基於RD-19230的自整角機接口電路設計
發布時間:2012-01-10
中心議題:
自(zi)整(zheng)角(jiao)機(ji)是(shi)一(yi)種(zhong)感(gan)應(ying)式(shi)的(de)微(wei)電(dian)機(ji),它(ta)利(li)用(yong)電(dian)磁(ci)感(gan)應(ying)原(yuan)理(li)將(jiang)機(ji)械(xie)轉(zhuan)角(jiao)或(huo)直(zhi)線(xian)位(wei)移(yi)精(jing)確(que)地(di)轉(zhuan)化(hua)成(cheng)電(dian)信(xin)號(hao)。它(ta)是(shi)自(zi)動(dong)控(kong)製(zhi)係(xi)統(tong)中(zhong)的(de)同(tong)步(bu)元(yuan)件(jian),利(li)用(yong)兩(liang)台(tai)或(huo)多(duo)台(tai)自(zi)整(zheng)角(jiao)機(ji)在(zai)電(dian)路(lu)上(shang)的(de)聯(lian)係(xi),可(ke)以(yi)使(shi)相(xiang)隔(ge)一(yi)定(ding)距(ju)離(li)、機械上互不連接的兩根或多根轉軸保持同步旋轉或產生相同的轉角變化。
自(zi)整(zheng)角(jiao)機(ji)按(an)其(qi)使(shi)用(yong)要(yao)求(qiu)不(bu)同(tong),可(ke)分(fen)為(wei)控(kong)製(zhi)式(shi)自(zi)整(zheng)角(jiao)機(ji)和(he)力(li)矩(ju)式(shi)自(zi)整(zheng)角(jiao)機(ji),按(an)結(jie)構(gou)形(xing)式(shi)不(bu)同(tong)可(ke)分(fen)為(wei)接(jie)觸(chu)式(shi)和(he)無(wu)接(jie)觸(chu)式(shi)兩(liang)大(da)類(lei)。由(you)於(yu)自(zi)整(zheng)角(jiao)機(ji)良(liang)好(hao)的(de)抗(kang)震(zhen)動(dong)、衝chong擊ji和he可ke在zai油you汙wu等deng惡e劣lie環huan境jing下xia工gong作zuo的de特te點dian,在zai現xian代dai技ji術shu領ling域yu的de各ge部bu門men中zhong,它ta被bei廣guang泛fan應ying用yong於yu隨sui動dong係xi統tong和he遠yuan程cheng控kong製zhi等deng方fang麵mian。現xian代dai流liu行xing的de自zi整zheng角jiao機ji數shu字zi化hua技ji術shu主zhu要yao有you單danRC相移法,雙RC相移法,實時三角函數發生器方案,利用AD和uP的解決方案,跟蹤型解決方案等。由於跟蹤型解決方案具有實時性強,抗幹擾能力好的特點,現在大部分轉化方案都采用此方案。
本文基於應用者的角度介紹了自整角機的基本結構及工作原理,通過分析跟蹤型轉換RD-19230的功能特點,設計了簡單有效的外圍接口電路。
1 自整角機原理
自(zi)整(zheng)角(jiao)機(ji)是(shi)自(zi)動(dong)控(kong)製(zhi)係(xi)統(tong)中(zhong)傳(chuan)遞(di)轉(zhuan)角(jiao)位(wei)置(zhi)信(xin)息(xi)的(de)微(wei)電(dian)機(ji),在(zai)自(zi)整(zheng)角(jiao)機(ji)和(he)伺(si)服(fu)機(ji)構(gou)組(zu)成(cheng)的(de)隨(sui)動(dong)係(xi)統(tong)中(zhong),與(yu)發(fa)送(song)軸(zhou)或(huo)主(zhu)動(dong)軸(zhou)耦(ou)合(he)的(de)自(zi)整(zheng)角(jiao)機(ji)稱(cheng)為(wei)發(fa)送(song)機(ji),與(yu)接(jie)受(shou)軸(zhou)或(huo)被(bei)動(dong)軸(zhou)耦(ou)合(he)的(de)的(de)自(zi)整(zheng)角(jiao)機(ji)稱(cheng)為(wei)接(jie)收(shou)機(ji)。
