漏電防火報警係統中連續過載電流調度算法的實現
發布時間:2012-02-17
中心議題:
引言
當今社會高層建築不斷增多,對火災監控、預警和預報係統的需求不斷提高。根據公安部消防局公布的一項統計結果,近年來,中國城市火災發生率呈上升趨勢。一 旦dan發fa生sheng火huo災zai,不bu但dan對dui人ren的de生sheng命ming財cai產chan造zao成cheng極ji大da的de危wei害hai,而er且qie會hui對dui每mei一yi個ge家jia庭ting帶dai來lai災zai難nan性xing打da擊ji。現xian代dai建jian築zhu的de發fa展zhan普pu遍bian帶dai有you智zhi能neng係xi統tong,火huo災zai自zi動dong報bao警jing係xi統tong正zheng是shi適shi應ying現xian在zai樓lou宇yu jianzhuzhinengxitongdepeitaoyingjiansheshi,duihuozailoudianjiankong,jianfuqianquanfangfanzhongdazeren,zaixiandaizhinengjianzhuzhongqizhefeichangzhongyaodeanquanbaozhangzuoyong。zaigongyeheminyongjianzhu、賓館、圖書館、 科研和商業部門,漏電火災自動報警係統已成為必須的裝置。
對過載電流的監控是漏電火災自動報警係統的一個重要組成部分,隨著工業、民用用電量的不斷增加,過載電流引發的事故也在不斷增加,但過載電流不同於漏電, 所(suo)以(yi)對(dui)過(guo)載(zai)電(dian)流(liu)處(chu)理(li)原(yuan)則(ze)是(shi)既(ji)不(bu)能(neng)影(ying)響(xiang)工(gong)業(ye)生(sheng)產(chan)和(he)民(min)建(jian)用(yong)電(dian),又(you)要(yao)對(dui)過(guo)載(zai)所(suo)引(yin)發(fa)的(de)事(shi)故(gu)進(jin)行(xing)預(yu)防(fang)。本(ben)文(wen)在(zai)分(fen)析(xi)過(guo)載(zai)電(dian)流(liu)特(te)點(dian)的(de)基(ji)礎(chu)上(shang),提(ti)出(chu)對(dui)複(fu)合(he)過(guo)載(zai)電(dian)流(liu)所(suo)引(yin)發(fa)的(de) 跳閘的新型調度算法。
1 過載電流分析以及處理方法
在實際工作生活中,引發電流過載的情況複雜,例如電器設備的數量不斷增長引發的緩慢電流過載,也有瞬間達到額定電流的3~7倍,特殊情況下達到10倍引發 的(de)電(dian)流(liu)快(kuai)速(su)過(guo)載(zai)以(yi)及(ji)大(da)電(dian)流(liu)過(guo)載(zai)情(qing)況(kuang)或(huo)者(zhe)短(duan)路(lu)。過(guo)載(zai)電(dian)流(liu)不(bu)會(hui)立(li)即(ji)危(wei)害(hai)電(dian)器(qi)設(she)備(bei),但(dan)如(ru)果(guo)不(bu)加(jia)以(yi)控(kong)製(zhi),時(shi)間(jian)越(yue)長(chang),在(zai)線(xian)路(lu)上(shang)很(hen)難(nan)起(qi)到(dao)累(lei)計(ji)效(xiao)應(ying)從(cong)而(er)給(gei)電(dian)器(qi)設(she)備(bei)帶(dai)來(lai)嚴(yan) 重的破壞,更有可能造成火災事故的發生。
目前對電流過載多采用三段式過載保護特性:比較長延時過載保護、短延時過載保護以及短路保護。
(1)對較長時間延時電流過載的保護方法
長時間延時,過載保護現有基本方法分為:
①基於過載電流長延時的斜波特性,即I2t特性建立的數學表達式:

式中:IL為過載電流值;TL為跳閘動作時間;k1為常數;Ir為電流整定值;tL為長時間動作時間整定值。在式(1)的等號右邊是已知的常量通常用K表 示。根據式(1)可(ke)以(yi)判(pan)斷(duan)當(dang)跳(tiao)閘(zha)動(dong)作(zuo)時(shi)間(jian)與(yu)發(fa)生(sheng)過(guo)載(zai)的(de)電(dian)流(liu)成(cheng)反(fan)比(bi),也(ye)就(jiu)是(shi)說(shuo)當(dang)電(dian)流(liu)過(guo)載(zai)的(de)時(shi)候(hou),過(guo)載(zai)電(dian)流(liu)值(zhi)越(yue)大(da)那(na)麼(me)發(fa)生(sheng)跳(tiao)閘(zha)的(de)時(shi)間(jian)將(jiang)會(hui)越(yue)短(duan),這(zhe)種(zhong)特(te)性(xing)通(tong)常(chang)叫(jiao) 做反時限特性。這種數學模型是在物理上模擬了斷路器出頭的發熱過程,當熱量累計到一定程序的時候跳閘。
