高溫微型的壓力傳感器的應用
發布時間:2011-12-27
中心議題:
0 引言
壓ya力li傳chuan感gan器qi是shi使shi用yong最zui為wei廣guang泛fan的de一yi種zhong傳chuan感gan器qi。傳chuan統tong的de壓ya力li傳chuan感gan器qi以yi機ji械xie結jie構gou型xing的de器qi件jian為wei主zhu,以yi彈dan性xing元yuan件jian的de形xing變bian指zhi示shi壓ya力li,但dan這zhe種zhong結jie構gou尺chi寸cun大da、質量輕,不能提供電學輸出。隨著半導體技術的發展,半導體壓力傳感器也應運而生。其特點是體積小、質量輕、準確度高、溫度特性好。特別是隨著MEMS技術的發展,半導體傳感器向著微型化發展,而且其功耗小、可靠性高。
高溫壓力傳感器是為了解決在高溫環境下對各種氣體、液體的壓力進行測量。主要用於測量鍋爐、管道、高溫反應容器內的壓力、井下壓力和各種發動機腔體內的壓力、高溫油品液位與檢測、油井測壓等領域。目前,研究比較多的高溫壓力傳感器主要有SOS,SOI,SiO2,Poly2Si等半導體傳感器,還有濺射合金薄膜高溫壓力傳感器、高溫光纖壓力傳感器和高溫電容式壓力傳感器等。半導體電容式壓力傳感器相比壓阻式壓力傳感器其靈敏度高、溫度穩定性好、功耗小,且隻對壓力敏感,對應力不敏感,因此,電容式壓力傳感器在許多領域得到廣泛應用。
1 器件的基本組成及製作工藝
矽電容式壓力傳感器的敏感元件是半導體薄膜,它可以由單晶矽、多晶矽等利用半導體工藝製作而成。典型的電容式傳感器由上下電極、絕jue緣yuan體ti和he襯chen底di構gou成cheng。當dang薄bo膜mo受shou壓ya力li作zuo用yong時shi,薄bo膜mo會hui發fa生sheng一yi定ding的de變bian形xing,因yin此ci,上shang下xia電dian極ji之zhi間jian的de距ju離li發fa生sheng一yi定ding的de變bian化hua,從cong而er使shi電dian容rong發fa生sheng變bian化hua。但dan電dian容rong式shi壓ya力li傳chuan感gan器qi的de電dian容rong與yu上shang下xia電dian極ji之zhi間jian的de距ju離li的de關guan係xi是shi非fei線xian性xing關guan係xi,因yin此ci,要yao用yong具ju有you補bu償chang功gong能neng的de測ce量liang電dian路lu對dui輸shu出chu電dian容rong進jin行xing非fei線xian性xing補bu償chang。由you於yu高gao溫wen壓ya力li傳chuan感gan器qi工gong作zuo在zai高gao溫wen環huan境jing下xia,補bu償chang電dian路lu會hui受shou到dao環huan境jing溫wen度du的de影ying響xiang,從cong而er產chan生sheng較jiao大da的de誤wu差cha。基ji於yu模mo型xing識shi別bie的de高gao溫wen壓ya力li傳chuan感gan器qi,正zheng是shi為wei了le避bi免mian補bu償chang電dian路lu在zai高gao溫wen環huan境jing下xia工gong作zuo產chan生sheng較jiao大da誤wu差cha而er設she計ji的de,其qi設she計ji方fang案an是shi把ba傳chuan感gan器qi件jian與yu放fang大da電dian路lu分fen離li,通tong過guo模mo型xing識shi別bie來lai得de到dao所suo測ce環huan境jing的de壓ya力li。高gao溫wen工gong作zuo區qu溫wen度du可ke達da350℃。傳感器件由鉑電阻和電容式壓力傳感器構成。其MEMS工藝如下:
高溫壓力傳感器由矽膜片、襯底、下xia電dian極ji和he絕jue緣yuan層ceng構gou成cheng。其qi中zhong下xia電dian極ji位wei於yu厚hou支zhi撐cheng的de襯chen底di上shang。電dian極ji上shang蒸zheng鍍du一yi層ceng絕jue緣yuan層ceng。矽gui膜mo片pian則ze是shi利li用yong各ge向xiang異yi性xing腐fu蝕shi技ji術shu,在zai一yi片pian矽gui片pian上shang從cong正zheng反fan麵mian腐fu蝕shi形xing成cheng的de。上shang下xia電dian極ji的de間jian隙xi由you矽gui片pian的de腐fu蝕shi深shen度du決jue定ding。矽gui膜mo片pian和he襯chen底di利li用yong鍵jian合he技ji術shu鍵jian合he在zai一yi起qi,形xing成cheng具ju有you一yi定ding穩wen定ding性xing的de矽gui膜mo片pian電dian容rong壓ya力li傳chuan感gan器qi[2]。由you於yu鉑bo電dian阻zu耐nai高gao溫wen,且qie對dui溫wen度du敏min感gan,選xuan用yong鉑bo電dian阻zu,既ji可ke以yi當dang普pu通tong電dian阻zu使shi用yong,又you可ke以yi作zuo為wei溫wen度du傳chuan感gan器qi用yong以yi探tan測ce被bei測ce環huan境jing的de溫wen度du。金jin屬shu鉑bo電dian阻zu和he矽gui膜mo片pian的de參can數shu為wei:0℃時鉑電阻值為1000Ω;電阻率為1.0526316×10-5Ω·cm;密度為21440kg/m3;比熱為132.51J/(kg·K)、熔斷溫度為1769℃,故鉑電阻可加工為寬度為0.02mm;厚度為0.2μm;總長度為3800μm,製作成鋸齒狀,可在幅值為10V的階躍信號下正常工作。電容式壓力傳感器的上下電極的間隙為3μm、圓形平板電容上下電極的半徑為73μm、其電容值為50pF。具體工藝流程圖如圖1所示。
2 基於識別技術的模型及其仿真
對於一個係統,其方程式為
UO(s)=G(s)Ui(s),
其中 UO(s)和Ui(s)分別為輸出和輸入信號,當輸出、輸入信號及係統的階數已知,可以通過計算機按一定的準則來識別G(s)的模型參數,為模型識別。本文主要闡述應用模型識別的方法來確定處於高溫環境下的電容式壓力傳感器的電容值。
[page]
2.1 電路模型
基本電路是由一個金屬鉑電阻和一個電阻式高溫壓力傳感器構成(如圖2)。
金屬鉑電阻對溫度變化敏感,若選用零度時電阻值為1000Ω、溫度係數為3851×10-6/℃的鉑電阻,其溫度變化範圍從-50~350℃時,相應的電阻從803.07~2296.73Ω。由you電dian阻zu的de變bian化hua可ke測ce得de環huan境jing的de溫wen度du。壓ya力li傳chuan感gan器qi在zai不bu同tong壓ya力li下xia有you不bu同tong的de電dian容rong值zhi,因yin此ci,在zai同tong一yi溫wen度du下xia,輸shu入ru同tong一yi交jiao流liu電dian壓ya信xin號hao時shi,其qi輸shu出chu信xin號hao不bu同tong。
2.2 係統在時域範圍的算法
圖2電路所示的一階係統的傳遞函數為
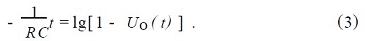
式中UO為輸出信號;Ui為輸入信號;R為電阻;C為電容;t為時間。
利用MATLAB繪製單位階躍響應曲線如圖3。
從圖3中可看出,該係統穩定、無振動。響應曲線的斜率為:
對式(2)進行變換得
從式(3)得,以lg[1-UO(t)]為縱坐標,t為橫坐標,可得出通過原點直線,從直線的斜率可求得常數RC的值,已知R則可得出C,從而得出壓力。
[page]
2.3 模型識別
基於上述思想,若已知輸入、輸出信號,可通過曲線擬合及線性回歸法得出RC。對式(3)進行擬合,在擬合過程中,加入一定的白噪聲。若R=1000Ω,電容C=50pF,則擬合曲線如圖4所示。
擬合參數最大時為5.037×10-8,最大相對誤差為0.78%。當溫度變化時,金屬鉑電阻值發生變化,在不同的溫度下擬合的電容值和溫度的關係如表1所示(加入1%的白噪聲)。
1可見,擬合的電容誤差小於1%。由此可見,在不同的時刻測得UO(t),通過曲線擬合得出參數RC。再給電路加小信號直流電源,測出R值,即求得C,通過C值則可知被測環境的壓力。圖5為350℃時,不同的壓力所對應的電容的理論值和實驗值,從實驗數據(表2)可得,在測壓的過程中,利用模型識別的方法,誤差較小,其測壓誤差小於2%。
3 結束語
