒),E為脈衝電壓的幅度,即開關電源的工作電壓幅度,單位為伏,F為開關電源的工作頻率,單位赫芝。
同樣,我們把(2-17)式中的輸入脈衝電壓幅度E與脈衝寬度τ的乘積定義為變壓器的伏秒容量,用US來表示(單位:伏秒),即:US = E×τ 。
這裏還需指出,使用(2-17)和(2-18)式計算雙激式開關電源變壓器初級線圈N1繞組的匝數是有條件的,條件就是輸入交流脈衝電壓正、負半周的伏秒容量Us必須相等。如果不相等(2-17)和(2-18)式中的磁通密度增量ΔB就不能用2Bm來表示,而應該用Bm和-Bm這兩個實際變量的差值,即:ΔB = Bm-(-Bm),這裏姑且把Bm和-Bm都看成是變量更合適。
把(2-17)式和(2-18)式與(2-16)式(shi)進(jin)行(xing)對(dui)比(bi)很(hen)容(rong)易(yi)看(kan)出(chu),在(zai)變(bian)壓(ya)器(qi)鐵(tie)芯(xin)的(de)導(dao)磁(ci)麵(mian)積(ji)以(yi)及(ji)輸(shu)入(ru)電(dian)壓(ya)幅(fu)度(du)完(wan)全(quan)相(xiang)等(deng)的(de)條(tiao)件(jian)下(xia),雙(shuang)激(ji)式(shi)開(kai)關(guan)電(dian)源(yuan)變(bian)壓(ya)器(qi)鐵(tie)芯(xin)中(zhong)的(de)磁(ci)通(tong)密(mi)度(du)變(bian)化(hua)範(fan)圍(wei)要(yao)比(bi)單(dan)激(ji)式(shi)開(kai)關(guan)電(dian)源(yuan)變(bian)壓(ya)器(qi)鐵(tie)芯(xin)中(zhong)的(de)磁(ci)通(tong)密(mi)度(du)變(bian)化(hua)範(fan)圍(wei)大(da)很(hen)多(duo);huozhezaifumiaorongliangwanquanxiangdengdetiaojianxia,shuangjishikaiguandianyuanbianyaqichujixianquandezashuyaobidanjishikaiguandianyuanbianyaqichujixianquandezashushaohenduo。yinci,yongyushuangjishikaiguandianyuanbianyaqi,yibandoubuxuyaozaiqibianyaqitiexinzhongliuqixi。
在(2-17)和(2-18)式中,對於大功率雙激式開關電源變壓器的鐵芯,其最大磁通密度Bm的取值一般不要超過3000高斯。如果Bm值取得過高,當開關器件偶然發生誤觸發,使圖2-7中的相位出錯時,很容易使變壓器鐵芯出現磁飽和,致使開關電源工作電流過大而損壞。
各種波形電源變壓器初級線圈匝數的計算
(2-18)式雖然是用於計算雙激式開關電源變壓器初級線圈N1繞組匝數的公式,但隻需把式中的某個別參數稍微進行變換或修改,同樣可以用於計算其它波形電源變壓器初級線圈匝數的公式。
[page]
這裏,我們先來推導用於計算正弦波電源變壓器初級線圈匝數的公式。方法如圖2-8所示,先求正弦電壓的半周平均值Ua,因為正弦電壓的半周平均值Ua正好等於方波電壓的幅值E,因此,隻需把正弦電壓的半周平均值代入(2-18)式,即可得到計算正弦波電源變壓器初級線圈匝數的公式。
但正弦電壓的半周平均值Ua一般很少人使用,因此,還需要把正弦電壓的半周平均值Ua再轉換成正弦電壓的有效值U;由於正弦電壓的有效值U等與正弦電壓半周平均值Ua的1.11倍,即:U = 1.11Ua 。由此求得正弦波電源變壓器初級線圈匝數的計算公式為:

(2-19)式為計算正弦波電源變壓器初級線圈N1繞組匝數的公式。式中,N1為變壓器初級線圈N1繞組的最少匝數,S為變壓器鐵芯的導磁麵積(單位:平方厘米),Bm為變壓器鐵芯的最大磁通密度(單位:高斯),U為正弦波輸入電壓有效值,單位為伏,F為正弦波的頻率,單位赫芝。
這種計算方法,對於非正弦波同樣有效。圖2-9是一個正、負脈衝幅度以及脈衝寬度均不相等的交流脈衝波形,我們同樣可以用分別計算它們正、負半周平均值Ua、-Ua的方法,然後用平均值Ua替代(2-17)或(2-18)式中的矩形脈衝幅度E 。

當然圖2-9中的條件是正、負脈衝的伏秒容量均應相等,如果不相等,可采取兼顧單、雙激開關電源變壓器初級線圈匝數的計算方法,即:兩種方法同時考慮,根據偏重取折中。

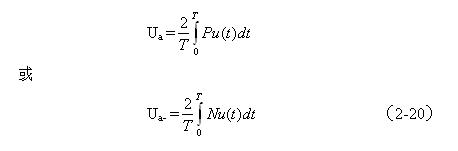
各種波形的半周平均值Ua由下式求得:

(2-19)、(2-20)式中,Ua和Ua-分別為各種波形的正、負半周平均值,Pu(t)和Nu(t)分別為各種波形的正波形函數(正半周)和負波形函數(負半周),T為種波形的周期。大部分交流電壓波形,其正、負半周平均值的絕對值都相等,但符號相反。
順便說明,這裏的半周平均值,並不是一般意義上的正、fubanzhouboxingwanquanduichengjiaoliudianyazhengbanzhou,huofubanzhoudepingjunzhi,zhelidebanzhoupingjunzhishifanzhizhenggezhouqizhongdezhengbanbodianyahuofubanbodianyazaibangezhoushijianneidepingjunzhi。rutu2-9所示。另外,(2-19)、(2-20)式中的半周平均值Ua和Ua-與第一章中(1-73)、(1-74)、(1-75)式定義的半波平均值Upa和Upa-也有一點差別,Ua和Ua-與Upa和Upa-的差別,主要是在分母上。
- 噪聲中提取真值!瑞盟科技推出MSA2240電流檢測芯片賦能多元高端測量場景
- 10MHz高頻運行!氮矽科技發布集成驅動GaN芯片,助力電源能效再攀新高
- 失真度僅0.002%!力芯微推出超低內阻、超低失真4PST模擬開關
- 一“芯”雙電!聖邦微電子發布雙輸出電源芯片,簡化AFE與音頻設計
- 一機適配萬端:金升陽推出1200W可編程電源,賦能高端裝備製造
- 突破工藝邊界,奎芯科技LPDDR5X IP矽驗證通過,速率達9600Mbps
- 通過直接、準確、自動測量超低範圍的氯殘留來推動反滲透膜保護
- 從技術研發到規模量產:恩智浦第三代成像雷達平台,賦能下一代自動駕駛!
- 從機械執行到智能互動:移遠Q-Robotbox助力具身智能加速落地
- 品英Pickering將亮相2026航空電子國際論壇,展示航電與電池測試前沿方案
- 車規與基於V2X的車輛協同主動避撞技術展望
- 數字隔離助力新能源汽車安全隔離的新挑戰
- 汽車模塊拋負載的解決方案
- 車用連接器的安全創新應用
- Melexis Actuators Business Unit
- Position / Current Sensors - Triaxis Hall