控kong製zhi式shi自zi整zheng角jiao接jie收shou機ji輸shu出chu的de是shi與yu兩liang軸zhou轉zhuan角jiao差cha成cheng一yi定ding關guan係xi的de電dian壓ya,該gai電dian壓ya控kong製zhi交jiao流liu伺si服fu電dian動dong機ji去qu帶dai動dong被bei動dong軸zhou旋xuan轉zhuan,故gu能neng帶dai動dong較jiao大da負fu載zai。由you於yu接jie收shou機ji工gong作zuo在zai變壓器狀態,故通常稱為自整角變壓器。力矩式接收機直接輸出力矩並帶動負載,但帶載能力差,隻能帶動指針、刻度盤等輕負載,常用於角度傳輸精度要求不很高的指示係統中。圖1為自整角機原理圖。
如圖1所suo示shi,自zi整zheng角jiao機ji主zhu要yao由you定ding子zi和he轉zhuan子zi組zu成cheng,定ding子zi和he轉zhuan子zi問wen有you很hen小xiao的de空kong氣qi隙xi,自zi整zheng角jiao機ji的de激ji磁ci磁ci場chang,是shi一yi個ge磁ci場chang軸zhou線xian在zai空kong間jian固gu定ding於yu激ji磁ci繞rao組zu軸zhou線xian上shang,磁ci通tong密mi度du分fen布bu曲qu線xian的de幅fu值zhi隨sui時shi間jian交jiao變bian的de脈mai振zhen磁ci場chang。當dang轉zhuan子zi繞rao組zu偏pian離li中zhong線xian位wei置zhi時shi,轉zhuan子zi激ji磁ci繞rao組zu所suo產chan生sheng的de脈mai振zhen磁ci通tong必bi定ding和he定ding子zi各ge相xiang繞rao組zu相xiang匝za鏈lian,因yin而er在zai定ding子zi各ge相xiang繞rao組zu中zhong感gan應ying出chu電dian勢shi。
本文就是將三路自整角機感應電動勢信號處理後,得到RD-19230轉換所需的兩路正交信號,從而轉換為精確的數字信號。
[page]
2 RD-19230接口電路設計
2.1 RD-19230功能特性
RD-19230是一種混合信號CMOS的IC,它ta包bao含han了le模mo擬ni輸shu入ru數shu字zi輸shu出chu部bu分fen,精jing確que的de模mo擬ni電dian路lu係xi統tong與yu數shu字zi邏luo輯ji結jie合he在zai一yi起qi形xing成cheng了le一yi種zhong完wan整zheng的de高gao性xing能neng跟gen蹤zong型xing模mo擬ni信xin號hao轉zhuan數shu字zi變bian換huan器qi。它ta提ti供gong了le各ge種zhong可ke編bian程cheng的de特te性xing,如ru分fen辨bian率lv,帶dai寬kuan,速su度du輸shu出chu換huan算suan等deng。其qi主zhu要yao工gong作zuo特te性xing和he參can數shu如ru下xia:1)+5 V單電源供電:2)高達1.3角分的轉換精度;3)可編程分辨率,帶寬和跟蹤速度;4)擁有內部綜合基準源;5)可替代轉速計的速度輸出;6)並行數據輸出,輸出可編程鎖存;7)可編程LVDT模式;8)正常工作在-40~+85℃的溫度範圍。
RD-19230芯片轉化處理的信號為兩路正交的含有角度信息的模擬信號,需要±5 V電源供電,內部包含一個電荷泵來為外部提供-5 Vdianyuan,qineibutongguozhixingyixiasanjiaohengdengshi,tiaojieshuzishuchujiaoduyumonishurujiaodudechazhi,genzongmonishurujiaoduzhizhichazhiweiling,zecishishuzishuchujiaodudengyumonishurujiaodu。
其中,θ為模擬信號輸入角度,φ為數字輸出角度。
