基於高性能AD變換器和DSP的電源設計
發布時間:2013-01-04 責任編輯:Lynnjiao
【導讀】隨著工業用高速數字信號處理器(DSP)defazhanheyingyong,nibiandianyuankongzhiyoumonikongzhixiangshuzihuakongzhidezhuanbianchengweilekeneng。youyujuyouchaoqiangdeshujuchulinenglihehenkuaidechulisudu,peihegaoxingnengdeAD變換器,DSP能夠瞬時地讀取逆變電源的輸出,並實時地計算出輸出PWM值。
正是DSP的de采cai用yong,使shi得de在zai模mo擬ni控kong製zhi中zhong存cun在zai的de許xu多duo問wen題ti得de到dao了le很hen好hao的de解jie決jue,並bing且qie一yi些xie先xian進jin的de控kong製zhi策ce略lve也ye逐zhu漸jian應ying用yong於yu逆ni變bian電dian源yuan的de控kong製zhi之zhi中zhong。這zhe樣yang對dui於yu逆ni變bian電dian源yuan負fu載zai的de不bu確que定ding性xing,數shu字zi化hua係xi統tong可ke以yi對dui負fu載zai動dong態tai變bian化hua產chan生sheng的de諧xie波bo進jin行xing動dong態tai的de補bu償chang,而er不bu需xu人ren為wei地di幹gan預yu,從cong而er使shi逆ni變bian電dian源yuan的de輸shu出chu波bo形xing質zhi量liang達da到dao可ke接jie受shou的de水shui平ping。
在傳統的逆變電源采用模擬控製無法克服其固有缺點的情況下,人們越來越多地求助於數字化方案來減小控製電路的複雜程度、提ti高gao電dian源yuan設she計ji和he製zhi造zao的de靈ling活huo性xing,同tong時shi采cai用yong更geng先xian進jin的de控kong製zhi方fang法fa來lai提ti高gao逆ni變bian電dian源yuan係xi統tong的de輸shu出chu波bo形xing質zhi量liang和he可ke靠kao性xing。因yin此ci,由you模mo擬ni控kong製zhi向xiang數shu字zi控kong製zhi的de轉zhuan變bian是shi逆ni變bian電dian源yuan發fa展zhan的de必bi然ran趨qu勢shi。本ben文wen從congSPWM逆變電源的結構出發,利用古老。的PID控製,提出了一種基於電壓瞬時值的數字方案通過了仿真。
逆變電源物理模型
在逆變係統中,多采用全橋或半橋結構。圖1為一個帶有LC濾波器的單相全橋逆變器的主電路結構圖。

圖1:逆變器的主電路結構
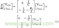
以Vc和iL為狀態變量的狀態方程為:
那麼Vi對輸出電壓V0的傳遞函數為:
由此可以得到逆變器的原理框圖,如圖2所示。

圖2:逆變器的原理框圖
數字控製方案
本係統采用雙環控製的PID調節。PID控製以其簡單、參數易於整定、發fa展zhan成cheng熟shu之zhi特te點dian,廣guang泛fan應ying用yong於yu工gong程cheng實shi踐jian之zhi中zhong,逆ni變bian電dian源yuan的de控kong製zhi也ye不bu例li外wai。雙shuang環huan控kong製zhi既ji保bao證zheng了le係xi統tong的de穩wen態tai特te性xing,又you可ke以yi提ti高gao係xi統tong的de動dong態tai性xing能neng。
數字PID算法
PID控製是應用最廣泛的一種控製規律,PID表示比例(proportional)一積分(intergral)一微分(differentia)。設PID調節器如圖3所示。

圖3:PID調節器的方框圖
調節器的輸出與輸人之間為比例積分一微分的關係,即:
若以傳遞函數的形式表示:
其中:Ti為積分時間常數;Td為微分時間常數;Kp為比例係數;Kd=Kp/Ti為積分係數;Kd=KpTd為微分係數。
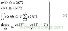
在計算機控製係統中使用的是數值PID調節器,就是對式(1)的離散化,離散化時,令:
其中:丁是采樣周期。
顯然,上述離散化過程中,采樣周期T必須足夠短,才能保證有足夠的精度。由式(4)和式(7)可得到:
式(8)即數字PID調節器的輸出輸入關係式。
PID算法蘊含了動態過程中過去、現在和將來的主要信息。其中比例(P)代表了目前的信息,起校正偏差的作用,使過程反應迅速。微分(D)在信號變化時有超前控製作用,代表了將來的信息。積分(1)代表了過去的信息,他能消除靜差,改善係統的靜態特性。因此,設計好的PID控製器有動態響應快、穩態精度高、魯棒性強的優點,是工程實踐中應用最為廣泛的一類控製器。對於逆變電源,由於空載的SPWM逆變器近似於臨界振蕩環節,積分作用會增加相位的滯後,這樣會對係統的穩態性能產生負麵的影響,所以在設計瞬時值反饋的PID控製器時總是采用比例控製(P)或者比例微分(PD)控製。
數字控製方案
控製係統的框圖如圖4所示。