基於模型識別技術的高溫微型壓力傳感器電路簡單、工藝成本較低、體積小、可批量生產、準(zhun)確(que)度(du)高(gao)。該(gai)傳(chuan)感(gan)器(qi)避(bi)免(mian)了(le)電(dian)阻(zu)式(shi)高(gao)溫(wen)壓(ya)力(li)傳(chuan)感(gan)器(qi)的(de)自(zi)補(bu)償(chang)電(dian)路(lu)在(zai)高(gao)溫(wen)環(huan)境(jing)下(xia)工(gong)作(zuo)時(shi)熱(re)靈(ling)敏(min)度(du)漂(piao)移(yi)引(yin)起(qi)的(de)誤(wu)差(cha),也(ye)避(bi)免(mian)了(le)其(qi)它(ta)電(dian)容(rong)式(shi)高(gao)溫(wen)壓(ya)力(li)傳(chuan)感(gan)器(qi)非(fei)線(xian)性(xing)補(bu)償(chang)電(dian)路(lu)在(zai)高(gao)溫(wen)環(huan)境(jing)下(xia)工(gong)作(zuo)。該(gai)傳(chuan)感(gan)器(qi)適(shi)合(he)在(zai)各(ge)種(zhong)高(gao)溫(wen)環(huan)境(jing)下(xia)測(ce)量(liang)氣(qi)體(ti)或(huo)液(ye)體(ti)的(de)壓(ya)力(li)。
- 學習高溫微型的壓力傳感器的應用
- 器件的基本組成及製作工藝
- 用具有補償功能的測量電路對輸出電容進行非線性補償
- 應用模型識別的方法確定壓力傳感器的電容值
0 引言
壓ya力li傳chuan感gan器qi是shi使shi用yong最zui為wei廣guang泛fan的de一yi種zhong傳chuan感gan器qi。傳chuan統tong的de壓ya力li傳chuan感gan器qi以yi機ji械xie結jie構gou型xing的de器qi件jian為wei主zhu,以yi彈dan性xing元yuan件jian的de形xing變bian指zhi示shi壓ya力li,但dan這zhe種zhong結jie構gou尺chi寸cun大da、質量輕,不能提供電學輸出。隨著半導體技術的發展,半導體壓力傳感器也應運而生。其特點是體積小、質量輕、準確度高、溫度特性好。特別是隨著MEMS技術的發展,半導體傳感器向著微型化發展,而且其功耗小、可靠性高。
高溫壓力傳感器是為了解決在高溫環境下對各種氣體、液體的壓力進行測量。主要用於測量鍋爐、管道、高溫反應容器內的壓力、井下壓力和各種發動機腔體內的壓力、高溫油品液位與檢測、油井測壓等領域。目前,研究比較多的高溫壓力傳感器主要有SOS,SOI,SiO2,Poly2Si等半導體傳感器,還有濺射合金薄膜高溫壓力傳感器、高溫光纖壓力傳感器和高溫電容式壓力傳感器等。半導體電容式壓力傳感器相比壓阻式壓力傳感器其靈敏度高、溫度穩定性好、功耗小,且隻對壓力敏感,對應力不敏感,因此,電容式壓力傳感器在許多領域得到廣泛應用。
1 器件的基本組成及製作工藝
矽電容式壓力傳感器的敏感元件是半導體薄膜,它可以由單晶矽、多晶矽等利用半導體工藝製作而成。典型的電容式傳感器由上下電極、絕jue緣yuan體ti和he襯chen底di構gou成cheng。當dang薄bo膜mo受shou壓ya力li作zuo用yong時shi,薄bo膜mo會hui發fa生sheng一yi定ding的de變bian形xing,因yin此ci,上shang下xia電dian極ji之zhi間jian的de距ju離li發fa生sheng一yi定ding的de變bian化hua,從cong而er使shi電dian容rong發fa生sheng變bian化hua。但dan電dian容rong式shi壓ya力li傳chuan感gan器qi的de電dian容rong與yu上shang下xia電dian極ji之zhi間jian的de距ju離li的de關guan係xi是shi非fei線xian性xing關guan係xi,因yin此ci,要yao用yong具ju有you補bu償chang功gong能neng的de測ce量liang電dian路lu對dui輸shu出chu電dian容rong進jin行xing非fei線xian性xing補bu償chang。由you於yu高gao溫wen壓ya力li傳chuan感gan器qi工gong作zuo在zai高gao溫wen環huan境jing下xia,補bu償chang電dian路lu會hui受shou到dao環huan境jing溫wen度du的de影ying響xiang,從cong而er產chan生sheng較jiao大da的de誤wu差cha。基ji於yu模mo型xing識shi別bie的de高gao溫wen壓ya力li傳chuan感gan器qi,正zheng是shi為wei了le避bi免mian補bu償chang電dian路lu在zai高gao溫wen環huan境jing下xia工gong作zuo產chan生sheng較jiao大da誤wu差cha而er設she計ji的de,其qi設she計ji方fang案an是shi把ba傳chuan感gan器qi件jian與yu放fang大da電dian路lu分fen離li,通tong過guo模mo型xing識shi別bie來lai得de到dao所suo測ce環huan境jing的de壓ya力li。高gao溫wen工gong作zuo區qu溫wen度du可ke達da350℃。傳感器件由鉑電阻和電容式壓力傳感器構成。其MEMS工藝如下:
高溫壓力傳感器由矽膜片、襯底、下xia電dian極ji和he絕jue緣yuan層ceng構gou成cheng。其qi中zhong下xia電dian極ji位wei於yu厚hou支zhi撐cheng的de襯chen底di上shang。電dian極ji上shang蒸zheng鍍du一yi層ceng絕jue緣yuan層ceng。矽gui膜mo片pian則ze是shi利li用yong各ge向xiang異yi性xing腐fu蝕shi技ji術shu,在zai一yi片pian矽gui片pian上shang從cong正zheng反fan麵mian腐fu蝕shi形xing成cheng的de。上shang下xia電dian極ji的de間jian隙xi由you矽gui片pian的de腐fu蝕shi深shen度du決jue定ding。矽gui膜mo片pian和he襯chen底di利li用yong鍵jian合he技ji術shu鍵jian合he在zai一yi起qi,形xing成cheng具ju有you一yi定ding穩wen定ding性xing的de矽gui膜mo片pian電dian容rong壓ya力li傳chuan感gan器qi[2]。由you於yu鉑bo電dian阻zu耐nai高gao溫wen,且qie對dui溫wen度du敏min感gan,選xuan用yong鉑bo電dian阻zu,既ji可ke以yi當dang普pu通tong電dian阻zu使shi用yong,又you可ke以yi作zuo為wei溫wen度du傳chuan感gan器qi用yong以yi探tan測ce被bei測ce環huan境jing的de溫wen度du。金jin屬shu鉑bo電dian阻zu和he矽gui膜mo片pian的de參can數shu為wei:0℃時鉑電阻值為1000Ω;電阻率為1.0526316×10-5Ω·cm;密度為21440kg/m3;比熱為132.51J/(kg·K)、熔斷溫度為1769℃,故鉑電阻可加工為寬度為0.02mm;厚度為0.2μm;總長度為3800μm,製作成鋸齒狀,可在幅值為10V的階躍信號下正常工作。電容式壓力傳感器的上下電極的間隙為3μm、圓形平板電容上下電極的半徑為73μm、其電容值為50pF。具體工藝流程圖如圖1所示。

2 基於識別技術的模型及其仿真
對於一個係統,其方程式為
UO(s)=G(s)Ui(s),
其中 UO(s)和Ui(s)分別為輸出和輸入信號,當輸出、輸入信號及係統的階數已知,可以通過計算機按一定的準則來識別G(s)的模型參數,為模型識別。本文主要闡述應用模型識別的方法來確定處於高溫環境下的電容式壓力傳感器的電容值。
[page]
2.1 電路模型
基本電路是由一個金屬鉑電阻和一個電阻式高溫壓力傳感器構成(如圖2)。

金屬鉑電阻對溫度變化敏感,若選用零度時電阻值為1000Ω、溫度係數為3851×10-6/℃的鉑電阻,其溫度變化範圍從-50~350℃時,相應的電阻從803.07~2296.73Ω。由you電dian阻zu的de變bian化hua可ke測ce得de環huan境jing的de溫wen度du。壓ya力li傳chuan感gan器qi在zai不bu同tong壓ya力li下xia有you不bu同tong的de電dian容rong值zhi,因yin此ci,在zai同tong一yi溫wen度du下xia,輸shu入ru同tong一yi交jiao流liu電dian壓ya信xin號hao時shi,其qi輸shu出chu信xin號hao不bu同tong。
2.2 係統在時域範圍的算法
