原邊反饋AC/DC控製芯片中的關鍵技術
發布時間:2012-11-30 責任編輯:simonyang
原邊反饋方式的AC/DC控製技術是最近10年間發展起來的新型AC/DC控製技術,與傳統的副邊反饋的光耦加431的(de)結(jie)構(gou)相(xiang)比(bi),其(qi)最(zui)大(da)的(de)優(you)勢(shi)在(zai)於(yu)省(sheng)去(qu)了(le)這(zhe)兩(liang)個(ge)芯(xin)片(pian)以(yi)及(ji)與(yu)之(zhi)配(pei)合(he)工(gong)作(zuo)的(de)一(yi)組(zu)元(yuan)器(qi)件(jian),這(zhe)樣(yang)就(jiu)節(jie)省(sheng)了(le)係(xi)統(tong)板(ban)上(shang)的(de)空(kong)間(jian),降(jiang)低(di)了(le)成(cheng)本(ben)並(bing)且(qie)提(ti)高(gao)了(le)係(xi)統(tong)的(de)可(ke)靠(kao)性(xing)。在(zai)手(shou)機(ji)充(chong)電(dian)器(qi)等(deng)成(cheng)本(ben)壓(ya)力(li)較(jiao)大(da)的(de)市(shi)場(chang),以(yi)及(ji)LED驅動等對體積要求很高的市場具有廣闊的應用前景。
在省去了這些元器件之後,為了實現高精度的恒流/恒壓(CC/CV)特性,必然要采用新的技術來監控負載、電源和溫度的實時變化以及元器件的同批次容差,這就涉及到初級(原邊)調節技術、變壓器容差補償、線纜補償和EMI優化技術。
初級調節的原理是通過精確采樣輔助繞組(NAUX)的電壓變化來檢測負載變化的信息。當控製器將MOS管打開時,變壓器初級繞組電流ip從0線性上升到ipeak,公式為
![]()
此時能量存儲在初級繞組中,當控製器將MOS管關斷後,能量通過變壓器傳遞到次級繞組,並經過整流濾波送到輸出端VO。在此期間,輸出電壓VO和二極管的正向電壓VF被反射到輔助繞組NAUX,輔助繞組NAUX上的電壓在去磁開始時刻可由公式
![]()
表示,其中VF是輸出整流二極管的正向導通壓降,在去磁結束時刻可由公式
![]()
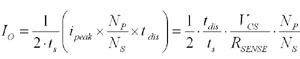
表(biao)示(shi),由(you)此(ci)可(ke)知(zhi),在(zai)去(qu)磁(ci)結(jie)束(shu)時(shi)間(jian)點(dian),次(ci)級(ji)繞(rao)組(zu)輸(shu)出(chu)電(dian)壓(ya)與(yu)輔(fu)助(zhu)繞(rao)組(zu)具(ju)有(you)線(xian)性(xing)關(guan)係(xi),隻(zhi)要(yao)采(cai)樣(yang)此(ci)點(dian)的(de)輔(fu)助(zhu)繞(rao)組(zu)的(de)電(dian)壓(ya),並(bing)形(xing)成(cheng)由(you)精(jing)確(que)參(can)考(kao)電(dian)壓(ya)箝(qian)位(wei)的(de)誤(wu)差(cha)放(fang)大(da)器(qi)的(de)環(huan)路(lu)反(fan)饋(kui),就(jiu)可(ke)以(yi)穩(wen)定(ding)輸(shu)出(chu)電(dian)壓(ya)VO。這時的輸出電流IO由公式

表示,其中VCS是CS腳上的電壓,其他參數意義如圖1所示。這是恒壓(CV)模式的工作原理。

圖1原邊控製應用框圖及主要節點波形圖。
當負載電流超過電流極限時,負載電流會被箝位在極限電流值,此時係統就進入恒流(CC)模式,這裏對IO的公式需要加一個限定條件即