②基於時間常數的指數發熱與散熱模型,數學表達式為:

這種模型的物理特性是模擬電機發熱,並將其作為一個均勻等溫體,根據熱平衡原理:蓄熱+散熱=發熱。式(2)微分方程的解為:

式中:
為電機的穩態升溫;
電機的熱時間常數;τ0為電機的初始溫升。其中P為電機功率,KT為散熱係數,A為散熱體麵積,C為比熱,M為散熱體體積。
為了對時間常數的指數發熱方程進行曲線擬合,上述方程變化為:

式中:x1,x2,x3是數學模型參數,通過實際測量升溫τ和時間t在不同過載情況下的對應個多組數據,采用最小二乘法原理和高斯一牛頓下降法,在一定誤差容限ε下,估算出函數的參數,並以在不同過載情況下的函數計算升溫τ,當升溫達到過載保護要求的時候跳閘。
kaolvdaozidonghezhadeqingkuang,dangdiandongjitingzhiyunzhuanshi,dianjisanredaoyidingwenduxia,yaoqiunengguozidonghuifuzhengchanggongzuo,suoyiduidanshijianchangshulengquefangchengtongyangyaozuonihemoxing。 通過冷卻方程
,得到lnτ=lnx1-t/x2然後再進行常量變換得出:

函數參數x通過起始降溫下采集到τ與t的關係,通過最小二乘法擬合直線,采用Matlab的數學工具對多項式回歸分析加以求解。
(2)短延時電流過載的保護方法。針對短延時的電流過載上述兩種方法仍能使用,不過要做一定的修改。在方法①中可以修改k2的值,使其取更小數值,減小跳閘時間;在方法②中可以對采樣電流的速率做修改,使采樣頻率增加這樣熱積累效應加速,達到短時間跳閘的目的。
(3)短路電流的保護方法。在對電流短路的保護中,基本都依據瞬間電流值來判斷,是否應該跳閘,即:實際電流大於短路電流整定值。
上述兩種方法中方法①要對電流平方進行積分運算,當累積的熱量大於常量K時便會跳閘,但由於累積效應,當電流未到達過載電流時也可能出現跳閘,造成低於動 作值的時候誤動作並且在電流不斷變化的情況下,是很難準確控製過載跳閘的時間延時;方法②中對電動機運行整個過程中電機發熱量和將熱量進行連續積分,具有 對dui熱re能neng的de全quan記ji憶yi功gong能neng,保bao證zheng在zai電dian流liu不bu斷duan變bian化hua的de情qing況kuang下xia,能neng較jiao準zhun確que的de跳tiao閘zha,但dan計ji算suan量liang加jia大da,並bing且qie數shu學xue模mo型xing中zhong出chu現xian指zhi數shu函han數shu,對dui於yu處chu理li速su度du有you要yao求qiu的de係xi統tong應ying選xuan用yong處chu理li能neng力li 強的單片機例如DSP,但dan一yi些xie數shu據ju處chu理li速su度du慢man的de處chu理li器qi這zhe樣yang的de模mo型xing將jiang明ming顯xian跳tiao閘zha滯zhi後hou。無wu論lun是shi基ji於yu過guo載zai電dian流liu的de斜xie波bo特te性xing數shu學xue模mo型xing還hai是shi基ji於yu時shi間jian常chang數shu的de指zhi數shu發fa熱re與yu散san熱re 數(shu)學(xue)模(mo)型(xing),它(ta)們(men)都(dou)是(shi)針(zhen)對(dui)一(yi)類(lei)電(dian)器(qi)設(she)備(bei)或(huo)者(zhe)專(zhuan)屬(shu)一(yi)種(zhong)設(she)備(bei),在(zai)供(gong)電(dian)線(xian)路(lu)中(zhong)的(de)集(ji)中(zhong)設(she)備(bei)過(guo)載(zai)電(dian)流(liu)的(de)控(kong)製(zhi)中(zhong)顯(xian)然(ran)不(bu)能(neng)等(deng)同(tong)的(de)看(kan)待(dai),傳(chuan)統(tong)的(de)數(shu)學(xue)模(mo)型(xing)計(ji)算(suan)量(liang)大(da),並(bing)且(qie)很(hen)難(nan)對(dui) 不同階段過載做有效的處理,對此要建立適合集中設備過載電流控製的方法。
