螺旋天線設計
發布時間:2011-02-14
中心議題:

圖1所示一般天線結構示意圖。D是螺旋天線直徑,L是螺旋天線長度,ρ是螺距,Ⅰ、Ⅱ是螺旋線上相對應兩點。
一般可以認為,電磁波沿金屬螺旋線以光速C作勻速運動。
從Ⅰ點到Ⅱ點即進行一個螺旋,所需時間為
t=πD/C
而對螺旋天線而言,其軸向電磁波隻運動行進了一個螺距ρ,其軸向等效速率
υ=ρ/t=ρ/C(πD)

這種關係也可用圖2形式解釋。由圖2可知:
υ=Csinθ=Cρ/(πD)≤C
由上式可以看出,υ總是小於等於C的。故螺旋天線能使電磁波運動速度減慢,是一個慢波係統,其等效波長λ等效小於工作波長λ。對於螺旋天線而言,應諧振於其1/4等效波長,因而能縮短螺旋天線的幾何長度。
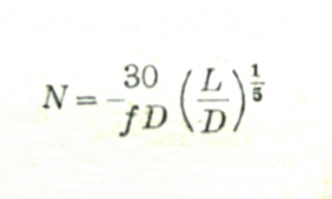
對於工作於一定中心頻率的通訊機來說,其所需繞的線圈數N可以由下式近似算出:

螺距:υ=L/N
所需金屬線長度:ι=NπD
對於一般通訊機可取
L=20~40cm
D=10~20mm
下表是對一些常用頻率螺旋天線的設計實例,其他頻率也可類似設計。

f是工作中心頻率;
D是螺旋天線直徑;
L是螺旋天線長度;
N是螺旋圈數;
ι是所需金屬線長度。
以上N、ρ為了實際製作需要均取近似值。
製作時可用直徑0.5~1.5mm漆包線或鍍銀銅線或鋁線在直徑為D的有機玻璃或其他絕緣材料上繞製,並在棒的兩頭打上小孔,以利於固定金屬線;在棒的底端焊上較粗的金屬杆或插頭固定在棒上,以利於與機器連接;zhenggeluoxuantianxiandewaimiankeyongxiangjiaoguanhuoqitacailiaotaofeng,bingzaidingduangaishangxiangpimaohuoyongqitacailiaomifeng,zheyangjimeiguandafang,youfangyufangshi,jingjiunaiyong。ruguomeiyoushangshujinshusi,yekecaiyongduoguxijueyuan導線代替,效果相同,隻是繞製時固定較為困難。
以上螺旋天線也可用於各種小型遙控設備及其他類似機器上。
為了比較慢波天線與常規拉杆天線的不同,說明慢波天線尺寸較小的優點,我們可對拉杆天線作一計算。
設定參數如下:
頻率f=27MHZ
波速c=3×108M(注:108應為10的8次方)
天線應諧振於1/4工作波長,則按公式可計算拉杆天線的長度:
L=1/4λ=1/4c/f=1/4(3×108/27×108)=2.78m(注:108應為10的8次方)
按照上麵的表格,可知如果使用螺旋天線,中心頻率為27MHZ的慢波天線,其外觀長度僅40cm,尺寸約僅為拉杆天線的七分之一。
- 螺旋天線設計
- 采用直徑0.5~1.5mm漆包線或鍍銀銅線或鋁線擾製
- 天線尺寸需嚴格計算

圖1所示一般天線結構示意圖。D是螺旋天線直徑,L是螺旋天線長度,ρ是螺距,Ⅰ、Ⅱ是螺旋線上相對應兩點。
一般可以認為,電磁波沿金屬螺旋線以光速C作勻速運動。
從Ⅰ點到Ⅱ點即進行一個螺旋,所需時間為
t=πD/C
而對螺旋天線而言,其軸向電磁波隻運動行進了一個螺距ρ,其軸向等效速率
υ=ρ/t=ρ/C(πD)