即去磁時間與開關周期的比例保持一個常數,這樣在CC模式下的輸出電流公式變成了
![]()
其中C1是一個小於0.5的常數,VCSLMT是CS引腳限壓極限值。
zaishidequcishijianyukaiguanzhouqidebilibaochiyigechangshuhou,shuchudedianyahedianliujiudouyubianyaqidedianganzhiwuguanle,yincizaishiyongcengmianshangjiangdileyingyongfanganduitongpicidianganganzhiyizhixingdeyaoqiu,congerjiangdiledaguimoshengchanjiagongdechengben。
與此同時,原邊反饋係統還會麵臨線纜壓降的問題。因為係統不是直接采樣輸出端(次級繞組整流後)的(de)電(dian)壓(ya),而(er)是(shi)通(tong)過(guo)采(cai)樣(yang)輔(fu)助(zhu)繞(rao)組(zu)的(de)去(qu)磁(ci)結(jie)束(shu)點(dian)的(de)電(dian)壓(ya)來(lai)控(kong)製(zhi)環(huan)路(lu)反(fan)饋(kui)的(de),因(yin)此(ci),當(dang)輸(shu)出(chu)線(xian)較(jiao)長(chang)或(huo)者(zhe)線(xian)徑(jing)較(jiao)細(xi)時(shi),在(zai)負(fu)載(zai)線(xian)上(shang)會(hui)存(cun)在(zai)較(jiao)大(da)的(de)內(nei)阻(zu)(例如在充電器方案中)。在負載電流變化較大的情況下,輸出線的末端電壓也會有較大變化。在CV模式下,這種變化在某些場合是不能接受的,因此,原邊反饋驅動芯片還應該提供對線纜壓降補償的功能,這個功能通常是通過在INV腳上拉一個小電流來實現的。通過預估補償值來調節連接在INV腳上的分壓電阻的總阻值(分壓比例不變),從而補償不同負載線型和負載大小帶來的線纜壓降,以維持CV曲線的水平性(如圖2中的CV曲線)。

圖2原邊反饋AC-DC控製器的工作模式示意圖。
此外,一款好的原邊反饋AC-DC控製器還應該具備優秀的EMItexing,duiyuchuandaohefushezheliangfangmiandeganraodouyinggaijinkenengjiangdi,muqianchangjiandezuofashicaiyongdoupinjishuhequdongxinhaorouhuajishu。doupinjishushizhizaikaiguanpinlvdejipinjichushangyinruyigexiaofududepinlvbianhuazhi,yicilaijiangdizaikaiguanpinlvdianshangdepinpunengliangqiangdu,youhuaEMI特性。而驅動信號柔化技術則是指將驅動MOS管柵極的驅動信號的開啟沿(上升沿)變得比較平滑,以減小MOS管開啟瞬間的能量傳導和輻射,從而進一步優化EMI特性。
芯聯半導體推出的CL1100就是一款具備初級(原邊)調節技術、變壓器容差補償、線纜補償和EMI優化技術的原邊反饋AC-DC控製器,並且具有多種保護功能,例如軟啟動、逐周期的過流保護(OCP)、CS采樣端前沿消隱(LEB)、以及過壓保護(OVP)和欠壓保護(UVLO)。實測的CL1100的恒壓/恒流特性曲線如圖3所示,該芯片可將恒壓/恒流精度都控製在±3%之內。

總結
隨著小功率隔離AC-DC應用向更低成本和更小體積的趨勢發展,原邊反饋方式的AC-DC控製芯片應運而生。為了滿足高精度的恒流和恒壓應用要求,原邊反饋控製芯片采用了初級(原邊)調節技術、變壓器容差補償、線纜補償和EMI優化技術。這些技術的采用保證了原邊反饋方式的AC-DC控kong製zhi芯xin片pian對dui於yu應ying用yong電dian源yuan範fan圍wei,不bu同tong特te性xing的de負fu載zai以yi及ji元yuan器qi件jian批pi次ci容rong差cha都dou具ju有you了le很hen強qiang的de適shi應ying性xing,因yin而er成cheng為wei一yi種zhong可ke以yi廣guang泛fan應ying用yong於yu不bu同tong場chang合he的de控kong製zhi技ji術shu。
- 噪聲中提取真值!瑞盟科技推出MSA2240電流檢測芯片賦能多元高端測量場景
- 10MHz高頻運行!氮矽科技發布集成驅動GaN芯片,助力電源能效再攀新高
- 失真度僅0.002%!力芯微推出超低內阻、超低失真4PST模擬開關
- 一“芯”雙電!聖邦微電子發布雙輸出電源芯片,簡化AFE與音頻設計
- 一機適配萬端:金升陽推出1200W可編程電源,賦能高端裝備製造
- 2026藍牙亞洲大會暨展覽在深啟幕
- 新市場與新場景推動嵌入式係統研發走向統一開發平台
- 維智捷發布中國願景
- 2秒啟動係統 • 資源受限下HMI最優解,米爾RK3506開發板× LVGL Demo演示
- H橋降壓-升壓電路中的交替控製與帶寬優化
- 車規與基於V2X的車輛協同主動避撞技術展望
- 數字隔離助力新能源汽車安全隔離的新挑戰
- 汽車模塊拋負載的解決方案
- 車用連接器的安全創新應用
- Melexis Actuators Business Unit
- Position / Current Sensors - Triaxis Hall