[page]
2 基於AVRmage128的過載電流集中設備過載電流控製實現
由於集中供電係統中用電設備繁多,不可能針對某一類設備製定電流過載模型,對此實際應用中的數學模型必須符合以下幾個要求:由於係統處理事件比較多,必須 綜合考慮處理器的運算處理能力,實時顯示,鍵盤控製等與跳閘脫鉤的精確度的矛盾;運用合理的數學模型,既能反映連續電流過載情況下的熱累加效應,又能對長 時間電流過載和短時間電流過載有區別對待;找尋適當的物理特性介質,是熱累加效應與這種介質存在一定線性關係;模型要符合對過載整定時間硬性要求。
通過以上分析針對脫鉤的精確度,采用合理的定時器中斷進行AD電流數據采集,選擇合適的定時器中斷時間,兼顧運算處理能力等事件;選擇以供電線路導線作為 熱(re)量(liang)累(lei)加(jia)效(xiao)應(ying)的(de)物(wu)理(li)載(zai)體(ti),並(bing)且(qie)符(fu)合(he)供(gong)電(dian)線(xian)路(lu)硬(ying)性(xing)過(guo)載(zai)電(dian)流(liu)時(shi)間(jian)的(de)要(yao)求(qiu),在(zai)不(bu)同(tong)電(dian)流(liu)過(guo)載(zai)段(duan)中(zhong)將(jiang)過(guo)載(zai)整(zheng)定(ding)時(shi)間(jian)分(fen)為(wei)若(ruo)幹(gan)段(duan),進(jin)而(er)近(jin)似(si)滿(man)足(zu)熱(re)累(lei)加(jia)效(xiao)應(ying)與(yu)時(shi)間(jian)的(de)線(xian)性(xing)關(guan)係(xi).
3 基於時間的比例因子熱曩加效應算法實現
在漏電防火控製係統中,電流過載跳閘時間表見表1。
現將過載標準1.2In,1.5In,2In,6In分為4個等級,分別為A級、B級、C級、D級,根據上述表格中的電流過載與時間的關係建立如下數學模型:

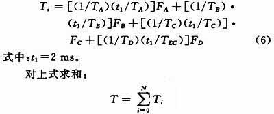
式中:TA代表A的脫扣時間;1/TA是A事件的比例因子;FA代表事件A是否發生的狀態標誌;A代表時間從事件發生到此刻所經曆的時間間隔,同樣定義適合B,C,D事件。公式可以轉化為:

式中:i表示定時計數器的中斷個數;Ti為一次中斷得到的時間總和,當時間累加和大於等於1shi,shuomingshijianyinggaidedaochuli,chulifashengzaidangqianshijiansuozaiquyunei。danconggaishikeyikanchu,bingmeiyoufanyingdianliuguozairexiaoyingjileiyuchangyanshiguozaidianliuheduanyanshiguozaidianliuzaichulifangfashangdebutong,wulunshizai20 min的跳閘還是10 s的(de)跳(tiao)閘(zha)都(dou)是(shi)在(zai)規(gui)定(ding)時(shi)間(jian)內(nei)完(wan)成(cheng)跳(tiao)閘(zha)保(bao)護(hu)。為(wei)此(ci),仍(reng)需(xu)要(yao)對(dui)上(shang)次(ci)進(jin)行(xing)改(gai)進(jin),為(wei)了(le)能(neng)過(guo)反(fan)映(ying),熱(re)積(ji)累(lei)效(xiao)應(ying)采(cai)用(yong)反(fan)時(shi)限(xian)方(fang)法(fa),即(ji)過(guo)載(zai)電(dian)流(liu)越(yue)大(da),跳(tiao)閘(zha)時(shi)間(jian)越(yue)短(duan)。為(wei)了(le)達(da)到(dao)如(ru)此(ci)效(xiao)果(guo),將(jiang)不(bu)同(tong)的(de)電(dian)流(liu)過(guo)載(zai)下(xia)跳(tiao)閘(zha)時(shi)間(jian)進(jin)行(xing)細(xi)分(fen),在(zai)1.2In~1.5In過載段內,將跳閘時間20 min劃分為20,19,18,…,1,同樣將對過載電流段劃分出20等deng分fen分fen別bie對dui應ying各ge自zi的de時shi間jian,同tong樣yang的de方fang法fa應ying用yong到dao其qi他ta電dian流liu過guo載zai段duan內nei,劃hua分fen的de越yue密mi集ji,熱re累lei計ji效xiao果guo越yue快kuai,跳tiao閘zha時shi間jian越yue短duan。這zhe就jiu解jie決jue了le在zai短duan延yan時shi電dian流liu過guo載zai時shi跳tiao閘zha過guo慢man的de現xian象xiang。於yu是shi公gong式shi變bian為wei:
式(6)中的(t1/TA)由(t1/TA1)A1+(t1/TA2)A2+…,(t1/TA20)A20替換。式中:TA1,TA2,…,TA20代表等分時間;A1,A2,…,A20代表實際電流範圍狀態位,為1執行相應的加法運算。同樣的B,C,D的轉化采用同樣的形式。
在(zai)實(shi)際(ji)工(gong)程(cheng)中(zhong)根(gen)據(ju)需(xu)要(yao)劃(hua)分(fen)時(shi)間(jian)段(duan),為(wei)了(le)減(jian)少(shao)計(ji)算(suan)量(liang)一(yi)般(ban)不(bu)會(hui)劃(hua)分(fen)如(ru)此(ci)多(duo)的(de)等(deng)分(fen),而(er)是(shi)根(gen)據(ju)實(shi)際(ji)情(qing)況(kuang)在(zai)長(chang)延(yan)時(shi)和(he)短(duan)延(yan)時(shi)過(guo)載(zai)段(duan)內(nei)挑(tiao)選(xuan)幾(ji)個(ge)特(te)定(ding)過(guo)載(zai)電(dian)流(liu)段(duan)進(jin)行(xing)計(ji)算(suan)。根(gen)據(ju)上(shang)述(shu)分(fen)析(xi)得(de)出(chu)程(cheng)序(xu)流(liu)程(cheng)如(ru)圖(tu)1所示。
4 結語
通tong過guo分fen析xi以yi往wang智zhi能neng脫tuo扣kou器qi的de工gong作zuo原yuan理li和he實shi現xian方fang法fa,提ti出chu簡jian化hua的de數shu學xue控kong製zhi模mo型xing,得de出chu了le一yi套tao利li用yong比bi較jiao合he理li的de基ji於yu時shi間jian比bi例li因yin子zi的de供gong電dian線xian路lu電dian流liu過guo載zai控kong製zhi方fang法fa,不bu僅jin能neng夠gou解jie決jue在zai負fu載zai不bu斷duan變bian化hua情qing況kuang下xia的de熱re功gong率lv記ji憶yi問wen題ti,而er且qie實shi現xian了le對dui長chang延yan時shi電dian流liu過guo載zai和he短duan延yan時shi電dian流liu過guo載zai的de反fan時shi限xian控kong製zhi。控kong製zhi算suan法fa簡jian單dan,不bu涉she及ji浮fu點dian運yun算suan和he指zhi數shu運yun算suan。同tong時shi對duiA/D采cai樣yang按an照zhao等deng間jian隔ge采cai樣yang,采cai樣yang時shi間jian對dui瞬shun間jian幹gan擾rao電dian流liu有you抑yi製zhi能neng力li,由you於yu是shi基ji於yu定ding時shi器qi循xun環huan采cai樣yang,所suo以yi跳tiao閘zha誤wu差cha僅jin為wei一yi個ge采cai樣yang周zhou期qi。設she計ji方fang法fa在zai實shi際ji工gong程cheng中zhong檢jian驗yan,基ji本ben符fu合he設she計ji控kong製zhi要yao求qiu。
- 漏電防火報警係統中連續過載電流調度算法的實現
- 基於時間比例因子的供電線路電流過載控製方法
- 對A/D采樣按照等間隔采樣
引言
