如何為開關電源選擇合適的電感
發布時間:2011-06-14
中心議題:
- 電感的特點
- 降壓型開關電源的電感選擇
- 升壓型開關電源的電感選擇
解決方案:
- 計算降壓型開關電源的電感值
- 計算升壓型開關電源的電感值
電感是開關電源中常用的元件,由於它的電流、電壓相位不同,所以理論上損耗為零。電感常為儲能元件,也常與電容一起用在輸入濾波和輸出濾波電路上, 用來平滑電流。電感也被稱為扼流圈,特點是流過其上的電流有“很大的慣性”。換句話說,由於磁通連續特性,電感上的電流必須是連續的,否則將會產生很大的電壓尖峰。
電感為磁性元件,自然有磁飽和的問題。有的應用允許電感飽和,有的應用允許電感從一定電流值開始進入飽和, 也有的應用不允許電感出現飽和,這要求在具體線路中進行區分。大多數情況下,電感工作在“線性區”,此時電感值為一常數,不隨著端電壓與電流而變化。但是,開關電源存在一個不可忽視的問題,即電感的繞線將導致兩個分布參數(或寄生參數),一個是不可避免的繞線電阻,另一個是與繞製工藝、cailiaoyouguandefenbushizasandianrong。zasandianrongzaidipinshiyingxiangbuda,dansuipinlvdetigaoerjianxianchulai,dangpinlvgaodaomougezhiyishangshi,dianganyexubianchengdianrongtexingle。ruguojiangzasandianrong“集中”為一個電容, 則從電感的等效電路可以看出在某一頻率後所呈現的電容特性。
當分析電感在線路中的工作狀況或者繪製電壓電流波形圖時,不妨考慮下麵幾個特點:
1. 當電感L中有電流I流過時,電感儲存的能量為: E=0.5×L×I2 (1)
2. 在一個開關周期中,電感電流的變化(紋波電流峰峰值)與電感兩端電壓的關係為:V=(L×di)/dt (2)
由此可看出,紋波電流的大小跟電感值有關。
3. 就像電容有充、放電電流一樣,電感器也有充、放電電壓過程。電容上的電壓與電流的積分(安·秒)成正比,電感上的電流與電壓的積分(伏·秒)成正比。隻要電感電壓變化,電流變化率di/dt也將變化;正向電壓使電流線性上升,反向電壓使電流線性下降。
計算出正確的電感值對選用合適的電感和輸出電容以獲得最小的輸出電壓紋波而言非常重要。
從圖1keyikanchu,liuguokaiguandianyuandianganqidedianliuyoujiaoliuhezhiliuliangzhongfenliangzucheng,yinweijiaoliufenliangjuyoujiaogaodepinlv,suoyitahuitongguoshuchudianrongliurudi,chanshengxiangyingdeshuchuwenbodianyadv=di×RESR。這個紋波電壓應盡可能低,以免影響電源係統的正常操作,一般要求峰峰值為10mV~500mV。

紋波電流的大小同樣會影響電感器和輸出電容的尺寸,紋波電流一般設定為最大輸出電流的10%~30%,因此對降壓型電源來說,流過電感的電流峰值比電源輸出電流大5%~15%。
[page]
降壓型開關電源的電感選擇
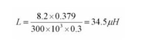
為降壓型開關電源選擇電感器時,需要確定最大輸入電壓、輸出電壓、電源開關頻率、最大紋波電流、占空比。下麵以圖2為例說明降壓型開關電源電感值的計算,首先假設開關頻率為300kHz、輸入電壓範圍12V±10%、輸出電流為1A、最大紋波電流300mA。

最大輸入電壓值為13.2V,對應的占空比為:D=Vo/Vi=5/13.2=0.379 (3)
其中,Vo為輸出電壓、Vi為輸出電壓。當開關管導通時,電感器上的電壓為: V=Vi-Vo=8.2V (4)
當開關管關斷時,電感器上的電壓為:
V=-Vo-Vd=-5.3V (5)
dt=D/F (6)
把公式2/3/6代入公式2得出:

升壓型開關電源的電感選擇
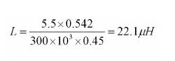
對於升壓型開關電源的電感值計算,除了占空比與電感電壓的關係式有所改變外,其它過程跟降壓型開關電源的計算方式一樣。以圖3為例進行計算,假設開關頻率為 300kHz、輸入電壓範圍5V±10%、輸出電流為500mA、效率為80%,則最大紋波電流為450mA,對應的占空比為:D=1-Vi/Vo=1-5.5/12=0.542 (7)

當開關管導通時,電感器上的電壓為:V=Vi=5.5V (8)
當開關管關斷時,電感器上的電壓為:V=Vo+Vd-Vi=6.8V (9)
把公式6/7/8代入公式2得出:

請qing注zhu意yi,升sheng壓ya電dian源yuan與yu降jiang壓ya電dian源yuan不bu同tong,前qian者zhe的de負fu載zai電dian流liu並bing不bu是shi一yi直zhi由you電dian感gan電dian流liu提ti供gong。當dang開kai關guan管guan導dao通tong時shi,電dian感gan電dian流liu經jing過guo開kai關guan管guan流liu入ru地di,而er負fu載zai電dian流liu由you輸shu出chu電dian容rong提ti供gong,因yin此ci輸shu 出(chu)電(dian)容(rong)必(bi)須(xu)有(you)足(zu)夠(gou)大(da)的(de)儲(chu)能(neng)容(rong)量(liang)來(lai)提(ti)供(gong)這(zhe)一(yi)期(qi)間(jian)負(fu)載(zai)所(suo)需(xu)的(de)電(dian)流(liu)。但(dan)在(zai)開(kai)關(guan)管(guan)關(guan)斷(duan)期(qi)間(jian),流(liu)經(jing)電(dian)感(gan)的(de)電(dian)流(liu)除(chu)了(le)提(ti)供(gong)給(gei)負(fu)載(zai),還(hai)給(gei)輸(shu)出(chu)電(dian)容(rong)充(chong)電(dian)。
一(yi)般(ban)而(er)言(yan),電(dian)感(gan)值(zhi)變(bian)大(da),輸(shu)出(chu)紋(wen)波(bo)會(hui)變(bian)小(xiao),但(dan)電(dian)源(yuan)的(de)動(dong)態(tai)響(xiang)應(ying)也(ye)會(hui)相(xiang)應(ying)變(bian)差(cha),所(suo)以(yi)電(dian)感(gan)值(zhi)的(de)選(xuan)取(qu)可(ke)以(yi)根(gen)據(ju)電(dian)路(lu)的(de)具(ju)體(ti)應(ying)用(yong)要(yao)求(qiu)來(lai)調(tiao)整(zheng)以(yi)達(da)到(dao)最(zui)理(li)想(xiang)效(xiao)果(guo)。開(kai)關(guan)頻(pin)率(lv)的(de)提(ti) gaokeyirangdianganzhibianxiao,congerrangdiangandewulichicunbianxiao,jieshengdianlubankongjian,yincimuqiandekaiguandianyuanyouwanggaopinfazhandequshi,yishiyingdianzichanpindetijiyuelaiyuexiaodeyaoqiu。
- 噪聲中提取真值!瑞盟科技推出MSA2240電流檢測芯片賦能多元高端測量場景
- 10MHz高頻運行!氮矽科技發布集成驅動GaN芯片,助力電源能效再攀新高
- 失真度僅0.002%!力芯微推出超低內阻、超低失真4PST模擬開關
- 一“芯”雙電!聖邦微電子發布雙輸出電源芯片,簡化AFE與音頻設計
- 一機適配萬端:金升陽推出1200W可編程電源,賦能高端裝備製造
- 2026藍牙亞洲大會暨展覽在深啟幕
- 新市場與新場景推動嵌入式係統研發走向統一開發平台
- 維智捷發布中國願景
- 2秒啟動係統 • 資源受限下HMI最優解,米爾RK3506開發板× LVGL Demo演示
- H橋降壓-升壓電路中的交替控製與帶寬優化
- 車規與基於V2X的車輛協同主動避撞技術展望
- 數字隔離助力新能源汽車安全隔離的新挑戰
- 汽車模塊拋負載的解決方案
- 車用連接器的安全創新應用
- Melexis Actuators Business Unit
- Position / Current Sensors - Triaxis Hall

