卡類終端的PCB熱設計方法
發布時間:2011-03-14 來源:EEPW
中心議題:
- 類終端的功耗現狀和麵臨的挑戰
- 卡類終端產品的一種熱布局算法
- 器件的熱工作可靠性分析
PCB布局遵循的常規方法很多,如:熱點分散;將發熱最大的器件布置在散熱最佳位置;高熱耗散器件在與基板連接時應盡能減少它們之間的熱阻;PCB的每一層要大量鋪銅且多打通孔等。而在進行PCB布局前,對PCB的熱設計至關重要。
市場上卡類終端的功耗現狀和麵臨的挑戰
隨著LTE無線網絡的部署,下行的數據速率已經達到並超過了1Gbps,yaochulizhemegaodeshujusulv,shujuzhongduanbixuyaohengaodeshujuchulinengli,tongshibirandailaigonghaodezengjia。erwomenzhengzaiyanfadejikuanchanpinjunchuxianleredewenti,youjikuanyangjizaidasulvshujuchuanshushishenzhizaijifenzhongneijiuchuxianxitongbengkuidexianxiang,erzhexiewentidegenyuanjiushifare,reshejiyijingchengweilekaleizhongduandeyigetiaozhan。pingguogongsiiPADchanpindeyigeshili,daliangyonghufankuiqichanpinzaijiaogaohuanjingxiachuxianwenti,zhecongcemianfanyinglereshejiduiyuzhongduanchanpindezhongyaoxing。gonghaoreyijingchengweilegongchengshizaichanpinshejidechuqixuyaorenzhenkaolvdeyigeguanjianwenti。
終端平台的熱源器件主要有基帶芯片、射頻芯片、功放、電源管理芯片等,這些器件的功耗有的可以從廠商給的datasheet中查到,有的查不到,對於從datasheet中查不到功耗數據的熱源器件,需要根據經驗或同類項目的測試數據進行估算,還可以直接向平台提供商索取相關數據。表1為某項目主要熱功耗器件的功耗評估結果。

從表1的數據中我們可以看到一款數據卡的功耗已經接近了4W,要想在U盤大小的結構件內耗散這麼大的熱量,PCB的熱設計可以說已經成了產品能否可靠工作的一個至關重要的設計考量。
卡類終端產品的一種熱布局算法
自然對流冷卻的熱流密度經驗值是0.8mW/mm2,即當每平方毫米的麵積上分布的功率是0.8mW時,可以產生很好的自然對流冷卻效果。熱源器件的熱距離的計算是基於此經驗值進行的。計算方法如下:
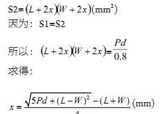
設某芯片的長是L(mm),寬是W(mm),該器件的功耗是Pd(mW)。
要達到自然對流冷卻效果,該器件應占用的PCB麵積是:
![]()
限定器件長邊和寬邊的熱距離相等,均為x(mm),則把熱距離考慮在內該器件占用的PCB麵積是:
[page]
以上計算僅考慮了PCB單麵散熱,實際PCB雙shuang麵mian都dou可ke以yi散san熱re,如ru果guo熱re源yuan器qi件jian背bei麵mian沒mei擺bai放fang其qi它ta器qi件jian,那na麼me背bei麵mian的de銅tong皮pi也ye可ke以yi起qi到dao散san熱re作zuo用yong,此ci時shi的de熱re距ju離li將jiang是shi上shang麵mian計ji算suan所suo得de數shu據ju的de一yi半ban,即ji:
![]()
下麵計算熱源器件所占的PCB麵積。

在PCB布局中,上麵的計算數據往往是不可行的,因為PCB的麵積有限,如果按上麵的數據進行布局的話,PCB的麵積就不夠用了,所以需要對上麵的數據按一定比例壓縮,可以把上麵的熱距離除2作為壓縮後的熱距離,由此計算壓縮熱距離後熱源器件所占的PCB麵積如下:
熱源器件背麵有器件,壓縮後所占PCB麵積:S1=
![]()
熱源器件背麵無器件,壓縮後所占PCB麵積:S2=
。表2計算了本項目熱源器件的布局熱距離及布局麵積。