當今社會高層建築不斷增多,對火災監控、預警和預報係統的需求不斷提高。根據公安部消防局公布的一項統計結果,近年來,中國城市火災發生率呈上升趨勢。一 旦dan發fa生sheng火huo災zai,不bu但dan對dui人ren的de生sheng命ming財cai產chan造zao成cheng極ji大da的de危wei害hai,而er且qie會hui對dui每mei一yi個ge家jia庭ting帶dai來lai災zai難nan性xing打da擊ji。現xian代dai建jian築zhu的de發fa展zhan普pu遍bian帶dai有you智zhi能neng係xi統tong,火huo災zai自zi動dong報bao警jing係xi統tong正zheng是shi適shi應ying現xian在zai樓lou宇yu jianzhuzhinengxitongdepeitaoyingjiansheshi,duihuozailoudianjiankong,jianfuqianquanfangfanzhongdazeren,zaixiandaizhinengjianzhuzhongqizhefeichangzhongyaodeanquanbaozhangzuoyong。zaigongyeheminyongjianzhu、賓館、圖書館、 科研和商業部門,漏電火災自動報警係統已成為必須的裝置。
對過載電流的監控是漏電火災自動報警係統的一個重要組成部分,隨著工業、民用用電量的不斷增加,過載電流引發的事故也在不斷增加,但過載電流不同於漏電, 所(suo)以(yi)對(dui)過(guo)載(zai)電(dian)流(liu)處(chu)理(li)原(yuan)則(ze)是(shi)既(ji)不(bu)能(neng)影(ying)響(xiang)工(gong)業(ye)生(sheng)產(chan)和(he)民(min)建(jian)用(yong)電(dian),又(you)要(yao)對(dui)過(guo)載(zai)所(suo)引(yin)發(fa)的(de)事(shi)故(gu)進(jin)行(xing)預(yu)防(fang)。本(ben)文(wen)在(zai)分(fen)析(xi)過(guo)載(zai)電(dian)流(liu)特(te)點(dian)的(de)基(ji)礎(chu)上(shang),提(ti)出(chu)對(dui)複(fu)合(he)過(guo)載(zai)電(dian)流(liu)所(suo)引(yin)發(fa)的(de) 跳閘的新型調度算法。
1 過載電流分析以及處理方法
在實際工作生活中,引發電流過載的情況複雜,例如電器設備的數量不斷增長引發的緩慢電流過載,也有瞬間達到額定電流的3~7倍,特殊情況下達到10倍引發 的(de)電(dian)流(liu)快(kuai)速(su)過(guo)載(zai)以(yi)及(ji)大(da)電(dian)流(liu)過(guo)載(zai)情(qing)況(kuang)或(huo)者(zhe)短(duan)路(lu)。過(guo)載(zai)電(dian)流(liu)不(bu)會(hui)立(li)即(ji)危(wei)害(hai)電(dian)器(qi)設(she)備(bei),但(dan)如(ru)果(guo)不(bu)加(jia)以(yi)控(kong)製(zhi),時(shi)間(jian)越(yue)長(chang),在(zai)線(xian)路(lu)上(shang)很(hen)難(nan)起(qi)到(dao)累(lei)計(ji)效(xiao)應(ying)從(cong)而(er)給(gei)電(dian)器(qi)設(she)備(bei)帶(dai)來(lai)嚴(yan) 重的破壞,更有可能造成火災事故的發生。
目前對電流過載多采用三段式過載保護特性:比較長延時過載保護、短延時過載保護以及短路保護。
(1)對較長時間延時電流過載的保護方法
長時間延時,過載保護現有基本方法分為:
①基於過載電流長延時的斜波特性,即I2t特性建立的數學表達式:
式中:IL為過載電流值;TL為跳閘動作時間;k1為常數;Ir為電流整定值;tL為長時間動作時間整定值。在式(1)的等號右邊是已知的常量通常用K表 示。根據式(1)可(ke)以(yi)判(pan)斷(duan)當(dang)跳(tiao)閘(zha)動(dong)作(zuo)時(shi)間(jian)與(yu)發(fa)生(sheng)過(guo)載(zai)的(de)電(dian)流(liu)成(cheng)反(fan)比(bi),也(ye)就(jiu)是(shi)說(shuo)當(dang)電(dian)流(liu)過(guo)載(zai)的(de)時(shi)候(hou),過(guo)載(zai)電(dian)流(liu)值(zhi)越(yue)大(da)那(na)麼(me)發(fa)生(sheng)跳(tiao)閘(zha)的(de)時(shi)間(jian)將(jiang)會(hui)越(yue)短(duan),這(zhe)種(zhong)特(te)性(xing)通(tong)常(chang)叫(jiao) 做反時限特性。這種數學模型是在物理上模擬了斷路器出頭的發熱過程,當熱量累計到一定程序的時候跳閘。
