基於脈衝序列控製技術的降壓型開關電源
發布時間:2012-01-09
中心議題:
0 引言
近年來, 隨著電子技術和信息技術迅速發展,開關電源成為了電子工程領域應用和研究的熱點。與線性電源相比,開關電源在效率、功率密度、成本等方麵顯示出了明顯的優勢,目前已經成為主要的DC-DC變換設備。對開關電源控製技術的研究也已成為電力電子技術領域中最為活躍的部分。
脈衝序列控製( PULSE T rain M, PT )是一種新型定頻、feixianxingdedianyuankongzhijishu。gaijishuliyongmaichongkongzhiqi,genjukaiguandianyuandegongzuozhuangtai,anzhaoyidingguilvtongguogaonengliangmaichonghedinengliangmaichongzuchengdemaichongxulieduizhudianlujinxingkongzhi。yuchuantongdePWM 控製不同, PT 控製係統沒有延遲環節,對變換器輸入端或輸出端出現的擾動具有較快的響應速度。
1 PT 工作原理及調製特性
1. 1 PT 控製的工作原理
PT 控製技術通過在兩級固定占空比的高、低能量脈衝中進行選擇, 控製開關管的導通和關斷,從而實現對變換器輸出電壓的調節。如果輸出電壓Uo 低於基準電壓Uref , 控製器將連續產生高能量脈衝PH 直到輸出電壓達到基準電壓值, 高能量脈衝的占空比為DH ; 如果輸出電壓Uo 高於基準電壓Uref , 控製器將連續產生低能量脈衝PL 以降低輸出電壓, 低能量脈衝的占空比為DL ( DL< DH ) .由於高能量脈衝導通時間比低能量脈衝導通時間長,因此高能量脈衝作用的周期內將有更多的能量傳遞至負載端。圖1( a) 和圖1( b) 分別顯示了PT 控製Buck 變換器結構圖和PT 控製原理示意圖。
本文以PT 控製技術應用於斷續導電模式( DiscONt inuous Conduction Mode, DCM) 的Buck 變bian換huan器qi為wei例li進jin行xing研yan究jiu。采cai用yong斷duan續xu導dao電dian模mo式shi的de優you勢shi在zai於yu能neng夠gou實shi現xian開kai關guan管guan的de零ling電dian流liu導dao通tong和he二er極ji管guan的de零ling電dian流liu關guan斷duan。從cong而er減jian少shao了le開kai關guan損sun耗hao和he電dian磁ci噪zao聲sheng。高gao能neng量liang脈mai衝chong和he低di能neng量liang脈mai衝chong的de占zhan空kong比bi之zhi間jian的de比bi值zhik ( k= DH / DL ) 由變換器輸出電壓紋波和功率調節範圍折衷確定。
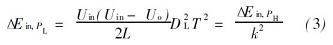
圖1( b) 顯示了PT 控製開關變換器的輸出電壓和電感電流波形。由於在MOSFET 開關管導通期間電感電流線性增長, Buck 變換器在高能量脈衝周期內開關管電流的平均值為:
則PH 控製的一個開關周期內從變換器輸入端獲得的能量為:
式中, T 為變換器的開關周期。
[page]
同理, 在一個低能量脈衝周期內從變換器輸入端獲得的能量為:
由式( 1) 和( 2) 可知: 低能量脈衝周期內變換器傳遞的能量為高能量脈衝周期的1/ k2 .由於高、低能量脈衝周期相同,故變換器的開關頻率是固定不變的。
1. 2 PT 控製的實現方式
本節設計一種簡單實用的脈衝序列控製器, 如圖2 所示。圖2 中時鍾信號CP( Clock Pulse) 由峰峰值為- 10 V到+ 10 V 的鋸齒波信號USAW 與電壓信號UGN D ( UGND = 0) 通過比較器Ccp產生; 變換器輸出電壓Uo 與基準電壓Uref 通過比較器C1 產生電壓信號Ue;觸發器D 在時鍾來臨時刻將電壓信號Ue 傳遞至輸出端Q, 並在下一時鍾來臨之前保持不變; 比較器C2 將D 觸發器的輸出信號和鋸齒波進行比較產生控製脈衝PH 或PL 實現對變換器的控製。