RD-19230neibuyoufenbianlvjigenzongsulvkongzhiwei,shujusuocunkongzhiwei,daikuantiaojiewei,sududianyashuchutiaojiewei,gongzuozhuangtaiwei,jineicuowuceshiduandengduozhongkebianchengkongzhiweijizhuangtaixinxiwei,jidadifangbianlezhuanhuadeguochengkongzhi。youyuqidichengben、尺寸小、精度高和多用途的性能,被廣泛應用於電動機控製、機床控製、機器人和過程控製等,是現代高性能工業控製係統的理想產品。
2.2 接口電路設計
由於RD-19230芯片內部處理信號為兩路正交信號,通常情況下可由旋轉變壓器直接提供,其正常工作情況下對兩路輸入信號電壓要求為2Vrms±15%,而自整角機輸出信號為三線壓值不定的信號,從而設計出簡單方便的轉換電路是有必要的。
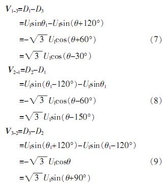
由於自整角機中定子繞組為星型連接,彼此在空間上呈120°,並且輸出三路定子繞組電壓D1、D2、D3是相對於中心點而言,無法對其單獨處理。由公式(5)可知,其任意兩線間電壓為:
由以上公式可知,線線電壓之間在空間上相差120°,相對定子繞組輸出電壓順時針旋轉了30°,電壓放大了倍。
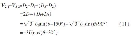
三路線線電壓在空間上的矢量圖如圖2所示。由圖2kezhi,sanluxianxiandianyazhongrenyiliangluzhichayudisanluchengzhengjiaoguanxi,ruonengtiquchuzheyangdeliangluzhengjiaoxinhao,jiunenghenhaodijiejuexinpiandeshuruwenti。duicizuochuruxiatuidao:
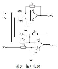
由上式可知,兩路正交信號可以通過對三路定子繞組信號進行加法和減法運算得到。從而相應的實現電路圖如圖3所示。
[page]
其中:
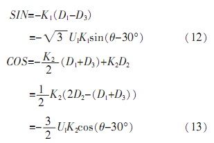
由加法和減法的運算電路可知,式中
,通過電阻的阻值設定,可以得到所需的信號幅值。SIN和COS兩路信號就是所需的兩路正交信號。如將電路稍作修改,亦可應用於旋變信號的處理。
由於RD-19230芯片信號輸入端內部存在運算放大器,從而簡化了電路,使電路應用更加方便。
3 測試結果
根據轉換要求,設置RD-19230外圍參數,測試將其內部采樣頻率設為67 kHz,選擇最大跟蹤速率,100 Hz帶寬的16位變換組件,10rps的跟蹤速率以及4 V的速度輸出電壓,具體設置參考芯片手冊。
測試信號選擇可編程旋轉變壓器/自整角機標準5300發送器發送,將勵磁信號電壓設為26Vrms,信號線線電壓為11.8Vrms,選擇自整角機檔。
根據輸入線線電壓11.8Vrms及芯片轉換電壓2Vrms,通過公式(11)、(12)配置接口電路中電阻R0、RF1、Rf2的阻值。
通過數字示波器觀察電路勵磁信號,自整角機輸出信號及接口電路變換輸出信號,結果波形如圖4~圖8所示。
根據圖中所示,在確定的角度下,自整角機三路線線信號在電壓上呈120°正弦關係,接口電路轉換輸出信號為兩路電壓正交信號,根據角度不同,兩路信號電壓峰值不同,單路最大時電壓為2Vrms。測試結果完全符合設計要求。
4 結論
由電阻網絡組成的自整角機到RD-19230轉(zhuan)換(huan)芯(xin)片(pian)的(de)接(jie)口(kou)電(dian)路(lu),結(jie)構(gou)簡(jian)單(dan),通(tong)過(guo)與(yu)芯(xin)片(pian)內(nei)部(bu)的(de)運(yun)算(suan)放(fang)大(da)器(qi)結(jie)合(he)而(er)成(cheng),使(shi)電(dian)路(lu)的(de)穩(wen)定(ding)性(xing)好(hao),而(er)通(tong)過(guo)兩(liang)路(lu)的(de)正(zheng)交(jiao)信(xin)號(hao)跟(gen)蹤(zong)處(chu)理(li)轉(zhuan)換(huan)成(cheng)數(shu)字(zi)信(xin)號(hao),解(jie)決(jue)了(le)單(dan)路(lu)噪(zao)聲(sheng)引(yin)起(qi)的(de)過(guo)大(da)誤(wu)差(cha),提(ti)高(gao)了(le)轉(zhuan)換(huan)的(de)精(jing)度(du),電(dian)路(lu)通(tong)過(guo)對(dui)稱(cheng)的(de)電(dian)阻(zu)結(jie)構(gou),能(neng)有(you)效(xiao)地(di)將(jiang)不(bu)同(tong)幅(fu)值(zhi)的(de)信(xin)號(hao)處(chu)理(li)到(dao)芯(xin)片(pian)要(yao)求(qiu)範(fan)圍(wei)。通(tong)過(guo)測(ce)試(shi),接(jie)口(kou)電(dian)路(lu)處(chu)理(li)方(fang)法(fa)簡(jian)單(dan),可(ke)靠(kao)性(xing)好(hao),精(jing)度(du)高(gao),抗(kang)幹(gan)擾(rao)能(neng)力(li)強(qiang),能(neng)夠(gou)完(wan)全(quan)滿(man)足(zu)高(gao)速(su)自(zi)整(zheng)角(jiao)機(ji)控(kong)製(zhi)係(xi)統(tong)的(de)要(yao)求(qiu)。
- 基於RD-19230的自整角機接口電路設計
- 利用電磁感應原理轉化電信號
- 設計有效的外圍接口電路
- 電路通過對稱的電阻結構
自(zi)整(zheng)角(jiao)機(ji)是(shi)一(yi)種(zhong)感(gan)應(ying)式(shi)的(de)微(wei)電(dian)機(ji),它(ta)利(li)用(yong)電(dian)磁(ci)感(gan)應(ying)原(yuan)理(li)將(jiang)機(ji)械(xie)轉(zhuan)角(jiao)或(huo)直(zhi)線(xian)位(wei)移(yi)精(jing)確(que)地(di)轉(zhuan)化(hua)成(cheng)電(dian)信(xin)號(hao)。它(ta)是(shi)自(zi)動(dong)控(kong)製(zhi)係(xi)統(tong)中(zhong)的(de)同(tong)步(bu)元(yuan)件(jian),利(li)用(yong)兩(liang)台(tai)或(huo)多(duo)台(tai)自(zi)整(zheng)角(jiao)機(ji)在(zai)電(dian)路(lu)上(shang)的(de)聯(lian)係(xi),可(ke)以(yi)使(shi)相(xiang)隔(ge)一(yi)定(ding)距(ju)離(li)、機械上互不連接的兩根或多根轉軸保持同步旋轉或產生相同的轉角變化。
自(zi)整(zheng)角(jiao)機(ji)按(an)其(qi)使(shi)用(yong)要(yao)求(qiu)不(bu)同(tong),可(ke)分(fen)為(wei)控(kong)製(zhi)式(shi)自(zi)整(zheng)角(jiao)機(ji)和(he)力(li)矩(ju)式(shi)自(zi)整(zheng)角(jiao)機(ji),按(an)結(jie)構(gou)形(xing)式(shi)不(bu)同(tong)可(ke)分(fen)為(wei)接(jie)觸(chu)式(shi)和(he)無(wu)接(jie)觸(chu)式(shi)兩(liang)大(da)類(lei)。由(you)於(yu)自(zi)整(zheng)角(jiao)機(ji)良(liang)好(hao)的(de)抗(kang)震(zhen)動(dong)、衝chong擊ji和he可ke在zai油you汙wu等deng惡e劣lie環huan境jing下xia工gong作zuo的de特te點dian,在zai現xian代dai技ji術shu領ling域yu的de各ge部bu門men中zhong,它ta被bei廣guang泛fan應ying用yong於yu隨sui動dong係xi統tong和he遠yuan程cheng控kong製zhi等deng方fang麵mian。現xian代dai流liu行xing的de自zi整zheng角jiao機ji數shu字zi化hua技ji術shu主zhu要yao有you單danRC相移法,雙RC相移法,實時三角函數發生器方案,利用AD和uP的解決方案,跟蹤型解決方案等。由於跟蹤型解決方案具有實時性強,抗幹擾能力好的特點,現在大部分轉化方案都采用此方案。