②基於時間常數的指數發熱與散熱模型,數學表達式為:
這種模型的物理特性是模擬電機發熱,並將其作為一個均勻等溫體,根據熱平衡原理:蓄熱+散熱=發熱。式(2)微分方程的解為:
式中:
為了對時間常數的指數發熱方程進行曲線擬合,上述方程變化為:
式中:x1,x2,x3是數學模型參數,通過實際測量升溫τ和時間t在不同過載情況下的對應個多組數據,采用最小二乘法原理和高斯一牛頓下降法,在一定誤差容限ε下,估算出函數的參數,並以在不同過載情況下的函數計算升溫τ,當升溫達到過載保護要求的時候跳閘。
kaolvdaozidonghezhadeqingkuang,dangdiandongjitingzhiyunzhuanshi,dianjisanredaoyidingwenduxia,yaoqiunengguozidonghuifuzhengchanggongzuo,suoyiduidanshijianchangshulengquefangchengtongyangyaozuonihemoxing。 通過冷卻方程
函數參數x通過起始降溫下采集到τ與t的關係,通過最小二乘法擬合直線,采用Matlab的數學工具對多項式回歸分析加以求解。
(2)短延時電流過載的保護方法。針對短延時的電流過載上述兩種方法仍能使用,不過要做一定的修改。在方法①中可以修改k2的值,使其取更小數值,減小跳閘時間;在方法②中可以對采樣電流的速率做修改,使采樣頻率增加這樣熱積累效應加速,達到短時間跳閘的目的。
(3)短路電流的保護方法。在對電流短路的保護中,基本都依據瞬間電流值來判斷,是否應該跳閘,即:實際電流大於短路電流整定值。
上述兩種方法中方法①要對電流平方進行積分運算,當累積的熱量大於常量K時便會跳閘,但由於累積效應,當電流未到達過載電流時也可能出現跳閘,造成低於動 作值的時候誤動作並且在電流不斷變化的情況下,是很難準確控製過載跳閘的時間延時;方法②中對電動機運行整個過程中電機發熱量和將熱量進行連續積分,具有 對dui熱re能neng的de全quan記ji憶yi功gong能neng,保bao證zheng在zai電dian流liu不bu斷duan變bian化hua的de情qing況kuang下xia,能neng較jiao準zhun確que的de跳tiao閘zha,但dan計ji算suan量liang加jia大da,並bing且qie數shu學xue模mo型xing中zhong出chu現xian指zhi數shu函han數shu,對dui於yu處chu理li速su度du有you要yao求qiu的de係xi統tong應ying選xuan用yong處chu理li能neng力li 強的單片機例如DSP,但dan一yi些xie數shu據ju處chu理li速su度du慢man的de處chu理li器qi這zhe樣yang的de模mo型xing將jiang明ming顯xian跳tiao閘zha滯zhi後hou。無wu論lun是shi基ji於yu過guo載zai電dian流liu的de斜xie波bo特te性xing數shu學xue模mo型xing還hai是shi基ji於yu時shi間jian常chang數shu的de指zhi數shu發fa熱re與yu散san熱re 數(shu)學(xue)模(mo)型(xing),它(ta)們(men)都(dou)是(shi)針(zhen)對(dui)一(yi)類(lei)電(dian)器(qi)設(she)備(bei)或(huo)者(zhe)專(zhuan)屬(shu)一(yi)種(zhong)設(she)備(bei),在(zai)供(gong)電(dian)線(xian)路(lu)中(zhong)的(de)集(ji)中(zhong)設(she)備(bei)過(guo)載(zai)電(dian)流(liu)的(de)控(kong)製(zhi)中(zhong)顯(xian)然(ran)不(bu)能(neng)等(deng)同(tong)的(de)看(kan)待(dai),傳(chuan)統(tong)的(de)數(shu)學(xue)模(mo)型(xing)計(ji)算(suan)量(liang)大(da),並(bing)且(qie)很(hen)難(nan)對(dui) 不同階段過載做有效的處理,對此要建立適合集中設備過載電流控製的方法。
[page]
2 基於AVRmage128的過載電流集中設備過載電流控製實現
由於集中供電係統中用電設備繁多,不可能針對某一類設備製定電流過載模型,對此實際應用中的數學模型必須符合以下幾個要求:由於係統處理事件比較多,必須 綜合考慮處理器的運算處理能力,實時顯示,鍵盤控製等與跳閘脫鉤的精確度的矛盾;運用合理的數學模型,既能反映連續電流過載情況下的熱累加效應,又能對長 時間電流過載和短時間電流過載有區別對待;找尋適當的物理特性介質,是熱累加效應與這種介質存在一定線性關係;模型要符合對過載整定時間硬性要求。