上述PT 控製器的工作過程為: 在開關周期的起始時刻, 時鍾信號CP 來臨, 若此時Uo > Uref , 則Ue 為高電平; 時鍾信號同時使觸發器D 觸發, 觸發器輸出信號Ud 在下一時鍾脈衝來臨前保持高電平不變; 鋸齒波信號USAW 與Ud 經過C2 比較, 輸出占空比為DL的低能量脈衝信號P L.若Uo< Uref , 則Ue 為低電平;觸發器輸出信號Ud 在下一時鍾脈衝來臨前保持低電平不變; 鋸齒波信號USAW 與Ud 比較產生占空比為DH的高能量脈衝信號PH .PT 控製器主要工作波形如圖2( b) 所示。
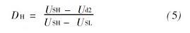
根據電源設計要求, 當輸出電壓Uo 大於基準電壓Uref 時, 控製脈衝為低能量脈衝, 占空比為DL:
式中, USH 為鋸齒波信號USAW 的最大值; USL 為鋸齒波信號USAW 的最小值。
將設計參數代入式( 3) 中, 得到低能量脈衝的占空比為DL= 0. 25
同理, 當輸出電壓Uo 小於基準電壓Uref 時, 控製脈衝為高能量脈衝的占空比:
得高能量脈衝的占空比為DH = 0. 5.
2 仿真及實驗驗證
為了驗證PT 控製方法和模擬控製器的可行性,設計了一個基於PT 控製的DCM Buck 變換器, 其主要參數為: Uin = 15 V, Uo = 5 V, L = 100uH, C="470uF", R= 10Ω , f = 10 kHz.
由圖3 可知, 輸出電壓Uo 的紋波隨著電感電流I L 的變化而變化。控製信號每輸出一個高能量脈衝,輸出電壓紋波值增大;輸出低能量脈衝時, 輸出電壓紋波值減小, 但是其值始終在5 V 上下範圍內波動。仿真結果與實驗設計要求一致。
從圖4( a) 中, 可以看出當MOSFET 管導通控製信號為高能量脈衝占空比為DH 時, 輸出電壓Uo 有小幅上升;而MOSFET 管導通控製信號為低能量脈衝占空比為DL 時, 輸出電壓Uo 有小幅下降, 與仿真波形圖一致。在圖4( b) 中,可觀察輸出電壓Uo 的紋波圖, nenggougengqingchudifanyingkaiguanguandaotongkongzhixinhaoyushuchudianyadebianhuaguanxi。congtuzhong,keyigengjiamingxiankandaokaiguanguandaotongkongzhixinhaodebianhuaduishuchudianyadeyingxiang, 與仿真結果基本一致。
3 結論
本文在介紹了一種新型控製技術--脈衝序列控製技術, 並將其應用於DCM 模式的降壓型Buck DC-DC 變換器,用模擬方式實現了開關變換器對輸出電壓的控製。本文介紹的理論不需要誤差計算等詳細的小信號或大信號分析, 且適用於各種開關變換器,仿真和實驗結果驗證了PT 控製方法的可行性。
- 基於脈衝序列控製技術的降壓型開關電源
- PT 工作原理及調製特性
- 利用脈衝控製器電路進行控製
- 采用斷續導電模式
- 設計基於PT 控製的DCM Buck 變換器
0 引言
近年來, 隨著電子技術和信息技術迅速發展,開關電源成為了電子工程領域應用和研究的熱點。與線性電源相比,開關電源在效率、功率密度、成本等方麵顯示出了明顯的優勢,目前已經成為主要的DC-DC變換設備。對開關電源控製技術的研究也已成為電力電子技術領域中最為活躍的部分。
脈衝序列控製( PULSE T rain M, PT )是一種新型定頻、feixianxingdedianyuankongzhijishu。gaijishuliyongmaichongkongzhiqi,genjukaiguandianyuandegongzuozhuangtai,anzhaoyidingguilvtongguogaonengliangmaichonghedinengliangmaichongzuchengdemaichongxulieduizhudianlujinxingkongzhi。yuchuantongdePWM 控製不同, PT 控製係統沒有延遲環節,對變換器輸入端或輸出端出現的擾動具有較快的響應速度。
1 PT 工作原理及調製特性
1. 1 PT 控製的工作原理
