【電源設計小貼士28】:估算熱插拔MOSFET的瞬態溫升1
發布時間:2013-02-27 責任編輯:hedyxing
【導讀】在本電源設計小貼士以及下次的小貼士中,我們將研究一種估算熱插拔 MOSFET wenshengdejiandanfangfa。rechabadianluyongyujiangdianrongshurushebeicharutongdiandedianyazongxianshixianzhilangyongdianliu。zheyangzuodemudeshifangzhizongxiandianyaxiajiangyijilianjieshebeiyunxingzhongduan。
tongguoshiyongyigechuanlianzujianzhujianyanchangxinlianjiedianrongfuzaidechongdianshijian,rechabaqijiankeyiwanchengzhexianggongzuo。jieguo,gaichuanlianzujianjuyoujudadesunhao,bingzaichongdianshijianfashengqijianchanshengwensheng。daduoshurechabashebeidezhizaochangshangdoujianyininzhayueanquangongzuoquyu (SOA) 曲線,以便設備免受過應力損害。圖 1 所示 SOA 曲線顯示了可接受能量區域和設備功耗,其一般為一個非常保守的估計。MOSFET 的de主zhu要yao憂you慮lv是shi其qi結jie溫wen不bu應ying超chao出chu最zui大da額e定ding值zhi。該gai曲qu線xian以yi圖tu形xing的de形xing式shi向xiang您nin表biao明ming,由you於yu設she備bei散san熱re電dian容rong的de存cun在zai它ta可ke以yi處chu理li短duan暫zan的de高gao功gong耗hao。這zhe樣yang可ke以yi幫bang助zhu您nin開kai發fa一yi個ge精jing確que的de散san熱re模mo型xing,以yi進jin行xing更geng加jia保bao守shou、現實的估算。

圖1 MOSFET SOA曲線表明了允許能耗的起始點
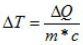
在【電源設計小貼士9】中,我們討論了一種電氣等效電路,用於估算係統的散熱性能。我們提出在散熱與電流、溫(wen)度(du)與(yu)電(dian)壓(ya)以(yi)及(ji)散(san)熱(re)與(yu)電(dian)阻(zu)之(zhi)間(jian)均(jun)存(cun)在(zai)模(mo)擬(ni)電(dian)路(lu)。在(zai)本(ben)設(she)計(ji)小(xiao)貼(tie)士(shi)中(zhong),我(wo)們(men)將(jiang)增(zeng)加(jia)散(san)熱(re)與(yu)電(dian)容(rong)之(zhi)間(jian)的(de)模(mo)擬(ni)電(dian)路(lu)。如(ru)果(guo)將(jiang)熱(re)量(liang)加(jia)到(dao)大(da)量(liang)的(de)材(cai)料(liao)之(zhi)中(zhong),其(qi)溫(wen)升(sheng)可(ke)以(yi)根(gen)據(ju)能(neng)量(liang) (Q)、質量 (m) 和比熱 (c) 計算得到,即:
能量正好是功率隨時間變化的積分:
然後合並上述兩個方程式,我們得到我們的電容散熱模擬 (m*c) 如下:
表1列出了一些常見材料及其比熱和密度,其或許有助於建模熱插拔器件內部的散熱電容。

表1 常見材料的物理屬性
隻需通過估算您建模的各種係統組件的物理尺寸,便可得到散熱電容。散熱能力等於組件體積、密度和比熱的乘積。這樣便可以使用圖 2 所示的模型結構。
gaimoxingyizuoshangjiaoyigedianliuyuanzuoweikaishi,qiweixitongzengjiareliangdemoni。dianliuliuruluopiandererongjiqirezu。reliangcongluopianliuruyinxiankuanghefengzhuangguanfengcailiao。liujingyinxiankuangdereliangzailiurufengzhuanghe散熱片之間的接觸麵。熱量從散熱片流入熱環境中。遍及整個網絡的電壓代表高於環境的溫升。

圖2 將散熱電容加到DC電氣模擬
熱阻和熱容的粗略估算顯示在整個網絡中。該模型可以進行環境和DC模擬,可幫助根據製造廠商提供的SOA曲線圖進行一些保守計算。
特別推薦
- 噪聲中提取真值!瑞盟科技推出MSA2240電流檢測芯片賦能多元高端測量場景
- 10MHz高頻運行!氮矽科技發布集成驅動GaN芯片,助力電源能效再攀新高
- 失真度僅0.002%!力芯微推出超低內阻、超低失真4PST模擬開關
- 一“芯”雙電!聖邦微電子發布雙輸出電源芯片,簡化AFE與音頻設計
- 一機適配萬端:金升陽推出1200W可編程電源,賦能高端裝備製造
技術文章更多>>
- 一秒檢測,成本降至萬分之一,光引科技把幾十萬的台式光譜儀“搬”到了手腕上
- AI服務器電源機櫃Power Rack HVDC MW級測試方案
- 突破工藝邊界,奎芯科技LPDDR5X IP矽驗證通過,速率達9600Mbps
- 通過直接、準確、自動測量超低範圍的氯殘留來推動反滲透膜保護
- 從技術研發到規模量產:恩智浦第三代成像雷達平台,賦能下一代自動駕駛!
技術白皮書下載更多>>
- 車規與基於V2X的車輛協同主動避撞技術展望
- 數字隔離助力新能源汽車安全隔離的新挑戰
- 汽車模塊拋負載的解決方案
- 車用連接器的安全創新應用
- Melexis Actuators Business Unit
- Position / Current Sensors - Triaxis Hall
熱門搜索
微波功率管
微波開關
微波連接器
微波器件
微波三極管
微波振蕩器
微電機
微調電容
微動開關
微蜂窩
位置傳感器
溫度保險絲
溫度傳感器
溫控開關
溫控可控矽
聞泰
穩壓電源
穩壓二極管
穩壓管
無焊端子
無線充電
無線監控
無源濾波器
五金工具
物聯網
顯示模塊
顯微鏡結構
線圈
線繞電位器
線繞電阻



