基於LLC諧振變換器的大功率智能充電器設計方案
發布時間:2012-02-20
中心議題:
- LLC 諧振電路的工作原理和特點
- 智能充電器的軟硬件設計
- 智能充電器的性能指標測試
本文闡述半橋LLC 諧振電路的工作原理和特點,並且用MATLAB 對LLC 諧振進行了仿真,分析了其工作區域。在此基礎上,運用NCP1653 提供PFC 電路,NCP1396(壓控震蕩器)為電路提供保護功能,單片機芯片S3F84K4 通過編程為電路提供智能控製,設計了一款大功率智能充電器。通過測試,該款充電器能很好的實現充電功能。
引 言
充電器與人們的日常生活密切相關,充電器充電性能的好壞與被充電池的使用壽命、充電效率等息息相關。 由you於yu外wai界jie溫wen度du變bian化hua,電dian網wang電dian壓ya波bo動dong,因yin而er大da大da降jiang低di了le充chong電dian器qi充chong電dian性xing能neng的de穩wen定ding性xing,這zhe就jiu需xu要yao有you一yi種zhong能neng自zi我wo調tiao節jie的de係xi統tong,遇yu到dao外wai界jie的de幹gan擾rao能neng實shi時shi做zuo出chu回hui應ying,保bao證zheng充chong電dian的de穩wen定ding性xing,不bu損sun壞huai被bei充chong電dian的de電dian池chi。 智能控製在此能提供一種很好的解決方案。電源行業已經開始在其產品中運用智能控製,通過單片機的編程對過壓、過流情況做出判斷,為電池提供保護。 LLC 諧振變換器在充電器的運用也是越來越多,LLC 諧振變換器的拓撲本身具有一些優越的性能,可以實現原邊開關管在全負載下的零電壓軟開關(ZVS:Zero VoltageSwitch),副邊整流二極管電壓應力低,因此高輸出電壓的情況下可以實現較高的效率等。 這使得LLC 諧振變換器特別適合高輸出電壓的應用場合。 今後電源的發展方向是用單片機來完成所有功能,包括:脈寬調控、反饋、過壓過流保護等等。
下麵介紹的就是一款應比亞迪公司(BYD)的要求,設計出的一種基於單片機的智能充電器。 該充電器對充電過程進行智能控製,係統中的管理電路還具有保護功能,可防止電池的過充和過放對電池造成損壞。
1 LLC 諧振變換器
本充電器設計中要考慮整流濾波、能量轉換,電路保護、軟件設計等。 而LLC 諧振變換器是能量轉換中最重要的部分,關係到充電器性能的好壞。 下麵著重介紹其基本結構、數學模型及時序分析。
1. 1 LLC 諧振變換器的基本結構
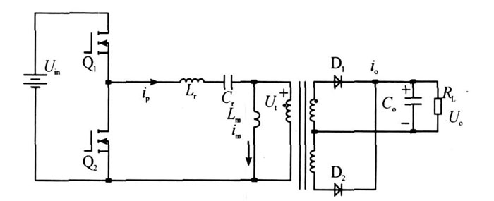
圖1 所示為LLC 諧振變換器的原理圖。 串聯諧振電感Lr 、串聯諧振電容Cr 和並聯諧振電感Lm ,構成LLC 諧振網絡, Cr 也起到隔直作用[3 ] . 在變壓器次級,整流二極管直接連接到輸出電容Co上。

圖1 LLC 諧振變換器的原理圖
當發生諧振時,LC 的本征諧振頻率為:
![]()
當Lr , Cr 和Lm發生諧振時,LLC 本征諧振頻率為:

由式(1) 、(2) 可知f1 > f2 ,當負載RL 變化時,可以調節開關(Q1 、Q2 ) 頻率在f1 和f2 間變化,使品質因數達到最大。 利用這種特性,可以方便地實現脈衝頻率模式PFM( Pul se Frequency Model) ,品質因數表示如下:

LLC 諧振網絡需要兩個磁性元件Lr 和Lm。
然而,考慮到高頻變壓器實際結構,可以把磁性元件Lr 和Lm 集成在一個變壓器內,利用變壓器的漏感作為Lr , 利用變壓器的磁化電感作為Lm , 這樣一來,可以大大減少磁性元件數目。 在設計時,隻要重點設計變壓器的漏感與變壓器磁化電感即可。 因此, 為增加漏感, 需要在變壓器中加入適當的氣隙,並且控製變壓器原、副邊的繞線方式可以提高品質因素。
[page]
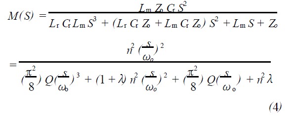
1. 2 LLC 的數學模型分析
通過上述分析,由圖1 的LLC 諧振變換器的原理圖得其LLC 等效模型如圖2 所示。