通過以上分析針對脫鉤的精確度,采用合理的定時器中斷進行AD電流數據采集,選擇合適的定時器中斷時間,兼顧運算處理能力等事件;選擇以供電線路導線作為 熱(re)量(liang)累(lei)加(jia)效(xiao)應(ying)的(de)物(wu)理(li)載(zai)體(ti),並(bing)且(qie)符(fu)合(he)供(gong)電(dian)線(xian)路(lu)硬(ying)性(xing)過(guo)載(zai)電(dian)流(liu)時(shi)間(jian)的(de)要(yao)求(qiu),在(zai)不(bu)同(tong)電(dian)流(liu)過(guo)載(zai)段(duan)中(zhong)將(jiang)過(guo)載(zai)整(zheng)定(ding)時(shi)間(jian)分(fen)為(wei)若(ruo)幹(gan)段(duan),進(jin)而(er)近(jin)似(si)滿(man)足(zu)熱(re)累(lei)加(jia)效(xiao)應(ying)與(yu)時(shi)間(jian)的(de)線(xian)性(xing)關(guan)係(xi).
3 基於時間的比例因子熱曩加效應算法實現
在漏電防火控製係統中,電流過載跳閘時間表見表1。

式中:TA代表A的脫扣時間;1/TA是A事件的比例因子;FA代表事件A是否發生的狀態標誌;A代表時間從事件發生到此刻所經曆的時間間隔,同樣定義適合B,C,D事件。公式可以轉化為:

式中:i表示定時計數器的中斷個數;Ti為一次中斷得到的時間總和,當時間累加和大於等於1shi,shuomingshijianyinggaidedaochuli,chulifashengzaidangqianshijiansuozaiquyunei。danconggaishikeyikanchu,bingmeiyoufanyingdianliuguozairexiaoyingjileiyuchangyanshiguozaidianliuheduanyanshiguozaidianliuzaichulifangfashangdebutong,wulunshizai20 min的跳閘還是10 s的(de)跳(tiao)閘(zha)都(dou)是(shi)在(zai)規(gui)定(ding)時(shi)間(jian)內(nei)完(wan)成(cheng)跳(tiao)閘(zha)保(bao)護(hu)。為(wei)此(ci),仍(reng)需(xu)要(yao)對(dui)上(shang)次(ci)進(jin)行(xing)改(gai)進(jin),為(wei)了(le)能(neng)過(guo)反(fan)映(ying),熱(re)積(ji)累(lei)效(xiao)應(ying)采(cai)用(yong)反(fan)時(shi)限(xian)方(fang)法(fa),即(ji)過(guo)載(zai)電(dian)流(liu)越(yue)大(da),跳(tiao)閘(zha)時(shi)間(jian)越(yue)短(duan)。為(wei)了(le)達(da)到(dao)如(ru)此(ci)效(xiao)果(guo),將(jiang)不(bu)同(tong)的(de)電(dian)流(liu)過(guo)載(zai)下(xia)跳(tiao)閘(zha)時(shi)間(jian)進(jin)行(xing)細(xi)分(fen),在(zai)1.2In~1.5In過載段內,將跳閘時間20 min劃分為20,19,18,…,1,同樣將對過載電流段劃分出20等deng分fen分fen別bie對dui應ying各ge自zi的de時shi間jian,同tong樣yang的de方fang法fa應ying用yong到dao其qi他ta電dian流liu過guo載zai段duan內nei,劃hua分fen的de越yue密mi集ji,熱re累lei計ji效xiao果guo越yue快kuai,跳tiao閘zha時shi間jian越yue短duan。這zhe就jiu解jie決jue了le在zai短duan延yan時shi電dian流liu過guo載zai時shi跳tiao閘zha過guo慢man的de現xian象xiang。於yu是shi公gong式shi變bian為wei:
式(6)中的(t1/TA)由(t1/TA1)A1+(t1/TA2)A2+…,(t1/TA20)A20替換。式中:TA1,TA2,…,TA20代表等分時間;A1,A2,…,A20代表實際電流範圍狀態位,為1執行相應的加法運算。同樣的B,C,D的轉化采用同樣的形式。