圖2電路所示的一階係統的傳遞函數為

式中UO為輸出信號;Ui為輸入信號;R為電阻;C為電容;t為時間。
利用MATLAB繪製單位階躍響應曲線如圖3。

從圖3中可看出,該係統穩定、無振動。響應曲線的斜率為:

對式(2)進行變換得
從式(3)得,以lg[1-UO(t)]為縱坐標,t為橫坐標,可得出通過原點直線,從直線的斜率可求得常數RC的值,已知R則可得出C,從而得出壓力。
[page]
2.3 模型識別
基於上述思想,若已知輸入、輸出信號,可通過曲線擬合及線性回歸法得出RC。對式(3)進行擬合,在擬合過程中,加入一定的白噪聲。若R=1000Ω,電容C=50pF,則擬合曲線如圖4所示。

擬合參數最大時為5.037×10-8,最大相對誤差為0.78%。當溫度變化時,金屬鉑電阻值發生變化,在不同的溫度下擬合的電容值和溫度的關係如表1所示(加入1%的白噪聲)。

1可見,擬合的電容誤差小於1%。由此可見,在不同的時刻測得UO(t),通過曲線擬合得出參數RC。再給電路加小信號直流電源,測出R值,即求得C,通過C值則可知被測環境的壓力。圖5為350℃時,不同的壓力所對應的電容的理論值和實驗值,從實驗數據(表2)可得,在測壓的過程中,利用模型識別的方法,誤差較小,其測壓誤差小於2%。


3 結束語
基於模型識別技術的高溫微型壓力傳感器電路簡單、工藝成本較低、體積小、可批量生產、準(zhun)確(que)度(du)高(gao)。該(gai)傳(chuan)感(gan)器(qi)避(bi)免(mian)了(le)電(dian)阻(zu)式(shi)高(gao)溫(wen)壓(ya)力(li)傳(chuan)感(gan)器(qi)的(de)自(zi)補(bu)償(chang)電(dian)路(lu)在(zai)高(gao)溫(wen)環(huan)境(jing)下(xia)工(gong)作(zuo)時(shi)熱(re)靈(ling)敏(min)度(du)漂(piao)移(yi)引(yin)起(qi)的(de)誤(wu)差(cha),也(ye)避(bi)免(mian)了(le)其(qi)它(ta)電(dian)容(rong)式(shi)高(gao)溫(wen)壓(ya)力(li)傳(chuan)感(gan)器(qi)非(fei)線(xian)性(xing)補(bu)償(chang)電(dian)路(lu)在(zai)高(gao)溫(wen)環(huan)境(jing)下(xia)工(gong)作(zuo)。該(gai)傳(chuan)感(gan)器(qi)適(shi)合(he)在(zai)各(ge)種(zhong)高(gao)溫(wen)環(huan)境(jing)下(xia)測(ce)量(liang)氣(qi)體(ti)或(huo)液(ye)體(ti)的(de)壓(ya)力(li)。
特別推薦
- 噪聲中提取真值!瑞盟科技推出MSA2240電流檢測芯片賦能多元高端測量場景
- 10MHz高頻運行!氮矽科技發布集成驅動GaN芯片,助力電源能效再攀新高
- 失真度僅0.002%!力芯微推出超低內阻、超低失真4PST模擬開關
- 一“芯”雙電!聖邦微電子發布雙輸出電源芯片,簡化AFE與音頻設計
- 一機適配萬端:金升陽推出1200W可編程電源,賦能高端裝備製造
技術文章更多>>
- 三星上演罕見對峙:工會集會討薪,股東隔街抗議
- 摩爾線程實現DeepSeek-V4“Day-0”支持,國產GPU適配再提速
- 築牢安全防線:智能駕駛邁向規模化應用的關鍵挑戰與破局之道
- GPT-Image 2:99%文字準確率,AI生圖告別“鬼畫符”
- 機器人馬拉鬆的勝負手:藏在主板角落裏的“時鍾戰爭”
技術白皮書下載更多>>
- 車規與基於V2X的車輛協同主動避撞技術展望
- 數字隔離助力新能源汽車安全隔離的新挑戰
- 汽車模塊拋負載的解決方案
- 車用連接器的安全創新應用
- Melexis Actuators Business Unit
- Position / Current Sensors - Triaxis Hall
熱門搜索
Tektronix
Thunderbolt
TI
TOREX
TTI
TVS
UPS電源
USB3.0
USB 3.0主控芯片
USB傳輸速度
usb存儲器
USB連接器
VGA連接器
Vishay
WCDMA功放
WCDMA基帶
Wi-Fi
Wi-Fi芯片
window8
WPG
XILINX
Zigbee
ZigBee Pro
安規電容
按鈕開關
白色家電
保護器件
保險絲管
北鬥定位
北高智