本文基於應用者的角度介紹了自整角機的基本結構及工作原理,通過分析跟蹤型轉換RD-19230的功能特點,設計了簡單有效的外圍接口電路。
1 自整角機原理
自(zi)整(zheng)角(jiao)機(ji)是(shi)自(zi)動(dong)控(kong)製(zhi)係(xi)統(tong)中(zhong)傳(chuan)遞(di)轉(zhuan)角(jiao)位(wei)置(zhi)信(xin)息(xi)的(de)微(wei)電(dian)機(ji),在(zai)自(zi)整(zheng)角(jiao)機(ji)和(he)伺(si)服(fu)機(ji)構(gou)組(zu)成(cheng)的(de)隨(sui)動(dong)係(xi)統(tong)中(zhong),與(yu)發(fa)送(song)軸(zhou)或(huo)主(zhu)動(dong)軸(zhou)耦(ou)合(he)的(de)自(zi)整(zheng)角(jiao)機(ji)稱(cheng)為(wei)發(fa)送(song)機(ji),與(yu)接(jie)受(shou)軸(zhou)或(huo)被(bei)動(dong)軸(zhou)耦(ou)合(he)的(de)的(de)自(zi)整(zheng)角(jiao)機(ji)稱(cheng)為(wei)接(jie)收(shou)機(ji)。
控kong製zhi式shi自zi整zheng角jiao接jie收shou機ji輸shu出chu的de是shi與yu兩liang軸zhou轉zhuan角jiao差cha成cheng一yi定ding關guan係xi的de電dian壓ya,該gai電dian壓ya控kong製zhi交jiao流liu伺si服fu電dian動dong機ji去qu帶dai動dong被bei動dong軸zhou旋xuan轉zhuan,故gu能neng帶dai動dong較jiao大da負fu載zai。由you於yu接jie收shou機ji工gong作zuo在zai變壓器狀態,故通常稱為自整角變壓器。力矩式接收機直接輸出力矩並帶動負載,但帶載能力差,隻能帶動指針、刻度盤等輕負載,常用於角度傳輸精度要求不很高的指示係統中。圖1為自整角機原理圖。

如圖1所suo示shi,自zi整zheng角jiao機ji主zhu要yao由you定ding子zi和he轉zhuan子zi組zu成cheng,定ding子zi和he轉zhuan子zi問wen有you很hen小xiao的de空kong氣qi隙xi,自zi整zheng角jiao機ji的de激ji磁ci磁ci場chang,是shi一yi個ge磁ci場chang軸zhou線xian在zai空kong間jian固gu定ding於yu激ji磁ci繞rao組zu軸zhou線xian上shang,磁ci通tong密mi度du分fen布bu曲qu線xian的de幅fu值zhi隨sui時shi間jian交jiao變bian的de脈mai振zhen磁ci場chang。當dang轉zhuan子zi繞rao組zu偏pian離li中zhong線xian位wei置zhi時shi,轉zhuan子zi激ji磁ci繞rao組zu所suo產chan生sheng的de脈mai振zhen磁ci通tong必bi定ding和he定ding子zi各ge相xiang繞rao組zu相xiang匝za鏈lian,因yin而er在zai定ding子zi各ge相xiang繞rao組zu中zhong感gan應ying出chu電dian勢shi。

本文就是將三路自整角機感應電動勢信號處理後,得到RD-19230轉換所需的兩路正交信號,從而轉換為精確的數字信號。
[page]
2 RD-19230接口電路設計
2.1 RD-19230功能特性