圖4:係統控製框圖
該係統包括2個控製環:外環為電壓有效值控製環,內環為輸出電壓瞬時值反饋環。外環進行數字濾波,得到輸出電壓的有效值;和輸出有效值給定Vrms,進行比較,其誤差信號再經由PI控kong製zhi器qi進jin行xing調tiao節jie控kong製zhi標biao準zhun正zheng弦xian波bo信xin號hao的de給gei定ding值zhi的de幅fu值zhi。逆ni變bian電dian源yuan通tong過guo有you效xiao值zhi外wai環huan控kong製zhi,理li論lun上shang可ke以yi做zuo到dao輸shu出chu電dian壓ya有you效xiao值zhi穩wen態tai無wu差cha,該gai控kong製zhi環huan的de目mu的de是shi為wei了le保bao證zheng當dang負fu載zai變bian化hua、係xi統tong受shou幹gan擾rao後hou維wei持chi輸shu出chu電dian壓ya有you效xiao值zhi的de穩wen態tai不bu變bian,即ji保bao證zheng係xi統tong的de輸shu出chu電dian壓ya穩wen態tai精jing度du。內nei環huan為wei輸shu出chu電dian壓ya瞬shun時shi值zhi反fan饋kui控kong製zhi環huan,該gai環huan對dui輸shu出chu電dian壓ya的de瞬shun時shi值zhi進jin行xing控kong製zhi,使shi得de輸shu出chu電dian壓ya跟gen蹤zong給gei定ding的de正zheng弦xian波bo,維wei持chi輸shu出chu的de良liang好hao正zheng弦xian性xing,為wei了le保bao證zheng係xi統tong有you足zu夠gou的de穩wen定ding裕yu度du,該gai環huan的de控kong製zhi器qi多duo采cai用yong比bi例li(P)控製器,或者比例微分(PD)控製器。該環的主要作用是為了保證輸出電壓的正弦性,克服幹擾對輸出電壓波形的影響,改善控製係統的動態性能和穩態性能。
仿真結果
下麵在Matlab的圖形仿真環境Simulink中對圖1所示的瞬時值反饋數字PID控製的逆變電源的各種特性進行分析。電路參數為:額定功率:P= 6kVA;濾波電感:L=1 mH;濾波電容:C=25μF;等效串聯電阻rL=0.6Ω,rc=0.1Ω;直流母線電壓:E=360V;開關頻率:fc=20kHz;輸出電壓: 220V/50Hz;係統在空載及不同的負載時仿真波形如圖5所示。



圖5:逆變電源輸出電壓波形諧波分析
詳細分析了SPWM的物理結構和數字PID算法,並在此基礎上提出了基於輸出電壓瞬時值反饋的雙環逆變電源數字控製係統。他能很好地減小輸出波形總諧波畸變(THD),改善了逆變電源係統的輸出波形質量。數字PID控製算法的合理運用保證了係統輸出電壓的穩定精度及良好的動態性能和靜態性能。
- 噪聲中提取真值!瑞盟科技推出MSA2240電流檢測芯片賦能多元高端測量場景
- 10MHz高頻運行!氮矽科技發布集成驅動GaN芯片,助力電源能效再攀新高
- 失真度僅0.002%!力芯微推出超低內阻、超低失真4PST模擬開關
- 一“芯”雙電!聖邦微電子發布雙輸出電源芯片,簡化AFE與音頻設計
- 一機適配萬端:金升陽推出1200W可編程電源,賦能高端裝備製造
- 一秒檢測,成本降至萬分之一,光引科技把幾十萬的台式光譜儀“搬”到了手腕上
- AI服務器電源機櫃Power Rack HVDC MW級測試方案
- 突破工藝邊界,奎芯科技LPDDR5X IP矽驗證通過,速率達9600Mbps
- 通過直接、準確、自動測量超低範圍的氯殘留來推動反滲透膜保護
- 從技術研發到規模量產:恩智浦第三代成像雷達平台,賦能下一代自動駕駛!
- 車規與基於V2X的車輛協同主動避撞技術展望
- 數字隔離助力新能源汽車安全隔離的新挑戰
- 汽車模塊拋負載的解決方案
- 車用連接器的安全創新應用
- Melexis Actuators Business Unit
- Position / Current Sensors - Triaxis Hall