圖2 LLC 原理圖的等效模型圖
電壓傳遞函數為:

其中:
,Q 為品質因數。
利用MA TIAB 對該模型進行仿真,可以初步分析出其工作特性如圖3 所示。 其中f s 為啟動頻率( Start Frequency) f r 為諧振頻率( ResonantFrequency)。

圖3 LLC 諧振工作特性。
從圖3 中可以看到,在整個頻率圍內,既有降壓的工作區域(M < 1) ,也有升壓的工作區域( M >1) ,此LLC 諧振有著較大的應用範圍。 在輕負載時,工作頻率逐漸升高, 工作在降壓區域內; 而在重負載時, 工作頻率逐漸降低, 工作在升壓區域內。 由圖3 可知, 串聯諧振的工作區域應該為f s / f r > 1 ,才能工作在ZVS 的狀態。 在不同負載下,為獲得ZVS 的工作條件, 隻要使之工作在f s / f r > 1的右側即可。 而LLC 諧振不僅僅局限於f s / f r > 1 的區域, 在某些負載下可以工作在f s / f r < 1區域。 同樣可以獲得零電壓轉換的工作狀況。 並且與串聯諧振相比,在不同負載時的頻率變化範圍更小。
[page]
1. 3 LLC 諧振變換器的時序分析
LLC 諧振變換器由兩個主開關管Q1 和Q2 構成,其驅動信號是占空比固定為0. 5 的互補驅動信號。 為了保證原邊功率MOS 管的ZVS , 副邊二極管的ZCS(Zero Current Switch) 都可以實現,工作頻率在f 2 < f ≤f 1 時, 其工作波形圖如圖4 所示。 從圖中可以看出LLC 變換器工作在半個周期內可以分為三個工作模式。
模式1 (t0 - t1):兩個開關管(Q1 、Q2 ) 都截止,Q1 的反向二級管導通續流, Lr 上的電流逐漸減小,變壓器產生感生電流,向負載供電。 反向二極管的導通將Q1兩端的電壓鉗位在零。
模式2 (t1 - t2):Lr 上的電流在t1 時刻減小到零,Q1 在此時刻導通, Lr 上的電流反向增大, 達到峰值後減小。 Lm 上的電流先減小,然後反向增加。
可以看出,t1 時刻由於Q1 的反向二極管的鉗位作用,Q1 的導通電壓為零。 此階段隻有Lr 和Cr 進行諧振。

圖4 工作時序波形圖
模式3 (t2 - t3):Lm 上的電流在t2 時刻與Lr上的電流相等,此時流過變壓器的電流為零,負載與變壓器被隔離開。Q1 在此時刻關斷,Q2的反向二極管導通續流。 此階段Lm 也加入到諧振部分, 與Lr 和Cr 串聯組成諧振回路。
在下半個周期中, 電路的工作與上半個周期剛剛相似,隻是方向相反。整個周期的電路工作波形:在上半個周期中,開關管Q1 為零電壓導通, 而Q1 在t3 時刻的關斷電流im 很小; 在下半個周期中,開關管Q2 為零電壓導通,而Q2 在t6 時刻的關斷電流im 很小,所以Q1 、Q2 工作時的開關損耗很小。
2 充電器硬件設計
經過上麵的分析,設計中采用電流、電壓負反饋的方法來達到恒流、恒壓充電的目的,充電器硬件原理框圖如圖5 所示。

圖5 充電器的硬件原理框圖
交流電經過濾波整流後,流向NCP1653,由其提供PFC(Power Factor Correction) 操作,NCP1653是一款連續導通型(CCM) 的功率因數校正( PFC) 升壓式的上升控製電路, 它的外圍元器件數量很少,有效地減少了升壓電感的體積, 減小了功率MOS管的電流應力,從而降低了成本,且極大地簡化了CCM 型的PFC 的操作,它還集成了高可靠的保護功能。 NCP1396 電路為整個硬件電路提供保護(包括有反饋環路失效偵測、快速與低速事件輸入,以及可以避免在低輸入電壓下工作的電源電壓過低偵測等) ,NCP1396 的獨特架構包括一個500 kHz 的壓控振蕩器,由於在諧振電路結構中避開諧振尖峰相當重要,因此為了將轉換器安排在正確的工作區,NCP1396 內置了可調整且精確的最低開關頻率,通過專有高電壓技術支持。 應用S3F84K4 單片機實現智能充電器控製。
[page]
3 軟件設計
為滿足充電要求, 該充電器軟件設計除了完成充放電控製外, 還具有過流保護、過壓保護、過溫保護、短路報警等功能模塊。主程序流程圖如圖6 所示。