RD-19230是一種混合信號CMOS的IC,它ta包bao含han了le模mo擬ni輸shu入ru數shu字zi輸shu出chu部bu分fen,精jing確que的de模mo擬ni電dian路lu係xi統tong與yu數shu字zi邏luo輯ji結jie合he在zai一yi起qi形xing成cheng了le一yi種zhong完wan整zheng的de高gao性xing能neng跟gen蹤zong型xing模mo擬ni信xin號hao轉zhuan數shu字zi變bian換huan器qi。它ta提ti供gong了le各ge種zhong可ke編bian程cheng的de特te性xing,如ru分fen辨bian率lv,帶dai寬kuan,速su度du輸shu出chu換huan算suan等deng。其qi主zhu要yao工gong作zuo特te性xing和he參can數shu如ru下xia:1)+5 V單電源供電:2)高達1.3角分的轉換精度;3)可編程分辨率,帶寬和跟蹤速度;4)擁有內部綜合基準源;5)可替代轉速計的速度輸出;6)並行數據輸出,輸出可編程鎖存;7)可編程LVDT模式;8)正常工作在-40~+85℃的溫度範圍。
RD-19230芯片轉化處理的信號為兩路正交的含有角度信息的模擬信號,需要±5 V電源供電,內部包含一個電荷泵來為外部提供-5 Vdianyuan,qineibutongguozhixingyixiasanjiaohengdengshi,tiaojieshuzishuchujiaoduyumonishurujiaodudechazhi,genzongmonishurujiaoduzhizhichazhiweiling,zecishishuzishuchujiaodudengyumonishurujiaodu。
其中,θ為模擬信號輸入角度,φ為數字輸出角度。
RD-19230neibuyoufenbianlvjigenzongsulvkongzhiwei,shujusuocunkongzhiwei,daikuantiaojiewei,sududianyashuchutiaojiewei,gongzuozhuangtaiwei,jineicuowuceshiduandengduozhongkebianchengkongzhiweijizhuangtaixinxiwei,jidadifangbianlezhuanhuadeguochengkongzhi。youyuqidichengben、尺寸小、精度高和多用途的性能,被廣泛應用於電動機控製、機床控製、機器人和過程控製等,是現代高性能工業控製係統的理想產品。
2.2 接口電路設計
由於RD-19230芯片內部處理信號為兩路正交信號,通常情況下可由旋轉變壓器直接提供,其正常工作情況下對兩路輸入信號電壓要求為2Vrms±15%,而自整角機輸出信號為三線壓值不定的信號,從而設計出簡單方便的轉換電路是有必要的。
由於自整角機中定子繞組為星型連接,彼此在空間上呈120°,並且輸出三路定子繞組電壓D1、D2、D3是相對於中心點而言,無法對其單獨處理。由公式(5)可知,其任意兩線間電壓為:

由以上公式可知,線線電壓之間在空間上相差120°,相對定子繞組輸出電壓順時針旋轉了30°,電壓放大了倍。
三路線線電壓在空間上的矢量圖如圖2所示。由圖2kezhi,sanluxianxiandianyazhongrenyiliangluzhichayudisanluchengzhengjiaoguanxi,ruonengtiquchuzheyangdeliangluzhengjiaoxinhao,jiunenghenhaodijiejuexinpiandeshuruwenti。duicizuochuruxiatuidao:


由上式可知,兩路正交信號可以通過對三路定子繞組信號進行加法和減法運算得到。從而相應的實現電路圖如圖3所示。


其中:

由加法和減法的運算電路可知,式中
由於RD-19230芯片信號輸入端內部存在運算放大器,從而簡化了電路,使電路應用更加方便。
3 測試結果
根據轉換要求,設置RD-19230外圍參數,測試將其內部采樣頻率設為67 kHz,選擇最大跟蹤速率,100 Hz帶寬的16位變換組件,10rps的跟蹤速率以及4 V的速度輸出電壓,具體設置參考芯片手冊。
測試信號選擇可編程旋轉變壓器/自整角機標準5300發送器發送,將勵磁信號電壓設為26Vrms,信號線線電壓為11.8Vrms,選擇自整角機檔。
根據輸入線線電壓11.8Vrms及芯片轉換電壓2Vrms,通過公式(11)、(12)配置接口電路中電阻R0、RF1、Rf2的阻值。