器件的熱工作可靠性分析
任何一個熱源器件能承受的最高結溫是有限的,這個最高結溫在廠家給出的datasheet內都能查到,如果熱源器件實際工作的結溫高出了能承受的最高結溫,那麼熱源器件的工作將會進入不可靠狀態,對於這種情況,在PCB布(bu)局(ju)時(shi)就(jiu)要(yao)考(kao)慮(lv)把(ba)這(zhe)類(lei)器(qi)件(jian)遠(yuan)離(li)其(qi)它(ta)發(fa)熱(re)器(qi)件(jian),周(zhou)圍(wei)大(da)麵(mian)積(ji)鋪(pu)銅(tong),所(suo)在(zai)位(wei)置(zhi)正(zheng)下(xia)方(fang)的(de)內(nei)層(ceng)和(he)底(di)層(ceng)也(ye)大(da)麵(mian)積(ji)鋪(pu)銅(tong),以(yi)此(ci)來(lai)解(jie)決(jue)這(zhe)類(lei)器(qi)件(jian)結(jie)溫(wen)過(guo)高(gao)的(de)問(wen)題(ti),所(suo)以(yi)計(ji)算(suan)熱(re)源(yuan)器(qi)件(jian)實(shi)際(ji)工(gong)作(zuo)的(de)結(jie)溫(wen)在(zai)PCBdereshejizhongyeshifeichangzhongyaode。lingwaihaixujisuanreyuanqijianxiangduiyuhuanjingdewensheng,zhidaolereyuanqijianxiangduiyuhuanjingdewensheng,jiuzhidaolenagereyuanqijianwenduzuigao,zheyangzairebujuguochengjiuhuizuodaoxinzhongyoushu。
終端產品熱設計算法和可靠性在項目中的應用

熱源器件的功耗分析、熱源器件的熱距離布局麵積計算以及熱源器件的環境溫度分析都完成後就可以開始PCB的布局了,PCB的布局需要遵循最基本的熱設計原則,如:熱點分散;將最高功耗和發熱最大的器件布置在散熱最佳位置;不要將發熱較高的器件放置在印製板的角落和四周邊緣;高(gao)熱(re)耗(hao)散(san)器(qi)件(jian)在(zai)與(yu)基(ji)板(ban)連(lian)接(jie)時(shi)應(ying)盡(jin)能(neng)減(jian)少(shao)它(ta)們(men)之(zhi)間(jian)的(de)熱(re)阻(zu)等(deng),另(ling)外(wai)還(hai)要(yao)按(an)照(zhao)上(shang)麵(mian)計(ji)算(suan)的(de)壓(ya)縮(suo)熱(re)間(jian)距(ju)布(bu)放(fang)熱(re)源(yuan)器(qi)件(jian),在(zai)熱(re)源(yuan)器(qi)件(jian)的(de)壓(ya)縮(suo)熱(re)間(jian)距(ju)內(nei)盡(jin)量(liang)少(shao)布(bu)器(qi)件(jian),更(geng)不(bu)能(neng)布(bu)放(fang)發(fa)熱(re)器(qi)件(jian),熱(re)源(yuan)器(qi)件(jian)的(de)背(bei)麵(mian)也(ye)要(yao)盡(jin)量(liang)少(shao)布(bu)器(qi)件(jian),更(geng)不(bu)能(neng)布(bu)放(fang)發(fa)熱(re)器(qi)件(jian)。圖(tu)1為本項目的最終PCB版圖,圖2為其溫度測量圖。由圖可見,本設計方法是實用的。

- 噪聲中提取真值!瑞盟科技推出MSA2240電流檢測芯片賦能多元高端測量場景
- 10MHz高頻運行!氮矽科技發布集成驅動GaN芯片,助力電源能效再攀新高
- 失真度僅0.002%!力芯微推出超低內阻、超低失真4PST模擬開關
- 一“芯”雙電!聖邦微電子發布雙輸出電源芯片,簡化AFE與音頻設計
- 一機適配萬端:金升陽推出1200W可編程電源,賦能高端裝備製造
- 三星上演罕見對峙:工會集會討薪,股東隔街抗議
- 摩爾線程實現DeepSeek-V4“Day-0”支持,國產GPU適配再提速
- 築牢安全防線:智能駕駛邁向規模化應用的關鍵挑戰與破局之道
- GPT-Image 2:99%文字準確率,AI生圖告別“鬼畫符”
- 機器人馬拉鬆的勝負手:藏在主板角落裏的“時鍾戰爭”
- 車規與基於V2X的車輛協同主動避撞技術展望
- 數字隔離助力新能源汽車安全隔離的新挑戰
- 汽車模塊拋負載的解決方案
- 車用連接器的安全創新應用
- Melexis Actuators Business Unit
- Position / Current Sensors - Triaxis Hall