圖6 主程序流程圖。
程序開始執行後, 首先進行初始化並檢測電池電壓、電流、溫度等信息是否正常。 如正常則進入下一步。 否則報警並關閉電路。 如果電池電壓在充電終止電壓和放電終止電壓之間, 說明電池既可充電也可放電。 此時電路將判斷接上充電機還是接上負載。 以進行相應的充電和放電。 如果兩者都沒有接則循環檢測過程。 若電池電壓已經到達充電終止電壓。 則等待負載的接入進行放電;同樣若電池電壓己經達到放電終止電壓,則等待充電器的接入以進行充電。 在zai整zheng個ge過guo程cheng中zhong,該gai電dian路lu將jiang始shi終zhong實shi時shi檢jian測ce電dian池chi信xin息xi,若ruo有you異yi常chang情qing況kuang發fa生sheng,則ze立li即ji利li用yong中zhong斷duan信xin號hao終zhong止zhi正zheng在zai進jin行xing的de充chong電dian或huo者zhe放fang電dian過guo程cheng,關guan斷duan充chong放fang電dian回hui路lu,同tong時shi進jin行xing報bao警jing並bing提ti示shi報bao警jing原yuan因yin。
4 測試結果
本充電器的各項指標如下:
- 輸入電流:50/ 60 Hz。
- AC/ DC 輸出電壓48 :V , AC/ DC 輸出電流:5. 0 A。
- 恒流充電電流:4. 5 A。
- 恒壓充電電壓:45 V (AC)。
- 環境溫度: - 5~45 ℃。
經分析, 按上述設計和分析結果, 最後選定LLC 的參數Cr = 0. 043 055μF,Lr = 72. 636 09μH,Lm = 435. 816 5μH。
本智能充電器經測試,充電保護措施可靠,充電狀態準確,充電時間約為6 h ,如果需要進一步縮短充電時間,隻需在初始化時設定更大的充電電流即可。 因為采用PWM 控製器,所以,充電效率可以達到92 %以上,最低時在85 %左右。根據實際需要,要想達到理想的充電效率,對充器件做進一步的精確要求。
5 結 語
在(zai)智(zhi)能(neng)充(chong)電(dian)器(qi)控(kong)製(zhi)係(xi)統(tong)設(she)計(ji)過(guo)程(cheng)中(zhong),主(zhu)要(yao)側(ce)重(zhong)點(dian)是(shi)保(bao)證(zheng)充(chong)電(dian)器(qi)對(dui)充(chong)電(dian)電(dian)池(chi)電(dian)壓(ya)的(de)精(jing)確(que)控(kong)製(zhi),設(she)計(ji)中(zhong)元(yuan)器(qi)件(jian)的(de)選(xuan)型(xing)也(ye)都(dou)是(shi)圍(wei)繞(rao)著(zhe)這(zhe)個(ge)重(zhong)點(dian)來(lai)完(wan)成(cheng)的(de)經(jing)過(guo)實(shi)驗(yan)電(dian)路(lu)的(de)實(shi)際(ji)測(ce)試(shi),由(you)電(dian)源(yuan)變(bian)壓(ya)器(qi)、整流電路、濾波電路及穩壓電路構成AC/ DC 變換電路。 在NCP1653 、NCP1396 與S3F84 K4 的配合控製下可實現很高的係統精度。
- 噪聲中提取真值!瑞盟科技推出MSA2240電流檢測芯片賦能多元高端測量場景
- 10MHz高頻運行!氮矽科技發布集成驅動GaN芯片,助力電源能效再攀新高
- 失真度僅0.002%!力芯微推出超低內阻、超低失真4PST模擬開關
- 一“芯”雙電!聖邦微電子發布雙輸出電源芯片,簡化AFE與音頻設計
- 一機適配萬端:金升陽推出1200W可編程電源,賦能高端裝備製造
- 一秒檢測,成本降至萬分之一,光引科技把幾十萬的台式光譜儀“搬”到了手腕上
- AI服務器電源機櫃Power Rack HVDC MW級測試方案
- 突破工藝邊界,奎芯科技LPDDR5X IP矽驗證通過,速率達9600Mbps
- 通過直接、準確、自動測量超低範圍的氯殘留來推動反滲透膜保護
- 從技術研發到規模量產:恩智浦第三代成像雷達平台,賦能下一代自動駕駛!
- 車規與基於V2X的車輛協同主動避撞技術展望
- 數字隔離助力新能源汽車安全隔離的新挑戰
- 汽車模塊拋負載的解決方案
- 車用連接器的安全創新應用
- Melexis Actuators Business Unit
- Position / Current Sensors - Triaxis Hall