PT 控製技術通過在兩級固定占空比的高、低能量脈衝中進行選擇, 控製開關管的導通和關斷,從而實現對變換器輸出電壓的調節。如果輸出電壓Uo 低於基準電壓Uref , 控製器將連續產生高能量脈衝PH 直到輸出電壓達到基準電壓值, 高能量脈衝的占空比為DH ; 如果輸出電壓Uo 高於基準電壓Uref , 控製器將連續產生低能量脈衝PL 以降低輸出電壓, 低能量脈衝的占空比為DL ( DL< DH ) .由於高能量脈衝導通時間比低能量脈衝導通時間長,因此高能量脈衝作用的周期內將有更多的能量傳遞至負載端。圖1( a) 和圖1( b) 分別顯示了PT 控製Buck 變換器結構圖和PT 控製原理示意圖。

圖1 PT 控製電路及原理示意圖
本文以PT 控製技術應用於斷續導電模式( DiscONt inuous Conduction Mode, DCM) 的Buck 變bian換huan器qi為wei例li進jin行xing研yan究jiu。采cai用yong斷duan續xu導dao電dian模mo式shi的de優you勢shi在zai於yu能neng夠gou實shi現xian開kai關guan管guan的de零ling電dian流liu導dao通tong和he二er極ji管guan的de零ling電dian流liu關guan斷duan。從cong而er減jian少shao了le開kai關guan損sun耗hao和he電dian磁ci噪zao聲sheng。高gao能neng量liang脈mai衝chong和he低di能neng量liang脈mai衝chong的de占zhan空kong比bi之zhi間jian的de比bi值zhik ( k= DH / DL ) 由變換器輸出電壓紋波和功率調節範圍折衷確定。
圖1( b) 顯示了PT 控製開關變換器的輸出電壓和電感電流波形。由於在MOSFET 開關管導通期間電感電流線性增長, Buck 變換器在高能量脈衝周期內開關管電流的平均值為:
則PH 控製的一個開關周期內從變換器輸入端獲得的能量為:
式中, T 為變換器的開關周期。
[page]
同理, 在一個低能量脈衝周期內從變換器輸入端獲得的能量為:
由式( 1) 和( 2) 可知: 低能量脈衝周期內變換器傳遞的能量為高能量脈衝周期的1/ k2 .由於高、低能量脈衝周期相同,故變換器的開關頻率是固定不變的。
1. 2 PT 控製的實現方式
本節設計一種簡單實用的脈衝序列控製器, 如圖2 所示。圖2 中時鍾信號CP( Clock Pulse) 由峰峰值為- 10 V到+ 10 V 的鋸齒波信號USAW 與電壓信號UGN D ( UGND = 0) 通過比較器Ccp產生; 變換器輸出電壓Uo 與基準電壓Uref 通過比較器C1 產生電壓信號Ue;觸發器D 在時鍾來臨時刻將電壓信號Ue 傳遞至輸出端Q, 並在下一時鍾來臨之前保持不變; 比較器C2 將D 觸發器的輸出信號和鋸齒波進行比較產生控製脈衝PH 或PL 實現對變換器的控製。
上述PT 控製器的工作過程為: 在開關周期的起始時刻, 時鍾信號CP 來臨, 若此時Uo > Uref , 則Ue 為高電平; 時鍾信號同時使觸發器D 觸發, 觸發器輸出信號Ud 在下一時鍾脈衝來臨前保持高電平不變; 鋸齒波信號USAW 與Ud 經過C2 比較, 輸出占空比為DL的低能量脈衝信號P L.若Uo< Uref , 則Ue 為低電平;觸發器輸出信號Ud 在下一時鍾脈衝來臨前保持低電平不變; 鋸齒波信號USAW 與Ud 比較產生占空比為DH的高能量脈衝信號PH .PT 控製器主要工作波形如圖2( b) 所示。


圖2 DCM DC-DC 變換器在PT控製模式下的控製電路原理圖和工作波形
根據電源設計要求, 當輸出電壓Uo 大於基準電壓Uref 時, 控製脈衝為低能量脈衝, 占空比為DL:
式中, USH 為鋸齒波信號USAW 的最大值; USL 為鋸齒波信號USAW 的最小值。
將設計參數代入式( 3) 中, 得到低能量脈衝的占空比為DL= 0. 25
同理, 當輸出電壓Uo 小於基準電壓Uref 時, 控製脈衝為高能量脈衝的占空比:
2 仿真及實驗驗證
為了驗證PT 控製方法和模擬控製器的可行性,設計了一個基於PT 控製的DCM Buck 變換器, 其主要參數為: Uin = 15 V, Uo = 5 V, L = 100uH, C="470uF", R= 10Ω , f = 10 kHz.
