開關變壓器第三講 變壓器線圈電感量計算..
發布時間:2009-06-29
在開關電源電路設計或電路試驗過程中,經常要對線圈或導線的電感以及線圈的匝數進行計算,以便對電路參數進行調整和改進。下麵僅列出多種線圈電感量的計算方法以供參考
在進行電路計算的時候,一般都采用SI國際單位製,即導磁率采用相對導磁率與真空導磁率的乘積,即:
,其中相對導磁率
是一個沒有單位的係數,真空導磁率
的單位為H/m。
1、圓截麵直導線的電感

圓截麵直導線如圖2-32所示,其電感為:

2、同軸電纜線的電感

同軸電纜線如圖2-33所示,其電感為:

[page]
3、雙線製傳輸線的電感

雙線製傳輸線如圖2-34所示,其電感為:

4、兩平行直導線之間的互感
兩平行直導線如圖2-34所示,其互感為:

5、圓環的電感

[page]
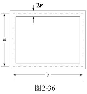
5、矩型線圈的電感

矩形線圈如圖2-36所示,其電感為:


6、螺旋線圈的電感
[page]
螺旋線圈如圖2-37所示,其電感為:


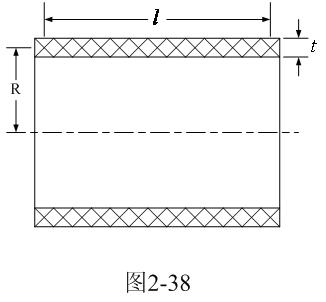
7、多層繞組線圈的電感

多層繞組線圈如圖2-38所示,其電感為:
[page]
【說明】上式是用來計算多層線圈繞組、截麵為圓形的空心線圈的電感計算公式。長岡係數k可查閱表2-1,係數c可查閱表2-2。當線圈內部有磁芯時,有磁芯線圈的電感是空心線圈電感的
倍,
是(shi)磁(ci)芯(xin)的(de)相(xiang)對(dui)導(dao)磁(ci)率(lv)。相(xiang)對(dui)導(dao)磁(ci)率(lv)的(de)測(ce)試(shi)方(fang)法(fa)很(hen)簡(jian)單(dan),隻(zhi)需(xu)把(ba)有(you)磁(ci)芯(xin)的(de)線(xian)圈(quan)和(he)空(kong)心(xin)線(xian)圈(quan)分(fen)別(bie)進(jin)行(xing)測(ce)試(shi),通(tong)過(guo)對(dui)比(bi)即(ji)可(ke)求(qiu)出(chu)相(xiang)對(dui)導(dao)磁(ci)率(lv)的(de)大(da)小(xiao)。

8、變壓器線圈的電感
變壓器線圈如圖2-39所示,其電感為:


【說明】shangshishiyonglaijisuanbianyaqixianquandiangandejisuangongshi。youyubianyaqitiexindecihuilujibenshifengbide,bianyaqitiexindepingjundaocilvxiangduilaishuobijiaoda。tiexindedaocilvyibanzaichanpinjishushoucezhongdouhuigeichu,danyouyudaduoshukaiguandianyuanbianyaqidetiexindouliuyouqixi,liuyouqixidecihuiluhuichuxiancichangqiangduyijiciganyingqiangdufenbubujunyun,yinci,(2-108)式中的導磁率隻能使用平均導磁率,技術手冊中的數據不能直接使用。
在這種情況下,最好的方法是先製作一個簡單樣品,例如,在某個選好的變壓器鐵芯的骨架上繞一個簡單線圈(比如匝數為10),然ran後hou對dui線xian圈quan的de電dian感gan量liang進jin行xing測ce試shi,或huo者zhe找zhao一yi個ge已yi知zhi線xian圈quan匝za數shu與yu電dian感gan量liang的de樣yang品pin作zuo為wei參can考kao。知zhi道dao了le線xian圈quan樣yang品pin的de電dian感gan量liang後hou,隻zhi需xu把ba已yi知zhi參can數shu代dai入ru(2-108)或(2-94)式,即可求出其它未知參數,然後把所有已知參數定義為一個常數k;最後電感的計算公司就可以簡化為:L = kN2 ,這樣,電感量的計算就變得非常簡單。
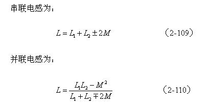
9、兩個線圈的互感
兩線圈的連接方法如圖2-40所示。其中圖2-40-a和圖2-40-b分別為正、反向串聯;圖2-40-c和圖2-40-d分別為正、反向並聯。


其中:
L:兩個線圈連接後的電感 [H]
L1、L2 :分別為線圈1與線圈2的自感 [H]
M:兩個線圈的互感 [H]
【說明】互感M有正負,圖2-40-a和圖2-40-c的接法互感M為正,圖2-40-b和圖2-40-d的接法互感M為負。兩個線圈之間的互感M為:

【說明】互感的大小,取決兩個線圈的結構和兩個線圈的相對位置以及導磁物質。當K=1時,
,這時的耦合稱為全耦合,它表示一個線圈產生的磁通全部從另一個線圈通過(沒有漏磁通)。但在實際應用中,無論任何結構的兩個線圈總會產生漏磁通,因此,耦合係數k總是一個小於1的數。一般帶有鐵芯的變壓器漏感都比較小,因此,變壓器初、次級線圈之間的偶合係數可以認為約等於1。
- 噪聲中提取真值!瑞盟科技推出MSA2240電流檢測芯片賦能多元高端測量場景
- 10MHz高頻運行!氮矽科技發布集成驅動GaN芯片,助力電源能效再攀新高
- 失真度僅0.002%!力芯微推出超低內阻、超低失真4PST模擬開關
- 一“芯”雙電!聖邦微電子發布雙輸出電源芯片,簡化AFE與音頻設計
- 一機適配萬端:金升陽推出1200W可編程電源,賦能高端裝備製造
- 從機械執行到智能互動:移遠Q-Robotbox助力具身智能加速落地
- 品英Pickering將亮相2026航空電子國際論壇,展示航電與電池測試前沿方案
- 模擬芯片設計師的噩夢:晶體管差1毫伏就廢了,溫度升1度特性全飄
- 3A大電流僅需3x1.6mm?意法半導體DCP3603重新定義電源設計
- 芯科科技Tech Talks與藍牙亞洲大會聯動,線上線下賦能物聯網創新
- 車規與基於V2X的車輛協同主動避撞技術展望
- 數字隔離助力新能源汽車安全隔離的新挑戰
- 汽車模塊拋負載的解決方案
- 車用連接器的安全創新應用
- Melexis Actuators Business Unit
- Position / Current Sensors - Triaxis Hall