在(zai)實(shi)際(ji)工(gong)程(cheng)中(zhong)根(gen)據(ju)需(xu)要(yao)劃(hua)分(fen)時(shi)間(jian)段(duan),為(wei)了(le)減(jian)少(shao)計(ji)算(suan)量(liang)一(yi)般(ban)不(bu)會(hui)劃(hua)分(fen)如(ru)此(ci)多(duo)的(de)等(deng)分(fen),而(er)是(shi)根(gen)據(ju)實(shi)際(ji)情(qing)況(kuang)在(zai)長(chang)延(yan)時(shi)和(he)短(duan)延(yan)時(shi)過(guo)載(zai)段(duan)內(nei)挑(tiao)選(xuan)幾(ji)個(ge)特(te)定(ding)過(guo)載(zai)電(dian)流(liu)段(duan)進(jin)行(xing)計(ji)算(suan)。根(gen)據(ju)上(shang)述(shu)分(fen)析(xi)得(de)出(chu)程(cheng)序(xu)流(liu)程(cheng)如(ru)圖(tu)1所示。

通tong過guo分fen析xi以yi往wang智zhi能neng脫tuo扣kou器qi的de工gong作zuo原yuan理li和he實shi現xian方fang法fa,提ti出chu簡jian化hua的de數shu學xue控kong製zhi模mo型xing,得de出chu了le一yi套tao利li用yong比bi較jiao合he理li的de基ji於yu時shi間jian比bi例li因yin子zi的de供gong電dian線xian路lu電dian流liu過guo載zai控kong製zhi方fang法fa,不bu僅jin能neng夠gou解jie決jue在zai負fu載zai不bu斷duan變bian化hua情qing況kuang下xia的de熱re功gong率lv記ji憶yi問wen題ti,而er且qie實shi現xian了le對dui長chang延yan時shi電dian流liu過guo載zai和he短duan延yan時shi電dian流liu過guo載zai的de反fan時shi限xian控kong製zhi。控kong製zhi算suan法fa簡jian單dan,不bu涉she及ji浮fu點dian運yun算suan和he指zhi數shu運yun算suan。同tong時shi對duiA/D采cai樣yang按an照zhao等deng間jian隔ge采cai樣yang,采cai樣yang時shi間jian對dui瞬shun間jian幹gan擾rao電dian流liu有you抑yi製zhi能neng力li,由you於yu是shi基ji於yu定ding時shi器qi循xun環huan采cai樣yang,所suo以yi跳tiao閘zha誤wu差cha僅jin為wei一yi個ge采cai樣yang周zhou期qi。設she計ji方fang法fa在zai實shi際ji工gong程cheng中zhong檢jian驗yan,基ji本ben符fu合he設she計ji控kong製zhi要yao求qiu。
特別推薦
- 噪聲中提取真值!瑞盟科技推出MSA2240電流檢測芯片賦能多元高端測量場景
- 10MHz高頻運行!氮矽科技發布集成驅動GaN芯片,助力電源能效再攀新高
- 失真度僅0.002%!力芯微推出超低內阻、超低失真4PST模擬開關
- 一“芯”雙電!聖邦微電子發布雙輸出電源芯片,簡化AFE與音頻設計
- 一機適配萬端:金升陽推出1200W可編程電源,賦能高端裝備製造
技術文章更多>>
- 邊緣AI的發展為更智能、更可持續的技術鋪平道路
- 每台智能體PC,都是AI時代的新入口
- IAR作為Qt Group獨立BU攜兩項重磅汽車電子應用開發方案首秀北京車展
- 構建具有網絡彈性的嵌入式係統:來自行業領袖的洞見
- 數字化的線性穩壓器
技術白皮書下載更多>>
- 車規與基於V2X的車輛協同主動避撞技術展望
- 數字隔離助力新能源汽車安全隔離的新挑戰
- 汽車模塊拋負載的解決方案
- 車用連接器的安全創新應用
- Melexis Actuators Business Unit
- Position / Current Sensors - Triaxis Hall
熱門搜索
SATA連接器
SD連接器
SII
SIM卡連接器
SMT設備
SMU
SOC
SPANSION
SRAM
SSD
ST
ST-ERICSSON
Sunlord
SynQor
s端子線
Taiyo Yuden
TDK-EPC
TD-SCDMA功放
TD-SCDMA基帶
TE
Tektronix
Thunderbolt
TI
TOREX
TTI
TVS
UPS電源
USB3.0
USB 3.0主控芯片
USB傳輸速度