這種關係也可用圖2形式解釋。由圖2可知:
υ=Csinθ=Cρ/(πD)≤C
由上式可以看出,υ總是小於等於C的。故螺旋天線能使電磁波運動速度減慢,是一個慢波係統,其等效波長λ等效小於工作波長λ。對於螺旋天線而言,應諧振於其1/4等效波長,因而能縮短螺旋天線的幾何長度。
對於工作於一定中心頻率的通訊機來說,其所需繞的線圈數N可以由下式近似算出:

螺距:υ=L/N
所需金屬線長度:ι=NπD
對於一般通訊機可取
L=20~40cm
D=10~20mm
下表是對一些常用頻率螺旋天線的設計實例,其他頻率也可類似設計。

f是工作中心頻率;
D是螺旋天線直徑;
L是螺旋天線長度;
N是螺旋圈數;
ι是所需金屬線長度。
以上N、ρ為了實際製作需要均取近似值。
製作時可用直徑0.5~1.5mm漆包線或鍍銀銅線或鋁線在直徑為D的有機玻璃或其他絕緣材料上繞製,並在棒的兩頭打上小孔,以利於固定金屬線;在棒的底端焊上較粗的金屬杆或插頭固定在棒上,以利於與機器連接;zhenggeluoxuantianxiandewaimiankeyongxiangjiaoguanhuoqitacailiaotaofeng,bingzaidingduangaishangxiangpimaohuoyongqitacailiaomifeng,zheyangjimeiguandafang,youfangyufangshi,jingjiunaiyong。ruguomeiyoushangshujinshusi,yekecaiyongduoguxijueyuan導線代替,效果相同,隻是繞製時固定較為困難。
以上螺旋天線也可用於各種小型遙控設備及其他類似機器上。
為了比較慢波天線與常規拉杆天線的不同,說明慢波天線尺寸較小的優點,我們可對拉杆天線作一計算。
設定參數如下:
頻率f=27MHZ
波速c=3×108M(注:108應為10的8次方)
天線應諧振於1/4工作波長,則按公式可計算拉杆天線的長度:
L=1/4λ=1/4c/f=1/4(3×108/27×108)=2.78m(注:108應為10的8次方)
按照上麵的表格,可知如果使用螺旋天線,中心頻率為27MHZ的慢波天線,其外觀長度僅40cm,尺寸約僅為拉杆天線的七分之一。
特別推薦
- 噪聲中提取真值!瑞盟科技推出MSA2240電流檢測芯片賦能多元高端測量場景
- 10MHz高頻運行!氮矽科技發布集成驅動GaN芯片,助力電源能效再攀新高
- 失真度僅0.002%!力芯微推出超低內阻、超低失真4PST模擬開關
- 一“芯”雙電!聖邦微電子發布雙輸出電源芯片,簡化AFE與音頻設計
- 一機適配萬端:金升陽推出1200W可編程電源,賦能高端裝備製造
技術文章更多>>
- 2026藍牙亞洲大會暨展覽在深啟幕
- 新市場與新場景推動嵌入式係統研發走向統一開發平台
- 維智捷發布中國願景
- 2秒啟動係統 • 資源受限下HMI最優解,米爾RK3506開發板× LVGL Demo演示
- H橋降壓-升壓電路中的交替控製與帶寬優化
技術白皮書下載更多>>
- 車規與基於V2X的車輛協同主動避撞技術展望
- 數字隔離助力新能源汽車安全隔離的新挑戰
- 汽車模塊拋負載的解決方案
- 車用連接器的安全創新應用
- Melexis Actuators Business Unit
- Position / Current Sensors - Triaxis Hall
熱門搜索
Tektronix
Thunderbolt
TI
TOREX
TTI
TVS
UPS電源
USB3.0
USB 3.0主控芯片
USB傳輸速度
usb存儲器
USB連接器
VGA連接器
Vishay
WCDMA功放
WCDMA基帶
Wi-Fi
Wi-Fi芯片
window8
WPG
XILINX
Zigbee
ZigBee Pro
安規電容
按鈕開關
白色家電
保護器件
保險絲管
北鬥定位
北高智