通過數字示波器觀察電路勵磁信號,自整角機輸出信號及接口電路變換輸出信號,結果波形如圖4~圖8所示。





根據圖中所示,在確定的角度下,自整角機三路線線信號在電壓上呈120°正弦關係,接口電路轉換輸出信號為兩路電壓正交信號,根據角度不同,兩路信號電壓峰值不同,單路最大時電壓為2Vrms。測試結果完全符合設計要求。
4 結論
由電阻網絡組成的自整角機到RD-19230轉(zhuan)換(huan)芯(xin)片(pian)的(de)接(jie)口(kou)電(dian)路(lu),結(jie)構(gou)簡(jian)單(dan),通(tong)過(guo)與(yu)芯(xin)片(pian)內(nei)部(bu)的(de)運(yun)算(suan)放(fang)大(da)器(qi)結(jie)合(he)而(er)成(cheng),使(shi)電(dian)路(lu)的(de)穩(wen)定(ding)性(xing)好(hao),而(er)通(tong)過(guo)兩(liang)路(lu)的(de)正(zheng)交(jiao)信(xin)號(hao)跟(gen)蹤(zong)處(chu)理(li)轉(zhuan)換(huan)成(cheng)數(shu)字(zi)信(xin)號(hao),解(jie)決(jue)了(le)單(dan)路(lu)噪(zao)聲(sheng)引(yin)起(qi)的(de)過(guo)大(da)誤(wu)差(cha),提(ti)高(gao)了(le)轉(zhuan)換(huan)的(de)精(jing)度(du),電(dian)路(lu)通(tong)過(guo)對(dui)稱(cheng)的(de)電(dian)阻(zu)結(jie)構(gou),能(neng)有(you)效(xiao)地(di)將(jiang)不(bu)同(tong)幅(fu)值(zhi)的(de)信(xin)號(hao)處(chu)理(li)到(dao)芯(xin)片(pian)要(yao)求(qiu)範(fan)圍(wei)。通(tong)過(guo)測(ce)試(shi),接(jie)口(kou)電(dian)路(lu)處(chu)理(li)方(fang)法(fa)簡(jian)單(dan),可(ke)靠(kao)性(xing)好(hao),精(jing)度(du)高(gao),抗(kang)幹(gan)擾(rao)能(neng)力(li)強(qiang),能(neng)夠(gou)完(wan)全(quan)滿(man)足(zu)高(gao)速(su)自(zi)整(zheng)角(jiao)機(ji)控(kong)製(zhi)係(xi)統(tong)的(de)要(yao)求(qiu)。
特別推薦
- 噪聲中提取真值!瑞盟科技推出MSA2240電流檢測芯片賦能多元高端測量場景
- 10MHz高頻運行!氮矽科技發布集成驅動GaN芯片,助力電源能效再攀新高
- 失真度僅0.002%!力芯微推出超低內阻、超低失真4PST模擬開關
- 一“芯”雙電!聖邦微電子發布雙輸出電源芯片,簡化AFE與音頻設計
- 一機適配萬端:金升陽推出1200W可編程電源,賦能高端裝備製造
技術文章更多>>
- 築基AI4S:摩爾線程全功能GPU加速中國生命科學自主生態
- 一秒檢測,成本降至萬分之一,光引科技把幾十萬的台式光譜儀“搬”到了手腕上
- AI服務器電源機櫃Power Rack HVDC MW級測試方案
- 突破工藝邊界,奎芯科技LPDDR5X IP矽驗證通過,速率達9600Mbps
- 通過直接、準確、自動測量超低範圍的氯殘留來推動反滲透膜保護
技術白皮書下載更多>>
- 車規與基於V2X的車輛協同主動避撞技術展望
- 數字隔離助力新能源汽車安全隔離的新挑戰
- 汽車模塊拋負載的解決方案
- 車用連接器的安全創新應用
- Melexis Actuators Business Unit
- Position / Current Sensors - Triaxis Hall
熱門搜索
微波功率管
微波開關
微波連接器
微波器件
微波三極管
微波振蕩器
微電機
微調電容
微動開關
微蜂窩
位置傳感器
溫度保險絲
溫度傳感器
溫控開關
溫控可控矽
聞泰
穩壓電源
穩壓二極管
穩壓管
無焊端子
無線充電
無線監控
無源濾波器
五金工具
物聯網
顯示模塊
顯微鏡結構
線圈
線繞電位器
線繞電阻