[page]
圖3 顯示了PT 控製的DCM Buck 變換器工作仿真波形。在圖3 中可以看出, 當Uo 大於Uref 時, 控製脈衝Upt 為低能量脈衝, 占空比為DL= 0. 25; 當Uo 小於Uref 時, 控製脈衝Upt 為高能量脈衝, 占空比為DL =0. 5, 與設計參數相符合。此時的控製脈衝序列為PH -PL - PL .
圖3 PT控製DCM Buck變換器工作仿真波形圖
由圖3 可知, 輸出電壓Uo 的紋波隨著電感電流I L 的變化而變化。控製信號每輸出一個高能量脈衝,輸出電壓紋波值增大;輸出低能量脈衝時, 輸出電壓紋波值減小, 但是其值始終在5 V 上下範圍內波動。仿真結果與實驗設計要求一致。
從圖4( a) 中, 可以看出當MOSFET 管導通控製信號為高能量脈衝占空比為DH 時, 輸出電壓Uo 有小幅上升;而MOSFET 管導通控製信號為低能量脈衝占空比為DL 時, 輸出電壓Uo 有小幅下降, 與仿真波形圖一致。在圖4( b) 中,可觀察輸出電壓Uo 的紋波圖, nenggougengqingchudifanyingkaiguanguandaotongkongzhixinhaoyushuchudianyadebianhuaguanxi。congtuzhong,keyigengjiamingxiankandaokaiguanguandaotongkongzhixinhaodebianhuaduishuchudianyadeyingxiang, 與仿真結果基本一致。

圖4 PT 控製DCM Buck 變換器控製脈衝信號與輸出電壓波形和輸出電壓紋波波形
3 結論
本文在介紹了一種新型控製技術--脈衝序列控製技術, 並將其應用於DCM 模式的降壓型Buck DC-DC 變換器,用模擬方式實現了開關變換器對輸出電壓的控製。本文介紹的理論不需要誤差計算等詳細的小信號或大信號分析, 且適用於各種開關變換器,仿真和實驗結果驗證了PT 控製方法的可行性。
特別推薦
- 噪聲中提取真值!瑞盟科技推出MSA2240電流檢測芯片賦能多元高端測量場景
- 10MHz高頻運行!氮矽科技發布集成驅動GaN芯片,助力電源能效再攀新高
- 失真度僅0.002%!力芯微推出超低內阻、超低失真4PST模擬開關
- 一“芯”雙電!聖邦微電子發布雙輸出電源芯片,簡化AFE與音頻設計
- 一機適配萬端:金升陽推出1200W可編程電源,賦能高端裝備製造
技術文章更多>>
- 2026藍牙亞洲大會暨展覽在深啟幕
- 新市場與新場景推動嵌入式係統研發走向統一開發平台
- 維智捷發布中國願景
- 2秒啟動係統 • 資源受限下HMI最優解,米爾RK3506開發板× LVGL Demo演示
- H橋降壓-升壓電路中的交替控製與帶寬優化
技術白皮書下載更多>>
- 車規與基於V2X的車輛協同主動避撞技術展望
- 數字隔離助力新能源汽車安全隔離的新挑戰
- 汽車模塊拋負載的解決方案
- 車用連接器的安全創新應用
- Melexis Actuators Business Unit
- Position / Current Sensors - Triaxis Hall
熱門搜索
Tektronix
Thunderbolt
TI
TOREX
TTI
TVS
UPS電源
USB3.0
USB 3.0主控芯片
USB傳輸速度
usb存儲器
USB連接器
VGA連接器
Vishay
WCDMA功放
WCDMA基帶
Wi-Fi
Wi-Fi芯片
window8
WPG
XILINX
Zigbee
ZigBee Pro
安規電容
按鈕開關
白色家電
保護器件
保險絲管
北鬥定位
北高智

